相关产品推荐更多 >
万千商家帮你免费找货
0 人在求购买到急需产品
- 详细信息
- 技术资料
- 库存:
55
- 英文名:
Gentiopicroside
- CAS号:
20831-76-9
- 保质期:
2年
- 供应商:
上海联祖
- 保存条件:
4℃冷藏、密封、避光
- 规格:
20 mg/支
商品属性:
| 产品名称 | 英文名称 | 规格 | 货号 |
| 龙胆苦苷20831-76-9 | Gentiopicroside | 20 mg/支 | LZ-BP2377 |
商品介绍:
产品名称:龙胆苦苷
英文名称:Gentiopicroside
CAS NO:20831-76-9
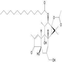
分子式:C16H20O9
分子量:356.32
分子结构:
规格:20 mg/支
外观:白色针状结晶
提取来源:龙胆科植物条叶龙胆Gentiana manshurica Kitag.
纯度:HPLC≥98%
分析方法: HPLC-DAD or/and HPLC-ELSD
鉴定方法: 质谱(Mass), 核磁(NMR)
贮存条件:4℃冷藏、密封、避光
有效期:2年
供货能力:大量现货
标准品的选择原则:
1.考虑标准品的稳定性
如:阿莫西林的对照品选阿莫西林三水合物(其稳定性优于阿莫西林及其一水合物)。
2.考虑盐基、酸根的不同
如:某些药物杂质对照品,有些做成盐酸盐,有些为游离碱,在选择和使用过程也要注意哪个适合自己。若用于测含量要考虑换算因子。
3.用作红外鉴别的对照品要考虑晶型的一致。(晶型不一致、红外很有可能不一致)
4.官方对照品往往用于定位或含量检测,往往不建议用作晶型鉴定、或红外标准图谱(官方对照品的制备工艺很大程度与生产工艺不一致,有可能是HPLC制备纯化得到的,晶型无法保证一致性,有少数产品官方也会提供产品对照光谱,国内也有红外光谱集)
CK-20 ELISA Kit CTRP5/C1QTNF5 Antibody (Clone#A14-A)
GAD ELISA Kit Caspase 1/CASP1 (p10+p12) Antibody (Clone#26C50)
ACO-2 ELISA Kit DUSP27 (DUPD1) Antibody (Clone#OTI7E4)
Hp-IgM ELISA Kit HEMGN Antibody (Clone#OTI2D7)
Lipase ELISA Kit TUBA8 Antibody (Clone#OTI2G6)
cath-D ELISA Kit NODAL Antibody (Clone#28N78)
TPS ELISA Kit PAFAH1B3 Antibody (Clone#OTI5D2)
GTE-AGE ELISA Kit PCNP Antibody (Clone#OTI4E3)
ADMA ELISA Kit BRD4 Antibody
C5b ELISA Kit CAPZA1 Antibody (Clone#OTI2G4)
C4b ELISA Kit EIF3E Antibody (Clone#25E15)
PMN ELISA Kit SYNJ2BP Antibody (Clone#OTI3A9)
MAGE ELISA Kit PLSCR1 Antibody (Clone#22P73)
ODC ELISA Kit FBLIM1 Antibody (Clone#OTI3G1)
TF ELISA Kit PSMD3 Antibody (Clone#OTI2C2)
FSP ELISA Kit AGTR1 Antibody
GM ELISA Kit ADK Antibody (Clone#7F4)
BrdU ELISA Kit tPA/PLAT Antibody (Clone#OTI3H3)
标准品的分类:
龙胆苦苷20831-76-91.鉴别用对照品:用于药品鉴别项下的红外、薄层色谱等鉴别;
2.检测用对照品:用于药品检查项下有关物质、溶出度、含量均匀度的检测,一般对照品纯度不低于98.5%
3.含量测定用对照品:用于含量检测,纯度要求高,99%以上。
4.熔点标准品:化学性质稳定,熔点固定、熔程短的一类标准物质,用于熔点温度计的校正,如:偶氮苯(mp:69℃)、磺胺(mp:166℃)、糖精( mp:229℃ )、酚酞( mp:263℃ )
5.溶出度校正片:为特殊制备的某种药片,通常为水杨酸校正片,用于溶出度仪的校正。
风险提示:丁香通仅作为第三方平台,为商家信息发布提供平台空间。用户咨询产品时请注意保护个人信息及财产安全,合理判断,谨慎选购商品,商家和用户对交易行为负责。对于医疗器械类产品,请先查证核实企业经营资质和医疗器械产品注册证情况。
技术资料暂无技术资料 索取技术资料
龙胆苦苷20831-76-9
¥500 - 3800









