相关产品推荐更多 >
万千商家帮你免费找货
0 人在求购买到急需产品
- 详细信息
- 技术资料
- 库存:
30
- 英文名:
Periplocoside N
- CAS号:
39946-41-3
- 保质期:
2年
- 供应商:
上海联祖
- 保存条件:
4℃冷藏、密封、避光
- 规格:
10mg/支
绝对定量的标准品如何制作?
绝对定量是指在实时荧光定量 PCR 实验中,对已知量的样本进行连续稀释后扩增,生成标准曲线。然后通过与此曲线比较,定量未知样本,绝对定量可测定靶点的实际拷贝数。
包括以下三个步骤:
(1) 将标准品稀释成不同浓度,作为模板进行扩增;
(2) 以标准品拷贝数的对数值为横坐标,以测得的Ct值为纵坐标绘制标准曲线;
(3) 根据未知样品的Ct值,即可在标准曲线中获得样品的拷贝数。
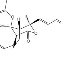
分子结构:
规格:10mg/支
外观:白色粉末
提取来源:香加皮
纯度:HPLC≥98%
分析方法: HPLC-DAD or/and HPLC-ELSD
鉴定方法: 质谱(Mass), 核磁(NMR)
贮存条件:4℃冷藏、密封、避光
有效期:2年
供货能力:大量现货
DNA标准品-
纯化的PCR扩增片段或含有目的基因的克隆质粒。
优点:易制备,储存稳定;
缺点:缺少逆转录反应过程。
-RNA标准品-
目的基因的体外转录RNA。
优点:结合逆转录反应过程;
缺点:制备时间长,不稳定。
标准溶液配制常见问题
1. 标准品的取用一般有称量法和容量法,在称量的时候有什么注意事项呢?
根据需要称量的重量和允许误差选择合适的天平。如称量少于10mg的产品,建议使用十万分之一的分析天平。在购买产品时也要注意产品的重量能否满足实验需求。以下是一些建议:
a.称量前:建议将产品直立放置一段时间(放至室温),使产品全部集中到底部,便于取用。尤其是黏稠状物质,可以倾斜至与竖直方向呈45度,使产品集中在瓶底边缘。
b.粉末或晶体:建议采用增量法称量,准备合适的干燥容器,天平归零后取产品放至容器内,得出容器中用于配制标准溶液的物质重量。
北五加皮苷N39946-41-3c.粘稠状或液体:建议采用增量法称量,先称量原产品连瓶一起的重量,再用适当器具移取所需标准品至容器中,称量移取后的产品连瓶重量,其差值为实际用于配制标准溶液的重量。
d.如果瓶盖上粘有物质,可以在减量法称量时连瓶盖一起称量,移取产品时注意使用干燥的器具
bFGF-4 ELISA Kit PTPN7 Antibody (Clone#OTI3B10)
NAP-2/CXCL7 ELISA Kit ALDH16A1 Antibody (Clone#28A00)
HGF ELISA Kit IL-1RA/IL1RN Antibody (Clone#OTI2D2)
bFGF-6 ELISA Kit EIF2AK4 Antibody
bFGF-9 ELISA Kit PAGE1 Antibody (Clone#OTI3E7)
FN ELISA Kit TPSAB1 Antibody
FK ELISA Kit PSMA5 Antibody (Clone#426CT8.5.1)
G-CSF ELISA Kit DEF8 Antibody (Clone#OTI4B6)
GDNF ELISA Kit Parathyroid Hormone/PTH Antibody (Clone#2C7)
HGH ELISA Kit NSD3 Antibody (Clone#OTI1F11)
GM-CSF ELISA Kit Glutamine Synthetase/GLUL Antibody (Clone#OTI1F4)
gp130 ELISA Kit MT1-MMP/MMP14 Antibody
BMP-4 ELISA Kit TLN2 Antibody
ICAM-1/CD54 ELISA Kit A Antibody (Clone#OTI4H4)
IFN-γ ELISA Kit Desmoplakin/DSP Antibody (Clone#22D49)
IGF-1 ELISA Kit PAK2 Antibody
IGF-2 ELISA Kit DPP9 Antibody (Clone#OTI1G9)
IGFBP-1 ELISA Kit UQCRFS1 Antibody (Clone#19U18)
绝对定量是指在实时荧光定量 PCR 实验中,对已知量的样本进行连续稀释后扩增,生成标准曲线。然后通过与此曲线比较,定量未知样本,绝对定量可测定靶点的实际拷贝数。
包括以下三个步骤:
(1) 将标准品稀释成不同浓度,作为模板进行扩增;
(2) 以标准品拷贝数的对数值为横坐标,以测得的Ct值为纵坐标绘制标准曲线;
(3) 根据未知样品的Ct值,即可在标准曲线中获得样品的拷贝数。
北五加皮苷N39946-41-3
| 产品中文名称 | 北五加皮苷N | 英文名 | Periplocoside N |
| CAS登录号 | 39946-41-3 | 货号 | LZ-BP2317 |
| 分子式 | C27H44O6 | 纯度 | HPLC≥98% |
| 分子量 | 464.63 | 分析方法 | HPLC-DAD or/and HPLC-ELSD |
| 鉴定方法 | Mass, NMR | 规格 | 10mg/支 |
规格:10mg/支
外观:白色粉末
提取来源:香加皮
纯度:HPLC≥98%
分析方法: HPLC-DAD or/and HPLC-ELSD
鉴定方法: 质谱(Mass), 核磁(NMR)
贮存条件:4℃冷藏、密封、避光
有效期:2年
供货能力:大量现货
DNA标准品-
纯化的PCR扩增片段或含有目的基因的克隆质粒。
优点:易制备,储存稳定;
缺点:缺少逆转录反应过程。
-RNA标准品-
目的基因的体外转录RNA。
优点:结合逆转录反应过程;
缺点:制备时间长,不稳定。
标准溶液配制常见问题
1. 标准品的取用一般有称量法和容量法,在称量的时候有什么注意事项呢?
根据需要称量的重量和允许误差选择合适的天平。如称量少于10mg的产品,建议使用十万分之一的分析天平。在购买产品时也要注意产品的重量能否满足实验需求。以下是一些建议:
a.称量前:建议将产品直立放置一段时间(放至室温),使产品全部集中到底部,便于取用。尤其是黏稠状物质,可以倾斜至与竖直方向呈45度,使产品集中在瓶底边缘。
b.粉末或晶体:建议采用增量法称量,准备合适的干燥容器,天平归零后取产品放至容器内,得出容器中用于配制标准溶液的物质重量。
北五加皮苷N39946-41-3c.粘稠状或液体:建议采用增量法称量,先称量原产品连瓶一起的重量,再用适当器具移取所需标准品至容器中,称量移取后的产品连瓶重量,其差值为实际用于配制标准溶液的重量。
d.如果瓶盖上粘有物质,可以在减量法称量时连瓶盖一起称量,移取产品时注意使用干燥的器具
bFGF-4 ELISA Kit PTPN7 Antibody (Clone#OTI3B10)
NAP-2/CXCL7 ELISA Kit ALDH16A1 Antibody (Clone#28A00)
HGF ELISA Kit IL-1RA/IL1RN Antibody (Clone#OTI2D2)
bFGF-6 ELISA Kit EIF2AK4 Antibody
bFGF-9 ELISA Kit PAGE1 Antibody (Clone#OTI3E7)
FN ELISA Kit TPSAB1 Antibody
FK ELISA Kit PSMA5 Antibody (Clone#426CT8.5.1)
G-CSF ELISA Kit DEF8 Antibody (Clone#OTI4B6)
GDNF ELISA Kit Parathyroid Hormone/PTH Antibody (Clone#2C7)
HGH ELISA Kit NSD3 Antibody (Clone#OTI1F11)
GM-CSF ELISA Kit Glutamine Synthetase/GLUL Antibody (Clone#OTI1F4)
gp130 ELISA Kit MT1-MMP/MMP14 Antibody
BMP-4 ELISA Kit TLN2 Antibody
ICAM-1/CD54 ELISA Kit A Antibody (Clone#OTI4H4)
IFN-γ ELISA Kit Desmoplakin/DSP Antibody (Clone#22D49)
IGF-1 ELISA Kit PAK2 Antibody
IGF-2 ELISA Kit DPP9 Antibody (Clone#OTI1G9)
IGFBP-1 ELISA Kit UQCRFS1 Antibody (Clone#19U18)
风险提示:丁香通仅作为第三方平台,为商家信息发布提供平台空间。用户咨询产品时请注意保护个人信息及财产安全,合理判断,谨慎选购商品,商家和用户对交易行为负责。对于医疗器械类产品,请先查证核实企业经营资质和医疗器械产品注册证情况。
技术资料暂无技术资料 索取技术资料
北五加皮苷N39946-41-3
¥500 - 3800









