相关产品推荐更多 >
万千商家帮你免费找货
0 人在求购买到急需产品
- 详细信息
- 文献和实验
- 技术资料
- 库存:
52
- 英文名:
AT-121
- CAS号:
2099681-31-7
- 供应商:
上海莼试
- 保存条件:
Store at -20°C
- 规格:
100μg 500μg 1mg
| 货号 | CS-01Y76028 | 规格 | 100μg 500μg 1mg |
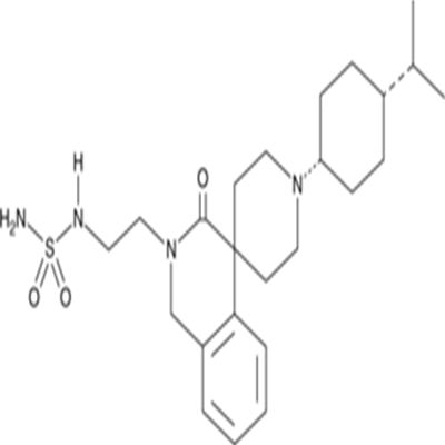
| CAS号 | 2099681-31-7 | 分子量 | 462.6 |
| 含量 | >95.00% | 别名 | N/A |
| 分子式 | C24H38N4O3S | 化学名 | N/A |
| 产地 | 国产 | 用途 | 仅供科研研究实验 |
分子式:C24H38N4O3S
分子量:462.6
溶解度:Chloroform: 10 mg/ml,DMF: miscible,DMSO: miscible,Ethanol: miscible,Ethanol:PBS (pH 7.2) (1:20): 50μ g/ml
储存条件:Store at -20°C
General tips:For obtaining a higher solubility , please warm the tube at 37 ℃ and shake it in the ultrasonic bath for a while.
Shipping Condition:Evaluation sample solution : ship with blue ice All other available size: ship with RT , or blue ice upon request
AT-121 is a dual μ-opioid and nociceptin receptor partial agonist (Kis = 16.49 and 3.67 nM, respectively). It stimulates [35S]GTPγS binding to cell membranes expressing μ-opioid or nociceptin receptors (EC50s = 19.6 and 34.7 nM, respectively). AT-121 (0.003-0.03 mg/kg) decreases capsaicin-induced thermal allodynia without increasing scratching activity in rhesus monkeys in a dose-dependent manner. It lacks reinforcing effects, a marker of abuse potential, and reduces oxycodne, but not food pellet, reinforcement in a drug self-administration assay in rhesus monkeys when administered at doses ranging from 0.3 to 10 μg/kg per injection. AT-121 (0.01 or 0.03 mg/kg) does not induce hyperalgesia, a marker of tolerance development, in rhesus monkeys.
注意事项:
抗逆滴加序列
每次向板内滴加抗原时,移液器滴头要与平面45度悬空,不要触碰到孔内的液体,由后向前依次滴加(即浓度由低往高滴加)。
抗感染反应期
抗原抗体在室温20~25℃下,必须反应30min以上,若环境温度低于室温,可将微量反应板置于恒温培养箱中,使二者充分反应。
旅游温度
磷酸盐缓冲液的pH值要在高压灭菌后进行滴定,往往在高压后pH值会有所改变,所以高压后再调一次pH值更为准确。磷酸盐缓冲液一经使用保存期不要超过3周。当pH<5.8时,红细胞会产生自凝现象;当pH>7.8时,图形洗脱加快,易造成肉眼观察产生误差;p H=7.2时,红细胞沉降最充分,图形最清晰。
当滴注 1%红细胞悬液时,应经常摇晃红细胞悬液,使红细胞均匀地分布在磷酸缓冲液中,以防止红细胞下降。
反应时间及温度
加入鸡红血球之后,反应板在室温(20~25℃)静置30~40min,对照孔血球下沉于孔底,即可判定结果。若室温达不到实验要求,需相应调整反应时间。当环境温度低于4℃时,红细胞发生自凝;高于37℃时,会发生反应物分离和红细胞溶血。
使用方法:
1.本蛋白酶抑制剂混合物为100×的储存液,使用时按照1:100的比例加入到裂解液中(例如,1ml裂解液中加入10μl蛋白酶抑制剂混合物),混匀后即可使用。根据需要,0.5M的EDTA也按照1:100的比例加入到裂解液中(如用于检测金属蛋白酶活性,则不宜添加EDTA)。含有蛋白酶抑制剂混合物的裂解液宜现用现配,不宜配制后冻存待后续使用。
2. 待所需的抑制剂添加完毕混匀后,就可以开始进行哺乳动物组织的裂解和蛋白提取。
公司正在出售的产品:
| GSK3368715 dihydrochloride | LY303511 (hydrochloride) |
| Chartreusin | TAb 甲状腺素抗ELISA检测试剂盒 |
| GDC-0152 | GP-BB 糖原磷酸化酶同工酶BBELISA检测试剂盒 |
| PD 166285 dihydrochloride | GIP 葡萄糖依赖性胰岛素释放多肽ELISA检测试剂盒 |
| PK68 | GP-MM 糖原磷酸化酶同工酶MMELISA检测试剂盒 |
| SJ 172550 | TRACP-5b 抗酒石酸酸性磷酸酶5bELISA检测试剂盒 |
| Roslin-2 | LPL 脂蛋白脂酶ELISA检测试剂盒 |
| Dehydroeffusol | Rat macrophage inflammatory protein 3β, MIP-3β Elisa Kit |
| CID 755673 | TRAb 抗促甲状腺素受抗ELISA检测试剂盒 |
| Kaempferol | CT-1 心肌营养素1ELISA检测试剂盒 |
| Eugenol | α-Fodrin IgG/IgA 抗α-胞衬蛋白抗IgG/IgAELISA检测试剂盒 |
| MBM-55 | Lp-α 脂蛋白αELISA检测试剂盒 |
| PND-1186 | AT-121FⅧ-Ag 凝血因子Ⅷ相关抗原ELISA检测试剂盒 |
| 20-HETE Ethanolamide | FⅨ 凝血因子ⅨELISA检测试剂盒 |
| PAP 纤溶酶抗纤溶酶复合物ELISA检测试剂盒 | FⅩ 凝血因子ⅩELISA检测试剂盒 |
风险提示:丁香通仅作为第三方平台,为商家信息发布提供平台空间。用户咨询产品时请注意保护个人信息及财产安全,合理判断,谨慎选购商品,商家和用户对交易行为负责。对于医疗器械类产品,请先查证核实企业经营资质和医疗器械产品注册证情况。
文献和实验xiazq_0 我是新手。 请问各位师兄, 1、VEGF121在什么细胞里高表达? 2、其发挥作用的基因片段是什么? 谢谢了! freecell http://ajp.amjpathol.org/cgi/content/abstract/156/4/1469 Human Vascular Endothelial Growth Factor121 (VEGF121), a 18
DH-121B 型 号: DH-121B 智能数码微电脑控制 电压/频率: ~220V/50Hz 输入功率: 320W 制冷剂: R22 名义除湿量(30℃ 80%RH): 12L/D(77PINTS/D) 约除湿面积(层高2.6m): 15-30平方米 贮水器容积: 3.5Kg 压缩机: 往复式 适用范围: 5℃~38℃ 除霜形式: 自动除霜 外形
操作步骤: 1、将离心机打开,仪器此时的工作状态为最后操作设置的参数。 2、平衡离心管,两两对称放入离心机。 3、盖好离心盖,盖子锁上时才能离心。 4、选择操作模式: 设置参数: 1)离心速度:300rpm~14000rpm; 2)离心时间:1min~99min; 3)离心温度:-10℃~40℃; 4)最低加速度:1~5个,1最慢 5)最低减速度:0~4 coast-down(0是惯性) (1)手工模式:不重新设置时,按上次设置的参数离心,可以重新设置参数离心。
技术资料暂无技术资料 索取技术资料









