相关产品推荐更多 >
万千商家帮你免费找货
0 人在求购买到急需产品
- 详细信息
- 文献和实验
- 技术资料
- 库存:
52
- 英文名:
Resolvin D1-d5
- CAS号:
1881277-32-2
- 供应商:
上海莼试
- 保存条件:
Store at -80°C
- 规格:
10 μg 25 μg
规格:10 μg 25 μg
CAS:1881277-32-2
别名:N/A
化学名:N/A
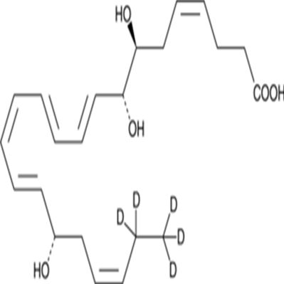
Resolvin D1-d5分子式:C22H27D5O5
分子量:381.5
溶解度:DMF: 50 mg/ml,Ethanol: 50 mg/ml,PBS (pH 7.2): .05 mg/ml
储存条件:Store at -80°C
General tips:For obtaining a higher solubility , please warm the tube at 37 ℃ and shake it in the ultrasonic bath for a while.
Shipping Condition: Evaluation sample solution : ship with blue ice All other available size: ship with RT , or blue ice upon request
本产品仅供科学实验研究使用! 不能用于临床或动物诊断!
| 产品名称 | Resolvin D1-d5 | 产品货号 | CS-01Y77347 |
| 规格 | 10 μg 25 μg | CAS号 | 1881277-32-2 |
| 含量 | >99.50% | 分子式 | C22H27D5O5 |
| 分子量 | 381.5 | 用途 | 仅供科研研究使用 |
Resolvin D1-d5 (RvD1-d5) is intended for use as an internal standard for the quantification of RvD1 by GC- or LC-mass spectrometry. Resolvins are a family of potent lipid mediators derived from both eicosapentaenoic acid and docosahexaenoic acid .1 In addition to being anti-inflammatory, resolvins promote the resolution of the inflammatory response back to a non-inflamed state.2 RvD1 is produced physiologically from the sequential oxygenation of DHA by 15- and 5-lipoxygenase.1 A 17(R)-epimer of RvD1 can also be generated in aspirin-treated samples.3 Both RvD1 and its 17(R) configuration reduce human polymorphonuclear leukocyte (PMNL) transendothelial migration, the earliest event in acute inflammation, with EC50 values of ~30 nM.4 RvD1 and its aspirin-triggered form also exhibit a dose-dependent reduction in leukocyte infiltration in a mouse model of peritonitis with a maximal inhibition of ~35% at a 10-100 ng dose.41.Hong, S., Gronert, K., Devchand, P.R., et al.Novel docosatrienes and 17S-resolvins generated from docosahexaenoic acid in murine brain, human blood, and glial cells. Autacoids in anti-inflammationJ. Biol. Chem.278(17)14677-14687(2003) 2.Ariel, A., and Serhan, C.N.Resolvins and protectins in the termination program of acute inflammationTRENDS in Immunology28(4)176-183(2007) 3.Serhan, C.N., Hong, S., Gronert, K., et al.Resolvins: A family of bioactive products of ω-3 fatty acid transformation circuits by aspirin treatment that counter proinflammation signalsJ. Exp. Med.196(8)1025-1037(2002) 4.Sun, Y.P., Oh, S.F., Uddin, J., et al.Resolvin D1 and its aspirin-triggered 17R epimer stereochemical assignments, anti-inflammatory properties, and enzymatic inactivationThe Journal of Biological Chemisty282(13)9323-9334(2007)
使用方法:
1. 常用筛选浓度
注意:用来筛选稳转株的工作浓度需要根据细胞类型,培养基,生长条件和细胞代谢率而变化,推荐使用浓度为50-1000μg/mL。对于第一次使用的实验体系建议通过建立杀灭曲线(kill curve),即剂量反应性曲线,来确定最佳筛选浓度。
一般而言,哺乳动物细胞50-500μg/mL;细菌/植物细胞20-200μg/mL;真菌300-1000μg/mL。
2. 杀灭曲线的建立
注意:为了筛选得到稳定表达目的蛋白的细胞株,需要确定能够杀死未转染宿主细胞的抗生素浓度,可通过建立杀灭曲线(剂量反应曲线)来实现,至少选择5个浓度。
1) 第一天:未转化的细胞按照20-25%的细胞密度铺在合适的培养板上,37℃,CO2培养过夜;注:对于需要更高密度来检测活力的细胞,可增加接种量。
2) 根据细胞类型,设定合适范围内的浓度梯度。以哺乳动物细胞为例,可设定50,100,250,500,750,1000μg/mL。先用去离子水或者PBS buffer按照1:10的比例将母液稀释到5 mg/ml,然后按照下表稀释到相应浓度的工作液。
3) 第二天:替换旧的培养基,换用新鲜配制的含有相应浓度药物的培养基。每个浓度做三个平行孔。
4) 接下来每3-4天更换新的含药物培养基。
5) 按照固定的周期(如每2天)进行活细胞计数来确定阻止未转染细胞生长的恰当浓度。选择在理想的天数(通常是7-10天)内能够杀死绝大多数细胞的浓度为稳定转染细胞筛选用的工作浓度。
3. 稳定转染细胞的筛选
1) 转染48h后,用含有适当浓度的潮霉素B筛选培养基来传代细胞(直接传代或者稀释后传代)。
注意:细胞处于活跃分裂状态时抗生素的杀伤。则当细胞过于稠密,其效率会降低。为了得到较好的筛选效果,最好将细胞稀释至丰度不超过25%
2) 每隔3-4天更换含有药物的筛选培养液。
3) 筛选7天后观察并评估细胞克隆(集落)的形成情况。集落的形成可能还需要一周或者更多的时间,这取决于宿主细胞类型,转染,以及筛选效果。
4) 挑取并转移5-10个抗性克隆于35mm细胞培养板,继续用含药物的筛选培养液维持培养7天。
5) 之后更换正常培养基培养即可。
蛋白酶抑制剂混合物实验步骤:
(1)实验开始前将RNA提取液于65℃水浴锅中预热,离心管中加入ME(巯基乙醇),(10mL加80ul,50mL中加入300ul)
(2)取约0.8g菌丝体(液体培养获得的菌丝用真空抽滤即可!固体培养就更好说了),在液氮中迅速磨成精细粉末,装入50mL离心管,按1g材料8mL的量加入预热的RNA提取液,颠倒混匀
(3)65℃水浴3-10 min,期间混匀2-3次
(4)加入等体积的酚(注意是酸酚pH4.5)::yi戊醇(25:24:1)抽提(10,000rpm,4℃,5 min)
(5)取上清,等体积的yi戊醇(24:1)抽提(10,000rpm,4℃,5 min)
(6)加入1/4V体积10M LiCl溶液,4℃放置6h以上(或过夜)
(7)10,000rpm,4℃离心20min
(8)弃上清,用500ul SSTE溶解沉淀
(9)酚::yi戊醇(25:24:1)抽提两次,:yi戊醇(24:1)抽提1次(10,000rpm,4℃,5min)
(10)加2V体积的无水乙醇,在-70℃冰箱沉淀30min以上
(11)12,000rpm,4℃离心20 min
(12)弃上清.沉淀用70%酒精漂洗一次,干燥
(13)加200ul的DEPC处理水溶解
(14)用非变性琼脂糖凝胶电泳和紫外分光光度计扫描检测RNA的质量(在抽提过程中,若蛋白质含量或其它的杂质还较多,可以增加抽提次数)
公司正在出售的产品:
| Tos-Arg-OMe.HCl | Neogambogic acid |
| Eupenifeldin | 血小板衍生生长因子BB(PDGF-BB) ELISA检测试剂盒 |
| GSK3326595 (EPZ015938) | 胃蛋白酶(PP)ELISA Kit |
| EX-527 R-enantiomer | 卵清蛋白特异性IgE(OVA sIgE)试剂盒 ELISA |
| HIF-1 inhibitor-1 | 氢化可的松(HYD)检测试剂盒 |
| (-)-JQ1 | C型钠尿肽(CNP)ELISA检测试剂盒 |
| (3S,4R)-Tofacitinib | α谷胱甘肽S转移酶(α-GST) ELISA Kit |
| KD 5170 | Mouse phosphatidylserine, PS Elisa Kit |
| RG 108 | 膀胱肿瘤抗原(BTA)试剂盒 ELISA |
| CHAPS | 补因子H(CFH)检测试剂盒 |
| MS31 trihydrochloride | 胰蛋白酶原激活肽(TAP)ELISA Kit |
| S-Ruxolitinib (INCB018424) | 内脂素/内脏脂肪素(visfatin)ELISA检测试剂盒 |
| Moracin O | Resolvin D1-d5TGF-β诱导早期基因1(TIEG1) 试剂盒 ELISA |
| GNF362 | 26S蛋白酶(26S PSM) 检测试剂盒 |
| 热休克蛋白27(HSP-27)试剂盒 ELISA | Smad7 ELISA Kit |
风险提示:丁香通仅作为第三方平台,为商家信息发布提供平台空间。用户咨询产品时请注意保护个人信息及财产安全,合理判断,谨慎选购商品,商家和用户对交易行为负责。对于医疗器械类产品,请先查证核实企业经营资质和医疗器械产品注册证情况。
文献和实验In mammals, dopamine G protein-coupled receptors (GPCR) are segregated into two categories: D1-like (D1R and D5R) and D2-like (D2Rshort , D2Rlong , D3R, and D4R) subtypes. D1R and D5R are primarily coupled to stimulatory heterotrimeric GTP
Immunodetection of cyclin D1 and D2/D3 using flow cytometry
. It has been tested with antibodies against cyclin D1 (Pharmingen cat. no. 14561A, clone G12-4326), cyclin D2/D3 (cat. no. 14711A, clone G107-22) and cyclin E Procedure Prepare the cell type of interest as a single cell suspension and wash once with cold PBS
Phospholipase Ds (PLDs) play diverse roles in plant lipid metabolism and cellular signaling processes. The sole canonical G-protein α-subunit (Gα) in Arabidopsis also plays multiple roles in plant growth and cellular signaling processes
技术资料暂无技术资料 索取技术资料









