相关产品推荐更多 >
万千商家帮你免费找货
0 人在求购买到急需产品
- 详细信息
- 技术资料
- 库存:
46
- 英文名:
Desmethyl ferroquine
- CAS号:
903546-18-9
- 供应商:
上海莼试
- 保存条件:
Store at -20°C
- 规格:
5mg 10mg
商品属性:
产品描述:
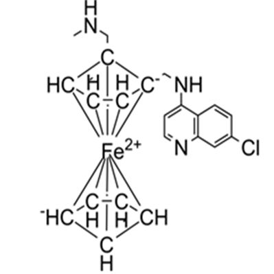
分子式:C22H22ClFeN3
分子量:419.73
溶解度:DMSO: 2.5 mg/mL (5.96 mM); H2O: < 0.1 mg/mL (insoluble)
储存条件:Store at -20°C
General tips:For obtaining a higher solubility , please warm the tube at 37 ℃ and shake it in the ultrasonic bath for a while.
Shipping Condition:Evaluation sample solution : ship with blue ice All other available size: ship with RT , or blue ice upon request
Desmethyl ferroquine (SSR97213) is the active and major metabolite of Ferroquine. Ferroquine is an antimalarial. Desmethyl ferroquine shows significant activity against Chloroquine-susceptible and resistant P. falciparum strains[1].[1]. Supan C, et al. Pharmacokinetics of ferroquine, a novel 4-aminoquinoline, in asymptomatic carriers of Plasmodium falciparum infections. Antimicrob Agents Chemother. 2012 Jun;56(6):3165-73.
注意事项:
抗逆滴加序列
每次向板内滴加抗原时,移液器滴头要与平面45度悬空,不要触碰到孔内的液体,由后向前依次滴加(即浓度由低往高滴加)。
抗感染反应期
抗原抗体在室温20~25℃下,必须反应30min以上,若环境温度低于室温,可将微量反应板置于恒温培养箱中,使二者充分反应。
旅游温度
磷酸盐缓冲液的pH值要在高压灭菌后进行滴定,往往在高压后pH值会有所改变,所以高压后再调一次pH值更为准确。磷酸盐缓冲液一经使用保存期不要超过3周。当pH<5.8时,红细胞会产生自凝现象;当pH>7.8时,图形洗脱加快,易造成肉眼观察产生误差;p H=7.2时,红细胞沉降最充分,图形最清晰。
当滴注 1%红细胞悬液时,应经常摇晃红细胞悬液,使红细胞均匀地分布在磷酸缓冲液中,以防止红细胞下降。
反应时间及温度
加入鸡红血球之后,反应板在室温(20~25℃)静置30~40min,对照孔血球下沉于孔底,即可判定结果。若室温达不到实验要求,需相应调整反应时间。当环境温度低于4℃时,红细胞发生自凝;高于37℃时,会发生反应物分离和红细胞溶血。
使用方法:
1.本蛋白酶抑制剂混合物为100×的储存液,使用时按照1:100的比例加入到裂解液中(例如,1ml裂解液中加入10μl蛋白酶抑制剂混合物),混匀后即可使用。根据需要,0.5M的EDTA也按照1:100的比例加入到裂解液中(如用于检测金属蛋白酶活性,则不宜添加EDTA)。含有蛋白酶抑制剂混合物的裂解液宜现用现配,不宜配制后冻存待后续使用。
2. 待所需的抑制剂添加完毕混匀后,就可以开始进行哺乳动物组织的裂解和蛋白提取。
公司正在出售的产品:
| 货号 | CS-01Y64412 | 规格 | 5mg 10mg |
| CAS号 | 903546-18-9 | 分子量 | 419.73 |
| 含量 | >98.00% | 别名 | N/A |
| 分子式 | C22H22ClFeN3 | 化学名 | N/A |
| 产地 | 国产 | 用途 | 仅供科研研究实验 |
分子式:C22H22ClFeN3
分子量:419.73
溶解度:DMSO: 2.5 mg/mL (5.96 mM); H2O: < 0.1 mg/mL (insoluble)
储存条件:Store at -20°C
General tips:For obtaining a higher solubility , please warm the tube at 37 ℃ and shake it in the ultrasonic bath for a while.
Shipping Condition:Evaluation sample solution : ship with blue ice All other available size: ship with RT , or blue ice upon request
Desmethyl ferroquine (SSR97213) is the active and major metabolite of Ferroquine. Ferroquine is an antimalarial. Desmethyl ferroquine shows significant activity against Chloroquine-susceptible and resistant P. falciparum strains[1].[1]. Supan C, et al. Pharmacokinetics of ferroquine, a novel 4-aminoquinoline, in asymptomatic carriers of Plasmodium falciparum infections. Antimicrob Agents Chemother. 2012 Jun;56(6):3165-73.
注意事项:
抗逆滴加序列
每次向板内滴加抗原时,移液器滴头要与平面45度悬空,不要触碰到孔内的液体,由后向前依次滴加(即浓度由低往高滴加)。
抗感染反应期
抗原抗体在室温20~25℃下,必须反应30min以上,若环境温度低于室温,可将微量反应板置于恒温培养箱中,使二者充分反应。
旅游温度
磷酸盐缓冲液的pH值要在高压灭菌后进行滴定,往往在高压后pH值会有所改变,所以高压后再调一次pH值更为准确。磷酸盐缓冲液一经使用保存期不要超过3周。当pH<5.8时,红细胞会产生自凝现象;当pH>7.8时,图形洗脱加快,易造成肉眼观察产生误差;p H=7.2时,红细胞沉降最充分,图形最清晰。
当滴注 1%红细胞悬液时,应经常摇晃红细胞悬液,使红细胞均匀地分布在磷酸缓冲液中,以防止红细胞下降。
反应时间及温度
加入鸡红血球之后,反应板在室温(20~25℃)静置30~40min,对照孔血球下沉于孔底,即可判定结果。若室温达不到实验要求,需相应调整反应时间。当环境温度低于4℃时,红细胞发生自凝;高于37℃时,会发生反应物分离和红细胞溶血。
使用方法:
1.本蛋白酶抑制剂混合物为100×的储存液,使用时按照1:100的比例加入到裂解液中(例如,1ml裂解液中加入10μl蛋白酶抑制剂混合物),混匀后即可使用。根据需要,0.5M的EDTA也按照1:100的比例加入到裂解液中(如用于检测金属蛋白酶活性,则不宜添加EDTA)。含有蛋白酶抑制剂混合物的裂解液宜现用现配,不宜配制后冻存待后续使用。
2. 待所需的抑制剂添加完毕混匀后,就可以开始进行哺乳动物组织的裂解和蛋白提取。
公司正在出售的产品:
| H-Tle-OMe.HCl | Liproxstatin-1 |
| Otamixaban | 188kDa核孔蛋白检测试剂盒 NUP188 ELISA Kit |
| 4-hydroxy Alternariol | 17-β-羟基类固醇脱氢酶3检测试剂盒 HSD17β3 ELISA Kit |
| Olprinone Hydrochloride | 160kDa核孔蛋白检测试剂盒 NUP160 ELISA Kit |
| IDO-IN-12 | 17-α-羟化酶检测试剂盒 S17αH ELISA Kit |
| Glycohyocholic Acid-d4 | 15-羟基前列腺素脱氢酶检测试剂盒 HPGD ELISA Kit |
| IACS-8968 S-enantiomer | 153kDa核孔蛋白检测试剂盒 NUP153 ELISA Kit |
| Oglemilast | 133kDa核孔蛋白检测试剂盒 NUP133 ELISA Kit |
| Dienogest-d8 | 2',5'-寡腺苷酸合成酶2检测试剂盒 OAS2 ELISA Kit |
| AACOCF3 | 2',5'-寡腺苷酸合成酶3检测试剂盒 OAS3 ELISA Kit |
| p-Nitrophenylphosphorylcholine | 205kDa核孔蛋白检测试剂盒 NUP205 ELISA Kit |
| CDC25B-IN-1 | 214kDa核孔蛋白检测试剂盒 NUP214 ELISA Kit |
| Metyrapone | Desmethyl ferroquine24-脱氢胆固醇还原酶检测试剂盒 DHCR24 ELISA Kit |
| Acivicin hydrochloride | 26S-蛋白酶检测试剂盒 26S-PSM ELISA Kit |
| 人生存素ELISA试剂盒 | 2-氨基双加氧酶检测试剂盒 ADO ELISA Kit |
风险提示:丁香通仅作为第三方平台,为商家信息发布提供平台空间。用户咨询产品时请注意保护个人信息及财产安全,合理判断,谨慎选购商品,商家和用户对交易行为负责。对于医疗器械类产品,请先查证核实企业经营资质和医疗器械产品注册证情况。
技术资料暂无技术资料 索取技术资料
Desmethyl ferroquine
¥600 - 3200









