万千商家帮你免费找货
0 人在求购买到急需产品
- 详细信息
- 文献和实验
- 技术资料
- 库存:
32
- 英文名:
15(R)-17-phenyl trinor Prostaglandin F2α isopropyl ester
- CAS号:
130273-87-9
- 供应商:
上海莼试
- 保存条件:
Store at -20°C
- 规格:
1mg 5mg 10mg 50mg
分子式:C26H38O5
分子量:430.6
溶解度:DMF: 30 mg/ml,DMSO: 25 mg/ml,Ethanol: 30 mg/ml,PBS (pH 7.2): 1 mg/ml
储存条件:Store at -20°C
General tips:For obtaining a higher solubility , please warm the tube at 37 ℃ and shake it in the ultrasonic bath for a while.
Shipping Condition:Evaluation sample solution : ship with blue ice All other available size: ship with RT , or blue ice upon request
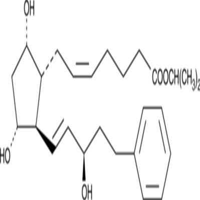
15(R)-17-phenyl trinor Prostaglandin F2α isopropyl ester (15(R)-17-phenyl trinor PGF2α isopropyl ester) is the latanoprost-related isomer containing both a double bond at 13,14 and an inverted (β) hydroxyl group at C-15. Similar to 15(S)-latanoprost, 15(R)-17-phenyl trinor PGF2α isopropyl ester is a potential impurity in most commercial preparations of the latanoprost bulk drug product. The IC50 values for the free acid forms of 15(S)-17-phenyl trinor PGF2α and 15(R)-17-phenyl trinor PGF2α were determined to be 0.71 nM and 30 nM, respectively, in a FP receptor binding assay using the cat iris sphincter muscle. A 3 μg dose of 15(R)-17-phenyl trinor PGF2α caused a 1.9 mmHg reduction of IOP in normotensive cynomolgus monkeys.
商品属性:
| 货号 | CS-01Y75600 | 规格 | 1mg 5mg 10mg 50mg |
| CAS号 | 130273-87-9 | 分子量 | 430.6 |
| 含量 | >98.00% | 别名 | N/A |
| 分子式 | C26H38O5 | 化学名 | N/A |
| 产地 | 国产 | 用途 | 仅供科研研究实验 |
抗逆滴加序列
每次向板内滴加抗原时,移液器滴头要与平面45度悬空,不要触碰到孔内的液体,由后向前依次滴加(即浓度由低往高滴加)。
抗感染反应期
抗原抗体在室温20~25℃下,必须反应30min以上,若环境温度低于室温,可将微量反应板置于恒温培养箱中,使二者充分反应。
旅游温度
磷酸盐缓冲液的pH值要在高压灭菌后进行滴定,往往在高压后pH值会有所改变,所以高压后再调一次pH值更为准确。磷酸盐缓冲液一经使用保存期不要超过3周。当pH<5.8时,红细胞会产生自凝现象;当pH>7.8时,图形洗脱加快,易造成肉眼观察产生误差;p H=7.2时,红细胞沉降最充分,图形最清晰。
当滴注 1%红细胞悬液时,应经常摇晃红细胞悬液,使红细胞均匀地分布在磷酸缓冲液中,以防止红细胞下降。
反应时间及温度
加入鸡红血球之后,反应板在室温(20~25℃)静置30~40min,对照孔血球下沉于孔底,即可判定结果。若室温达不到实验要求,需相应调整反应时间。当环境温度低于4℃时,红细胞发生自凝;高于37℃时,会发生反应物分离和红细胞溶血。
公司正在出售的产品:
| Haloperidol D4 | Boc-β-homo-Gln-OH |
| Fmoc-Lys(Fmoc)-OH | 细胞色素P4502E1(CYP2E1)检测试剂盒 |
| Z-Thr-OBzl | α1微球蛋白(α1-MG)试剂盒elisa |
| H-Ser(Bzl)-OMe.HCl | 过氧化物酶增殖物激活受α(PPAR-α)检测试剂盒 |
| Boc-Cys(Trt)-OH | 单核细胞趋化蛋白4(MCP-4/CCL13)检测试剂盒elisa |
| Fmoc-D-Ala-Wang resin | 钙调素(CAM)试剂盒ELISA |
| Fmoc-Ser(Bzl)-OH | 载脂蛋白E(Apo-E)ELISA检测试剂盒 |
| For-Met-OH | Heat Shock Protein Beta 8(HSPb8)ELISA Kit |
| Fmoc-N-Me-Asp(OtBu)-OH | 转化生长因子β2(TGFβ2)ELISA检测试剂盒 |
| DHP HM Resin | 溴脱氧核苷尿嘧啶(BrdU)试剂盒ELISA |
| Boc-Hyp-Ome | 内脏脂肪特异性丝氨酸蛋白酶抑制剂(vaspin)检测试剂盒 |
| H-Cys(Acm)-2-Chlorotrityl Resin | 生长激素释放肽ghrelin(GHRP-Ghrelin)检测试剂盒elisa |
| Boc-Thr-OH | 15(R)-17-phenyl trinor Prostaglandin F2α isopropyl ester细胞色素P450(CYP450)试剂盒elisa |
| PTP1B-IN-2 | β羟丁酸(βOHB)检测试剂盒 |
| Toll样受9(TLR-9/CD289)检测试剂盒 | 热休克因子1(HSF1)ELISA检测试剂盒 |
1.本蛋白酶抑制剂混合物为100×的储存液,使用时按照1:100的比例加入到裂解液中(例如,1ml裂解液中加入10μl蛋白酶抑制剂混合物),混匀后即可使用。根据需要,0.5M的EDTA也按照1:100的比例加入到裂解液中(如用于检测金属蛋白酶活性,则不宜添加EDTA)。含有蛋白酶抑制剂混合物的裂解液宜现用现配,不宜配制后冻存待后续使用。
2. 待所需的抑制剂添加完毕混匀后,就可以开始进行哺乳动物组织的裂解和蛋白提取。
风险提示:丁香通仅作为第三方平台,为商家信息发布提供平台空间。用户咨询产品时请注意保护个人信息及财产安全,合理判断,谨慎选购商品,商家和用户对交易行为负责。对于医疗器械类产品,请先查证核实企业经营资质和医疗器械产品注册证情况。
文献和实验Oxford Biomedical Research的氧化应激及慢性炎症生物标志物检测
as an index of oxidative stress in vivo, Free Radic. Biol. Med. 28:505-513 (2000).? 2. 15-异前列烷F2t ELISA分析试剂盒(血清、血浆、尿液和组织),货号EA84,96孔板:检测血清、血浆、尿液和组织中15-异前列烷F2t水平。 注:15-异前列烷F2t(15-Isoprostane F2t)别名:8-表-前列腺素F2α/8-异前列腺素F2α/ 8-异前列烷(8-epi-PGF2α/8-iso-PGF
Evaluating Modulators of “Regulator of G‐protein Signaling” (RGS) Proteins
/ml ampicillin) 2 ml of 1 M IPTG (isopropyl‐beta‐D‐thiogalactopyranoside) stock solution (Acros Organics) Gα i1 N1
%。 剩余15-30%由其它基本非肽成份构成。 多肽应用和保存 多肽具广泛的溶解性。多肽不溶的主要问题是形成二级结构。除了最太肽外,这点都会发生, 在有多重疏水残基的肽中更显著。盐会促进二级结构形成。我们建议先在无菌蒸馏水或去离子中溶解多肽。如需要增加溶解率, 可用声处理。溶解仍有问题, 加少量稀乙酸(10%)或氨水,会便于溶解。 要长期保存多肽, 最好冷冻干燥,冷干粉可在-20℃或更低存放几年而很少或无降解。溶液中的多肽远不稳定。 多肽易受细菌降解,应用无菌纯化水溶解。
技术资料暂无技术资料 索取技术资料









