相关产品推荐更多 >
万千商家帮你免费找货
0 人在求购买到急需产品
- 详细信息
- 询价记录
- 文献和实验
- 技术资料
- 库存:
999
- 英文名:
Dextran-CHO
- 保质期:
一年
- 供应商:
深圳市魅罗科技有限公司
- 保存条件:
﹣20°保存
- 规格:
50mg
关键产品信息
中文名称:醛基功能化葡聚糖
简称 : Dextran-CHO
品牌: 魅罗科技(MeloPEG)
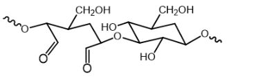
结构
纯度:95%
注意事项
保持干燥
存储条件
-20℃以下冰冻、干燥
应用
Dextran-CHO(醛基功能化葡聚糖)是通过在葡聚糖分子上引入醛基(-CHO)来制备的。醛基是一种具有显著反应性的官能团,使得Dextran-CHO在多种生物医学应用中具有特殊的用途,特别是在生物分子的修饰和交联方面。
醛基的特点
反应性:醛基是一种高度活跃的化学官能团,可以通过与氨基(形成席夫碱)或其他核性试剂(如肼或亚硫酸氢盐)的反应进行交联或修饰。
亲水性:醛基通常增加了分子的极性和亲水性,这影响了其在水溶液中的行为及与生物大分子的相互作用。
易形成缩合产物:醛基容易与氨基形成席夫碱或与醇发生缩合反应,生成稳定的共价键,这在合成化学和生物分子修饰中非常重要。
Dextran-CHO在生物分子交联剂中的作用
蛋白质和酶的固定化:Dextran-CHO可以用于固定化蛋白质、酶或其他功能性生物分子。通过与这些分子上的氨基反应,形成席夫碱,可以将它们稳定地固定在支架或载体上,这在酶反应器或生物传感器的制备中非常有用。
细胞黏附和生物支架:在组织工程中,Dextran-CHO可以作为构建支架的材料,用于增强细胞的黏附和生长,特别是通过交联促进细胞外基质组分的结合。
相关目录:
Dextran-CHO 葡聚糖-醛基
PluronicF127-CHO 聚醚F127二醛基
CHO-HA 醛基-透明质酸
Dextran-MA 甲基丙烯酰-葡聚糖
Dextran-RB 葡聚糖-罗丹明
Dextran-FITC 葡聚糖-荧光素
风险提示:丁香通仅作为第三方平台,为商家信息发布提供平台空间。用户咨询产品时请注意保护个人信息及财产安全,合理判断,谨慎选购商品,商家和用户对交易行为负责。对于医疗器械类产品,请先查证核实企业经营资质和医疗器械产品注册证情况。
- 作者
- 内容
- 询问日期
文献和实验[1]为细菌性多糖之一。是由在蔗糖溶液中培养的细菌 [肠膜明串珠菌( Leuconostoc mesentero-des),葡聚糖明串珠菌( L. dextranicum) ]的葡聚糖蔗糖酶催化下列反应而生成的: n蔗糖→葡聚糖 n果糖。 在氧化葡糖杆菌工业亚种( Gluconobacter ox-ydans subsp. industrius) [以前将含有这种物质的菌称为粘稠醋杆菌( Acetobacter viscosum)和荚膜醋杆菌( A. capsulatum) ]中
DEAE-Dextran Transfection of Mammalian Cultured Cells
DEAE-dextran transfection is one of the oldest chemical, nonviral methods developed to transfer RNA or DNA to cultured mammalian cells (1 ,2 ). Early transfection studies used viral RNA (1 ) and DNA (2 ), which were easy to propagate
Use of Charged PEG and Dextran Derivatives for Biomolecule Partitioning
(PEG)-dextran systems, PEG has been used as the carrier of ion charge (1 ). This molecule has two functional groups-the two terminal hydroxyl groups-that can be used for introducing the charged elements. number of ways to synthesize such derivatives
技术资料暂无技术资料 索取技术资料










