相关产品推荐更多 >
万千商家帮你免费找货
0 人在求购买到急需产品
- 详细信息
- 文献和实验
- 技术资料
- 库存:
30
- 英文名:
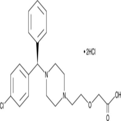
(R)-Cetirizine (hydrochloride)
- CAS号:
130018-87-0
- 供应商:
上海莼试
- 保存条件:
4°C, protect from light
- 规格:
10mg 50mg 100mg
规格:10mg 50mg 100mg
CAS:130018-87-0
别名:N/A
化学名:N/A
(R)-Cetirizine (hydrochloride)分子式:C21H25ClN2O3?2HCl
分子量:461.8
溶解度:DMF: 3 mg/ml,DMSO: 12 mg/ml,PBS (pH 7.2): 10 mg/ml
储存条件:4°C, protect from light
General tips:For obtaining a higher solubility , please warm the tube at 37 ℃ and shake it in the ultrasonic bath for a while.
Shipping Condition: Evaluation sample solution : ship with blue ice All other available size: ship with RT , or blue ice upon request
本产品仅供科学实验研究使用! 不能用于临床或动物诊断!
| 产品名称 | (R)-Cetirizine (hydrochloride) | 产品货号 | CS-01Y75525 |
| 规格 | 10mg 50mg 100mg | CAS号 | 130018-87-0 |
| 含量 | >98.00% | 分子式 | C21H25ClN2O3?2HCl |
| 分子量 | 461.8 | 用途 | 仅供科研研究使用 |
(R)-Cetirizine is the (R)-enantiomer of the histamine H1 receptor antagonist and second generation antihistamine cetirizine . (R)-Cetirizine binds to the H1 receptor with higher affinity than cetirizine (Kis = 3 and 6 nM, respectively) and is 25,000-100,000-fold selective for H1 receptors over muscarinic M1-M5 receptors. It decreases production of RANTES and eotaxin following antigen stimulation in mouse eosinophils in vitro in a concentration-dependent manner with a minimum effective concentration (MEC) of 0.05 μM. Intranasal administration of (R)-cetirizine (0.01-1%) dose-dependently decreases histamine-induced nasal rubbing and sneezing in mice. Formulations containing (R)-cetirizine have been used in the treatment of allergic rhinitis and chronic idiopathic urticaria.
使用方法:
1. 常用筛选浓度
注意:用来筛选稳转株的工作浓度需要根据细胞类型,培养基,生长条件和细胞代谢率而变化,推荐使用浓度为50-1000μg/mL。对于第一次使用的实验体系建议通过建立杀灭曲线(kill curve),即剂量反应性曲线,来确定最佳筛选浓度。
一般而言,哺乳动物细胞50-500μg/mL;细菌/植物细胞20-200μg/mL;真菌300-1000μg/mL。
2. 杀灭曲线的建立
注意:为了筛选得到稳定表达目的蛋白的细胞株,需要确定能够杀死未转染宿主细胞的抗生素浓度,可通过建立杀灭曲线(剂量反应曲线)来实现,至少选择5个浓度。
1) 第一天:未转化的细胞按照20-25%的细胞密度铺在合适的培养板上,37℃,CO2培养过夜;注:对于需要更高密度来检测活力的细胞,可增加接种量。
2) 根据细胞类型,设定合适范围内的浓度梯度。以哺乳动物细胞为例,可设定50,100,250,500,750,1000μg/mL。先用去离子水或者PBS buffer按照1:10的比例将母液稀释到5 mg/ml,然后按照下表稀释到相应浓度的工作液。
3) 第二天:替换旧的培养基,换用新鲜配制的含有相应浓度药物的培养基。每个浓度做三个平行孔。
4) 接下来每3-4天更换新的含药物培养基。
5) 按照固定的周期(如每2天)进行活细胞计数来确定阻止未转染细胞生长的恰当浓度。选择在理想的天数(通常是7-10天)内能够杀死绝大多数细胞的浓度为稳定转染细胞筛选用的工作浓度。
3. 稳定转染细胞的筛选
1) 转染48h后,用含有适当浓度的潮霉素B筛选培养基来传代细胞(直接传代或者稀释后传代)。
注意:细胞处于活跃分裂状态时抗生素的杀伤。则当细胞过于稠密,其效率会降低。为了得到较好的筛选效果,最好将细胞稀释至丰度不超过25%
2) 每隔3-4天更换含有药物的筛选培养液。
3) 筛选7天后观察并评估细胞克隆(集落)的形成情况。集落的形成可能还需要一周或者更多的时间,这取决于宿主细胞类型,转染,以及筛选效果。
4) 挑取并转移5-10个抗性克隆于35mm细胞培养板,继续用含药物的筛选培养液维持培养7天。
5) 之后更换正常培养基培养即可。
蛋白酶抑制剂混合物实验步骤:
(1)实验开始前将RNA提取液于65℃水浴锅中预热,离心管中加入ME(巯基乙醇),(10mL加80ul,50mL中加入300ul)
(2)取约0.8g菌丝体(液体培养获得的菌丝用真空抽滤即可!固体培养就更好说了),在液氮中迅速磨成精细粉末,装入50mL离心管,按1g材料8mL的量加入预热的RNA提取液,颠倒混匀
(3)65℃水浴3-10 min,期间混匀2-3次
(4)加入等体积的酚(注意是酸酚pH4.5)::yi戊醇(25:24:1)抽提(10,000rpm,4℃,5 min)
(5)取上清,等体积的yi戊醇(24:1)抽提(10,000rpm,4℃,5 min)
(6)加入1/4V体积10M LiCl溶液,4℃放置6h以上(或过夜)
(7)10,000rpm,4℃离心20min
(8)弃上清,用500ul SSTE溶解沉淀
(9)酚::yi戊醇(25:24:1)抽提两次,:yi戊醇(24:1)抽提1次(10,000rpm,4℃,5min)
(10)加2V体积的无水乙醇,在-70℃冰箱沉淀30min以上
(11)12,000rpm,4℃离心20 min
(12)弃上清.沉淀用70%酒精漂洗一次,干燥
(13)加200ul的DEPC处理水溶解
(14)用非变性琼脂糖凝胶电泳和紫外分光光度计扫描检测RNA的质量(在抽提过程中,若蛋白质含量或其它的杂质还较多,可以增加抽提次数)
公司正在出售的产品:
| Dauricine | Gefitinib-based PROTAC 3 |
| Sieber Linker | 可溶性血管细胞粘附分子1(sVCAM-1)检测试剂盒 |
| Fmoc-Cys(Acm)-OH | 免疫球蛋白A(IgA)试剂盒 ELISA |
| H-Phe(4-I)-OH | 免疫球蛋白G(IgG)ELISA Kit |
| Fmoc-D-Glu-OH | 免疫球蛋白E(IgE)ELISA检测试剂盒 |
| Z-β-Ala-OH | 免疫球蛋白M(IgM)检测试剂盒 |
| Z-Ser(tBu)-OH | 内皮抑素(ES)试剂盒 ELISA |
| Fmoc-D-Pro-OPfp | Mouse toxic shock syndrome toxin, TSST-1 Elisa Kit |
| H-Ser(tBu)-OMe.HCl | 可溶性细胞间粘附分子1(sICAM-1)ELISA Kit |
| Fmoc-NH2 | 巨噬细胞炎症蛋白5(MIP-5)ELISA检测试剂盒 |
| Z-D-Arg(Mtr)-OH.CHA | 碱性成纤维生长因子(bFGF)试剂盒 ELISA |
| Rink Amide-AM Resin | 基质金属蛋白酶抑制因子1(TIMP-1)检测试剂盒 |
| Boc-D-Glu-OBzl | (R)-Cetirizine (hydrochloride)基质金属蛋白酶9/明胶酶B(MMP-9/Gelatinase B) ELISA Kit |
| S26948 | 基质金属蛋白酶4(MMP-4)ELISA检测试剂盒 |
| 肠脂肪酸结合蛋白(iFABP)ELISA Kit | 基质金属蛋白酶5(MMP-5)试剂盒 ELISA |
风险提示:丁香通仅作为第三方平台,为商家信息发布提供平台空间。用户咨询产品时请注意保护个人信息及财产安全,合理判断,谨慎选购商品,商家和用户对交易行为负责。对于医疗器械类产品,请先查证核实企业经营资质和医疗器械产品注册证情况。
文献和实验Guanidine Hydrochloride Purification of Proteins From SDS
Pepstatin A (2.0 mg/ml)10 ml Leupeptin (1.0 mg/ml)10 ml Aprotinin (5.0 mg/ml)(Protease Inhibitor Cocktail Sigma #P8340)Denaturation Buffer6 M guanidine hydrochloride 57.3 g G-HCl20 mM Hepes 7.9 2 ml 1M Hepes pH 7.910 mM KCl 0.074 g KCl0.5 mM DTT 100 ml 0.5 M
Guanidine Hydrochloride Purification of Proteins From SDS PAGE
(Sigma #P7626) 10 ml Pepstatin A (2.0 mg/ml) 10 ml Leupeptin (1.0 mg/ml) 10 ml Aprotinin (5.0 mg/ml) (Protease Inhibitor Cocktail Sigma #P8340) Denaturation Buffer 6 M guanidine hydrochloride 57.3 g G-HCl 20 mM Hepes 7.9 2 ml 1M Hepes pH 7.9 10 mM
指在 DNA双链之一部分,由与其互补的 RNA与之结合而产生的核酸分子的环形结构。为与由 DNA而成的 D环相对应的名称。因 RNA、 DNA杂合的双链比 DNA双链稳定,所以在比 DNA的双链开始分开时稍高的温度下, RNA分子仍与 DNA的互补部分形成稳定的双链。即如图 A所示, RNA与具同一性质的 DNA部分置换,形成 R环。在基因 DNA具有外显子 -内含子( Exons- introns)结构时,则如图 B所示只在内含子部分的 DNA以双链环残存着,产生与 Excons数相应
技术资料暂无技术资料 索取技术资料









