万千商家帮你免费找货
0 人在求购买到急需产品
- 详细信息
- 文献和实验
- 技术资料
- 库存:
22
- 英文名:
Vortioxetine-d8
- CAS号:
2140316-62-5
- 供应商:
上海莼试
- 保存条件:
Store at -20°C
- 规格:
1 mg
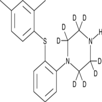
分子式:C18H14D8N2S
分子量:306.5
溶解度:Chloroform: soluble
储存条件:Store at -20°C
General tips:For obtaining a higher solubility , please warm the tube at 37 ℃ and shake it in the ultrasonic bath for a while.
Shipping Condition:Evaluation sample solution : ship with blue ice All other available size: ship with RT , or blue ice upon request
Vortioxetine-d8 is intended for use as an internal standard for the quantification of vortioxetine by GC- or LC-MS. Vortioxetine is a multimodal serotonergic agent that acts as a serotonin reuptake inhibitor (Ki = 1.6 nM) and binds to the 5-HT1A, 5-HT1B, 5-HT3A, and 5-HT7 receptors (Kis = 15, 33, 3.7, and 19 nM, respectively).1 It also binds to the β1-adrenergic receptor (Ki = 46 nM). It acts as an antagonist at 5-HT3A and 5-HT7, a partial agonist at 5-HT1B, and a full agonist at 5-HT1A receptors. Vortioxetine is selective for the serotonin transporter (SERT) over the dopamine and norepinephrine transporters (IC50s = 5.3, 890, and 140 nM, respectively). It has affinity for histamine H2, melanocortin 4, β2-adrenergic, 5-HT2C, and 5-HT6 receptors with Ki values greater than 180 nM, but it is selective over the majority of targets in a panel of 75 ion channels, G protein-coupled receptors, enzymes, and transporters. Vortioxetine (5 or 10 mg/kg per day) increases 5-HT levels in vivo in rat brain and decreases occupancy at SERT. At acute and chronic doses of 5 mg/kg, but not 10 mg/kg, it increases the time mice spend in the center of the open field test, increases mobility in the forced swim test, and decreases the latency to feed in the novelty suppressed feeding test.2 It also increases proliferation and survival of adult-born granule cells in the hippocampus. Formulations containing vortioxetine have been used in the treatment of major depressive disorder.1.Bang-Andersen, B., Ruhland, T., JØrgensen, M., et al.Discovery of 1-[2-(2,4-dimethylphenylsulfanyl)phenyl]piperazin (Lu AA21004): A novel multimodal compound for the treatment of major depressive disorderJ. Med Chem.54(9)3206-3221(2011) 2.Guilloux, J.P., Mendez-David, I., Pehrson, A., et al.Antidepressant and anxiolytic potential of the multimodal antidepressant vortioxetine (Lu AA21004) assessed by behavioural and neurogenesis outcomes in miceNeuropharmacology73147-159(2013)
商品属性:
| 货号 | CS-01Y77337 | 规格 | 1 mg |
| CAS号 | 2140316-62-5 | 分子量 | 306.5 |
| 含量 | >99.50% | 别名 | N/A |
| 分子式 | C18H14D8N2S | 化学名 | N/A |
| 产地 | 国产 | 用途 | 仅供科研研究实验 |
抗逆滴加序列
每次向板内滴加抗原时,移液器滴头要与平面45度悬空,不要触碰到孔内的液体,由后向前依次滴加(即浓度由低往高滴加)。
抗感染反应期
抗原抗体在室温20~25℃下,必须反应30min以上,若环境温度低于室温,可将微量反应板置于恒温培养箱中,使二者充分反应。
旅游温度
磷酸盐缓冲液的pH值要在高压灭菌后进行滴定,往往在高压后pH值会有所改变,所以高压后再调一次pH值更为准确。磷酸盐缓冲液一经使用保存期不要超过3周。当pH<5.8时,红细胞会产生自凝现象;当pH>7.8时,图形洗脱加快,易造成肉眼观察产生误差;p H=7.2时,红细胞沉降最充分,图形最清晰。
当滴注 1%红细胞悬液时,应经常摇晃红细胞悬液,使红细胞均匀地分布在磷酸缓冲液中,以防止红细胞下降。
反应时间及温度
加入鸡红血球之后,反应板在室温(20~25℃)静置30~40min,对照孔血球下沉于孔底,即可判定结果。若室温达不到实验要求,需相应调整反应时间。当环境温度低于4℃时,红细胞发生自凝;高于37℃时,会发生反应物分离和红细胞溶血。
公司正在出售的产品:
| ACTH (7-38) (human) | H-Orn(Z)-OH |
| H-Orn(Z)-OtBu.HCl | 黄嘌呤氧化酶检测试剂盒 |
| H-Orn-OH. HCl | 活化蛋白C检测试剂盒 |
| H-Orn-OMe.2HCl | 活化凝血因子X检测试剂盒 |
| HOSu | 活化凝血因子Ⅻ检测试剂盒 |
| hoxyestradiol (2-MeOE2) | 活性依赖性神经保护因子检测试剂盒 |
| H-Phe(2-Cl)-OH | 饥饿素检测试剂盒 |
| H-Phe(2-F)-OH | Kallikrein 2 ELISA Kit,Kallikrein 2,KLK2 |
| H-Phe(3,4-DiCl)-OH | 黄嘌呤脱氢酶检测试剂盒 |
| H-Phe(3,4-DiCl)-OMe.HCl | 缓激肽检测试剂盒 |
| H-Phe(3-Cl)-OH | 环磷酸腺苷检测试剂盒 |
| H-Phe(3-CN)-OH | 环磷酸鸟苷检测试剂盒 |
| H-Phe(4-Br)-OH | Vortioxetine-d8环孢素A检测试剂盒 |
| PF-8380 | 花生四烯酸检测试剂盒 |
| 黑色素细胞刺激素检测试剂盒 | 横纹肌辅肌动蛋白α检测试剂盒 |
1.本蛋白酶抑制剂混合物为100×的储存液,使用时按照1:100的比例加入到裂解液中(例如,1ml裂解液中加入10μl蛋白酶抑制剂混合物),混匀后即可使用。根据需要,0.5M的EDTA也按照1:100的比例加入到裂解液中(如用于检测金属蛋白酶活性,则不宜添加EDTA)。含有蛋白酶抑制剂混合物的裂解液宜现用现配,不宜配制后冻存待后续使用。
2. 待所需的抑制剂添加完毕混匀后,就可以开始进行哺乳动物组织的裂解和蛋白提取。
风险提示:丁香通仅作为第三方平台,为商家信息发布提供平台空间。用户咨询产品时请注意保护个人信息及财产安全,合理判断,谨慎选购商品,商家和用户对交易行为负责。对于医疗器械类产品,请先查证核实企业经营资质和医疗器械产品注册证情况。
文献和实验【求助】哪位大侠赐予我Signal transduction and human disease一书,因在丁香园上无法下载以前分享的,我的邮箱是huoqingwei228@126.com
霍墨轩 :):D8D:I;) ssycock 刚好有,给你发过去了 osto 好人啊 可否给我也发一份 sunshineyg01@yahoo.com.cn 谢谢了 本文由丁香园论坛提供,想了解更多有用的、有意思的前沿资讯以及酷炫的实验方法的你,都可以成为师兄的好伙伴 师兄微信号:shixiongcoming
【转帖】教你一种简单、高效的提高重组蛋白质的诱导表达量的方法
,标准化的操作。 下面就给大家一个案例(我手头上有很多这样的案例,但涉及到商业秘密,不宜展示太多) H+: 原始的菌株,表达量比较低。 1A1,2D4...3D2,3D8:通过SDS-PAGE鉴定的几个高表达菌株,表达量明显提高。后面的测序结果表明,3D2和3D8的序列一模一样。 下图展示的就是H+和3D8的5'端DNA序列的比对: 红框标记的是两条序列不一样的地方,怎么样?就变了几个碱基的序列,表达量就千差万别。这样的例子太多,值得一试! 原文链接: http:/www
【资源】蛋白质专家巡回演讲——成都站(更新原版PPT下载地址)
proteins.rar 5. Antibody purification.rar 6.微量液相色谱分离蛋白和多肽.rar 8D8D8D8D8D PDF版本下载地址: PDF压缩版.rar
技术资料暂无技术资料 索取技术资料









