相关产品推荐更多 >
万千商家帮你免费找货
0 人在求购买到急需产品
- 详细信息
- 文献和实验
- 技术资料
- 库存:
34
- 英文名:
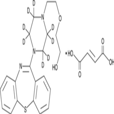
Quetiapine-d8 (fumarate)
- CAS号:
1185247-12-4
- 供应商:
上海莼试
- 保存条件:
-20°C
- 规格:
1mg
| 货号 | CS-01Y77329 | 规格 | 1mg |
| CAS号 | 1185247-12-4 | 分子量 | 507.6 |
| 含量 | >99.50% | 别名 | N/A |
| 分子式 | 化学名 | N/A | |
| 产地 | 国产 | 用途 | 仅供科研研究实验 |
分子式:
分子量:507.6
溶解度:DMF: soluble,DMSO: soluble,Methanol: soluble
储存条件:-20°C
General tips:For obtaining a higher solubility , please warm the tube at 37 ℃ and shake it in the ultrasonic bath for a while.
Shipping Condition:Evaluation sample solution : ship with blue ice All other available size: ship with RT , or blue ice upon request
Quetiapine-d8 is intended for use as an internal standard for the quantification of quetiapine by GC- or LC-MS. Quetiapine is an atypical, second generation antipsychotic compound.1,2,3 It has effects at multiple receptors, antagonizing dopamine D1, D2, and D3 receptors (Kis = 994, 379, and 340 nM, respectively), serotonin 5-HT1A, 5-HT2A, and 5-HT7 receptors (Kis = 394, 118, and 307 nM, respectively), and α1A, α1B, and α2C adrenergic receptors (Kis = 22, 15, and 29 nM, respectively).4,5 Quetiapine also potently antagonizes the histamine H1 receptor (Ki = 11 nM).51.Seeman, P.Atypical antipsychotics: Mechanism of actionCan. J. Psychiatry47(1)27-38(2002) 2.Rummel-Kluge, C., Komossa, K., Schwarz, S., et al.Second-generation antipsychotic drugs and extrapyramidal side effects: A systematic review and meta-analysis of head-to-head comparisonsSchizophr. Bull.38(1)167-177(2012) 3.Cerejeira, J., and Mukaetova-Ladinska, E.B.A clinical update on delirium: From early recognition to effective managementNurs. Res. Pract.875196(2011) 4.Richelson, E., and Souder, T.Binding of antipsychotic drugs to human brain receptors: Focus on newer generation compoundsLife Sci.68(1)29-39(2000) 5.Kroeze, W.K., Hufeisen, S.J., Popadak, B.A., et al.H1-histamine receptor affinity predicts short-term weight gain for typical and atypical antipsychotic drugsNeuropsychopharmacology28(3)519-526(2003)
注意事项:
抗逆滴加序列
每次向板内滴加抗原时,移液器滴头要与平面45度悬空,不要触碰到孔内的液体,由后向前依次滴加(即浓度由低往高滴加)。
抗感染反应期
抗原抗体在室温20~25℃下,必须反应30min以上,若环境温度低于室温,可将微量反应板置于恒温培养箱中,使二者充分反应。
旅游温度
磷酸盐缓冲液的pH值要在高压灭菌后进行滴定,往往在高压后pH值会有所改变,所以高压后再调一次pH值更为准确。磷酸盐缓冲液一经使用保存期不要超过3周。当pH<5.8时,红细胞会产生自凝现象;当pH>7.8时,图形洗脱加快,易造成肉眼观察产生误差;p H=7.2时,红细胞沉降最充分,图形最清晰。
当滴注 1%红细胞悬液时,应经常摇晃红细胞悬液,使红细胞均匀地分布在磷酸缓冲液中,以防止红细胞下降。
反应时间及温度
加入鸡红血球之后,反应板在室温(20~25℃)静置30~40min,对照孔血球下沉于孔底,即可判定结果。若室温达不到实验要求,需相应调整反应时间。当环境温度低于4℃时,红细胞发生自凝;高于37℃时,会发生反应物分离和红细胞溶血。
使用方法:
1.本蛋白酶抑制剂混合物为100×的储存液,使用时按照1:100的比例加入到裂解液中(例如,1ml裂解液中加入10μl蛋白酶抑制剂混合物),混匀后即可使用。根据需要,0.5M的EDTA也按照1:100的比例加入到裂解液中(如用于检测金属蛋白酶活性,则不宜添加EDTA)。含有蛋白酶抑制剂混合物的裂解液宜现用现配,不宜配制后冻存待后续使用。
2. 待所需的抑制剂添加完毕混匀后,就可以开始进行哺乳动物组织的裂解和蛋白提取。
公司正在出售的产品:
| Acetyl-ACTH (3-24) (human, bovine, rat) | Fmoc-Arg(Me)₂-OH (symmetrical) |
| Fmoc-Arg(Mtr)-OH | 二肽基肽酶9(DPP9)ELISA试剂盒 |
| Fmoc-Arg(Mtr)-OPfp | 二肽基肽酶8(DPP8)ELISA试剂盒 |
| Fmoc-Arg(Mtr)-SASRIN™ resin (200-400 mesh, 0.4-0.7 mmol/g) | 二肽基肽酶6(DPP6)ELISA试剂盒 |
| Fmoc-Arg(Mtr)-Wang resin (200-400 mesh, 0.4-0.7 mmol/g) | 二肽基肽酶7(DPP7)ELISA试剂盒 |
| Fmoc-Arg(Mts)-OH | 二肽基肽酶3(DPP3)ELISA试剂盒 |
| Fmoc-Arg(NO2)-OH | 二肽基肽酶10(DPP10)ELISA试剂盒 |
| Fmoc-Arg(Pbf)-OH | 二氢叶酸还原酶(DHFR)ELISA试剂盒 |
| Fmoc-Arg(Pbf)-OPfp | 二肽基肽酶Ⅳ(DPP4)ELISA试剂盒 |
| Fmoc-Arg(Pbf)-SASRIN™ resin (200-400 mesh, 0.3-0.6 mmol/g) | 二肽酶2(DPEP2)ELISA试剂盒 |
| Fmoc-Arg(Pbf)-Wang resin | 二肽酶3(DPEP3)ELISA试剂盒 |
| Fmoc-Arg(Pmc)-OH | 二羰基/L-糖还原酶(DCXR)ELISA试剂盒 |
| Fmoc-Arg(Pmc)-OPfp | Quetiapine-d8 (fumarate)二酰甘油-O-酰基转移酶同源物1(DGAT1)ELISA试剂盒 |
| o-3M3FBS | 二酰甘油-O-酰基转移酶同源物2(DGAT2)ELISA试剂盒 |
| 人饥饿素-O-乙酰基转移酶ELISA试剂盒 | 二酰基甘油(DAG)ELISA试剂盒 |
风险提示:丁香通仅作为第三方平台,为商家信息发布提供平台空间。用户咨询产品时请注意保护个人信息及财产安全,合理判断,谨慎选购商品,商家和用户对交易行为负责。对于医疗器械类产品,请先查证核实企业经营资质和医疗器械产品注册证情况。
文献和实验延胡索酸还原酶 fumarate reductase 它是催化从 NADH中接受 H,把延胡索酸还原成琥珀酸反应的酶。 EC1. 3. 1. 6。它是作为旧黄酶的标本(制剂)中所含有的不纯物,为 F. G. Fischer所发现。反应是不可逆的,而且在厌氧细菌中其琥珀酸的产生是由与一般的琥珀酸脱氨酶不同的可逆的延胡索酸还原酶所参与。
延胡索酸水合酶 fumarate hydratase 亦称延胡索酸酶。是催化延胡索酸 H2 O L-苹果酸可逆转变的酶。 EC4. 2. 1. 2。最适 pH为 6.5— 8.0。对底物有严格的特异性,反应平衡稍向右偏。在生物界广泛分布,可从肝脏、心肌和骨骼肌中得到纯品,从心肌得到的结晶品分子量约为 20万,由 4个多肽亚基组成。为柠檬酸循环中的酶,所以存在于线粒体的衬质中。
Mol Cell:南京医科大学钱旭团队揭示延胡索酸促进肿瘤恶化新机制
2022 年 2 月 24 日,南京医科大学公共卫生学院钱旭课题组和南京大学附属鼓楼医院郭宏骞、赵晓智课题组合作,在 Molecular Cell 上发表题为 Fumarate inhibits PTEN to promote tumorigenesis and therapeutic resistance of type 2 papillary renal cell carcinoma 的研究长文。该项工作揭示了在 FH 活性缺失的 2 型乳头状肾癌(PRCC2)肿瘤细胞中,累积
技术资料暂无技术资料 索取技术资料









