相关产品推荐更多 >
万千商家帮你免费找货
0 人在求购买到急需产品
- 详细信息
- 文献和实验
- 技术资料
- 保存条件:
-20℃
- 保质期:
12个月
- 英文名:
5-Bromo-4-chloro-3-indolyl phosphate disodium salt; BCIP-2Na
- 库存:
100
- 供应商:
西宝生物400-021-8158
- 规格:
250mg/1g/5g
| 规格: | 250mg | 产品价格: | ¥600.0 |
|---|---|---|---|
| 规格: | 1g | 产品价格: | ¥1920.0 |
| 规格: | 5g | 产品价格: | ¥6740.0 |
基础信息
| 中文名 | 5-溴-4-氯-3-吲哚磷酸二钠盐(BCIP-2Na) |
| 英文名 | 5-Bromo-4-chloro-3-indolyl phosphate disodium salt |
| CAS | 102185-33-1 |
| 分子式 | C8H4BrClNO4PNa2 |
| 分子量 | 370.43 |
产品介绍
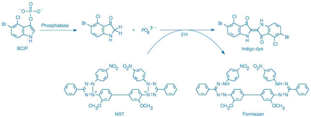
碱性磷酸酶(Alkaline phospharase, ALP)与骨骼、肝脏等人类疾病的发生有关,是体外诊断试剂中常用的标记酶之一。ALP测定方法主要是比色法和连续监测法。5-溴-4-氯-3-吲哚磷酸二钠盐已用于检测蛋白-抗体复合物。还用于碱性磷酸酶组化分析的组织染色。
本产品为略带有黄色的粉末。不溶于水,溶解于DMF(二甲基甲酰胺),在DMF中的溶解度可达20mg/ml。溶于DMF后呈微黄色,并略带绿色。
5-溴-4-氯-3-吲哚磷酸二钠盐(BCIP)是常用的碱性磷酸酶检测用底物,与NBT联用更佳。在碱性磷酸酯酶的催化下,BCIP会被水解产生强反应性产物,该产物又与NBT(氯化硝基四氮唑兰)发生反应,形成不溶性的深蓝色至蓝紫色的NBT-formazan,从而达到标记作用。NBT/BCIP染色试剂盒用于蛋白印迹和免疫组化等染色。

用于碱性磷酸酶标记分子比色检测的有 5-溴-4-氯-3-吲哚磷酸 (BCIP) 和硝基四氮唑蓝 (NBT)。BCIP/NBT 底物系统功能多样,可用于多种应用,包括 Northern、Southern 和 Western 印迹、原位杂交和免疫组化。
BCIP 有两种盐形式:溶于水的二钠盐和溶于二甲基甲酰胺的对甲苯胺形式。这些盐形式可用于制备与 NBT 和反应缓冲液结合形成碱性磷酸酶底物溶液的储备液。该底物系统与碱性磷酸酶共同孵育时,会产生一种不溶性的 NBT 二甲苯胺产物,该产物的紫色易于观察。为方便起见,BCIP 和 NBT 的混合物以易于溶解的片剂形式或即用型液体形式提供。
安全信息
个人防护装备:Eyeshields, Gloves, type N95 (US)
RIDADR:NONH for all modes of transport
WGK Germany:WGK 3
闪点(F):Not applicable
闪点(C):Not applicable
质量指标
| 含量 | ≥98.0% |
| 溶解性(20mg/mL aq.) | 澄清溶液 |
| 外观 | 淡白色晶体 |
风险提示:丁香通仅作为第三方平台,为商家信息发布提供平台空间。用户咨询产品时请注意保护个人信息及财产安全,合理判断,谨慎选购商品,商家和用户对交易行为负责。对于医疗器械类产品,请先查证核实企业经营资质和医疗器械产品注册证情况。
文献和实验BCIP溶液 【配制方法】 把0.5g的5-溴-4-氯-3-吲哚磷酸二钠盐(BCIP)溶解于10ml 100%的二甲基甲酰胺中,保存于4℃ (责任编辑:大汉昆仑王)
-HCl,1 mmol/L EDTA。 (10)NTE缓冲液:500 mmol/L NaCl,10 mmol/L Tris-HCl,1 mmol/L EDTA pH8.0 (11) 预杂交缓冲液:含50%去离子甲酰胺的4×SSC (12)NBT/BCIP液:(NBT:氯化氮四唑蓝,BCIP:5-溴-4-氯-3-吲哚磷酸二钠盐) A、将10 mg NBT溶于200 ml 二甲基甲酰胺中。 B、于37℃加入1ml底物缓冲液(50 mmol/L Tris HCl PH
可在4℃保存数周。 7 . BCIP 溶液 【配制方法】 把0.5g的5-溴-4-氯-3-吲哚磷酸二钠盐(BCIP)溶解于10ml 100%的二甲基甲酰胺中,保存于4℃ 8 . 2×BES 缓冲盐溶液 【配制方法】 用总体积90ml的蒸馏水溶解1.07g盐溶液BES[N,N-双(2-羟乙基)-2-氨基乙磺酸]、1.6g NaCl和0.027g Na 2 HPO 4 ,室温
技术资料暂无技术资料 索取技术资料











