相关产品推荐更多 >
万千商家帮你免费找货
0 人在求购买到急需产品
- 详细信息
- 文献和实验
- 技术资料
- 库存:
26
- 英文名:
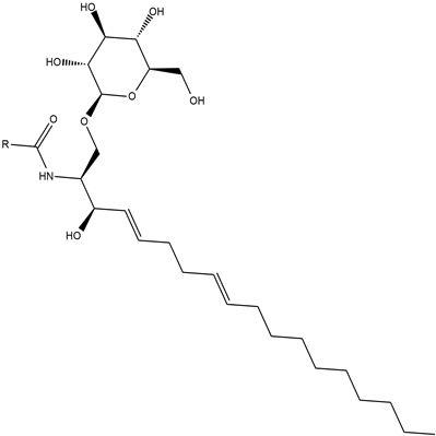
Glucocerebrosides
- CAS号:
497155-61-0
- 供应商:
上海莼试
- 保存条件:
Store at -20°C
- 规格:
5mg 10mg 50mg 100mg
使用方法:
1.本蛋白酶抑制剂混合物为100×的储存液,使用时按照1:100的比例加入到裂解液中(例如,1ml裂解液中加入10μl蛋白酶抑制剂混合物),混匀后即可使用。根据需要,0.5M的EDTA也按照1:100的比例加入到裂解液中(如用于检测金属蛋白酶活性,则不宜添加EDTA)。含有蛋白酶抑制剂混合物的裂解液宜现用现配,不宜配制后冻存待后续使用。
2. 待所需的抑制剂添加完毕混匀后,就可以开始进行哺乳动物组织的裂解和蛋白提取。
商品属性:
产品描述:
分子式:C40H75NO9 (2-hydroxy hexadecanoyl)
分子量:714
溶解度:Chloroform:Methanol (2:1): Soluble
储存条件:Store at -20°C
General tips:For obtaining a higher solubility , please warm the tube at 37 ℃ and shake it in the ultrasonic bath for a while.
Shipping Condition:Evaluation sample solution : ship with blue ice All other available size: ship with RT , or blue ice upon request
Glucocerebrosides are formed by the tethering of glucose to a ceramide by glucosylceramide synthase. They are present in neuronal and non-neuronal mammalian tissues and are found at low quantities in a large number of plant species. Glucocerebrosides are precursors in the synthesis of lactosylceramides and gangliosides. Increased levels of glucocerebrosides are associated with obesity-induced insulin resistance in mice and with neuronal deficits orved in neuronopathic Gaucher disease. This product is a mixture of glucocerebrosides, with variable ceramide chain lengths, isolated from soy.
注意事项:
抗逆滴加序列
每次向板内滴加抗原时,移液器滴头要与平面45度悬空,不要触碰到孔内的液体,由后向前依次滴加(即浓度由低往高滴加)。
抗感染反应期
抗原抗体在室温20~25℃下,必须反应30min以上,若环境温度低于室温,可将微量反应板置于恒温培养箱中,使二者充分反应。
旅游温度
磷酸盐缓冲液的pH值要在高压灭菌后进行滴定,往往在高压后pH值会有所改变,所以高压后再调一次pH值更为准确。磷酸盐缓冲液一经使用保存期不要超过3周。当pH<5.8时,红细胞会产生自凝现象;当pH>7.8时,图形洗脱加快,易造成肉眼观察产生误差;p H=7.2时,红细胞沉降最充分,图形最清晰。
当滴注 1%红细胞悬液时,应经常摇晃红细胞悬液,使红细胞均匀地分布在磷酸缓冲液中,以防止红细胞下降。
反应时间及温度
加入鸡红血球之后,反应板在室温(20~25℃)静置30~40min,对照孔血球下沉于孔底,即可判定结果。若室温达不到实验要求,需相应调整反应时间。当环境温度低于4℃时,红细胞发生自凝;高于37℃时,会发生反应物分离和红细胞溶血。
公司正在出售的产品:
1.本蛋白酶抑制剂混合物为100×的储存液,使用时按照1:100的比例加入到裂解液中(例如,1ml裂解液中加入10μl蛋白酶抑制剂混合物),混匀后即可使用。根据需要,0.5M的EDTA也按照1:100的比例加入到裂解液中(如用于检测金属蛋白酶活性,则不宜添加EDTA)。含有蛋白酶抑制剂混合物的裂解液宜现用现配,不宜配制后冻存待后续使用。
2. 待所需的抑制剂添加完毕混匀后,就可以开始进行哺乳动物组织的裂解和蛋白提取。
商品属性:
| 货号 | CS-01Y76507 | 规格 | 5mg 10mg 50mg 100mg |
| CAS号 | 497155-61-0 | 分子量 | 714 |
| 含量 | >98.00% | 别名 | N/A |
| 分子式 | C40H75NO9 (2-hydroxy hexadecanoyl) | 化学名 | N/A |
| 产地 | 国产 | 用途 | 仅供科研研究实验 |
分子式:C40H75NO9 (2-hydroxy hexadecanoyl)
分子量:714
溶解度:Chloroform:Methanol (2:1): Soluble
储存条件:Store at -20°C
General tips:For obtaining a higher solubility , please warm the tube at 37 ℃ and shake it in the ultrasonic bath for a while.
Shipping Condition:Evaluation sample solution : ship with blue ice All other available size: ship with RT , or blue ice upon request
Glucocerebrosides are formed by the tethering of glucose to a ceramide by glucosylceramide synthase. They are present in neuronal and non-neuronal mammalian tissues and are found at low quantities in a large number of plant species. Glucocerebrosides are precursors in the synthesis of lactosylceramides and gangliosides. Increased levels of glucocerebrosides are associated with obesity-induced insulin resistance in mice and with neuronal deficits orved in neuronopathic Gaucher disease. This product is a mixture of glucocerebrosides, with variable ceramide chain lengths, isolated from soy.
注意事项:
抗逆滴加序列
每次向板内滴加抗原时,移液器滴头要与平面45度悬空,不要触碰到孔内的液体,由后向前依次滴加(即浓度由低往高滴加)。
抗感染反应期
抗原抗体在室温20~25℃下,必须反应30min以上,若环境温度低于室温,可将微量反应板置于恒温培养箱中,使二者充分反应。
旅游温度
磷酸盐缓冲液的pH值要在高压灭菌后进行滴定,往往在高压后pH值会有所改变,所以高压后再调一次pH值更为准确。磷酸盐缓冲液一经使用保存期不要超过3周。当pH<5.8时,红细胞会产生自凝现象;当pH>7.8时,图形洗脱加快,易造成肉眼观察产生误差;p H=7.2时,红细胞沉降最充分,图形最清晰。
当滴注 1%红细胞悬液时,应经常摇晃红细胞悬液,使红细胞均匀地分布在磷酸缓冲液中,以防止红细胞下降。
反应时间及温度
加入鸡红血球之后,反应板在室温(20~25℃)静置30~40min,对照孔血球下沉于孔底,即可判定结果。若室温达不到实验要求,需相应调整反应时间。当环境温度低于4℃时,红细胞发生自凝;高于37℃时,会发生反应物分离和红细胞溶血。
公司正在出售的产品:
| Tizanidine-d4 (hydrochloride) | trans-hydroxy Glimepiride |
| 1,2,3-Trioctanoyl-rac-glycerol-13C3 | 骨成型蛋白受Ⅱ(BMPR-Ⅱ)检测试剂盒 |
| N-Oleoyl-L-phenylalanine | 主要组织相容性复合Ⅲ类(MHC-Ⅲ/H-2Ⅲ)试剂盒ELISA |
| Taurochenodeoxycholic Acid-d4 (sodium salt) | CD30分子(CD30)检测试剂盒 |
| (±)-Cotinine-d3 | E钙粘着蛋白/上皮性钙黏附蛋白(E-Cad)ELISA检测试剂盒 |
| Vitamin K1-d7 | 主要组织相容性复合Ⅱ类(MHC-Ⅱ/H-2Ⅱ试剂盒elisa |
| PPAR agonist 1 | 可溶性血管内皮细胞蛋白C受(sEPCR)检测试剂盒elisa |
| Desogestrel-13C2-d2 | Synaptotagmin XVI(SYT16)ELISA Kit |
| 7-Methyluric Acid | 血管生成素4(ANG-4)检测试剂盒elisa |
| Liproxstatin-1 hydrochloride | 碱性磷酸酶(ALP)试剂盒elisa |
| Rosiglitazone HCl | 骨成型蛋白受1A(BMPR-1A)检测试剂盒 |
| Everolimus-d4 | 骨成型蛋白4(BMP-4)ELISA检测试剂盒 |
| Zileuton | Glucocerebrosides骨成型蛋白2(BMP-2)试剂盒ELISA |
| Glabridin | 凋亡诱导因子(AIF)检测试剂盒 |
| 活化素A(ACV-A)检测试剂盒 | 脑源性神经营养因子(BDNF)检测试剂盒elisa |
风险提示:丁香通仅作为第三方平台,为商家信息发布提供平台空间。用户咨询产品时请注意保护个人信息及财产安全,合理判断,谨慎选购商品,商家和用户对交易行为负责。对于医疗器械类产品,请先查证核实企业经营资质和医疗器械产品注册证情况。
文献和实验相关实验
, vomiting, and hematemesis Gaucher's disease Autosomal recessive disease caused by decreased activity of the enzyme glucocerebrosides
技术资料暂无技术资料 索取技术资料
Glucocerebrosides
¥600 - 3200









