相关产品推荐更多 >
万千商家帮你免费找货
0 人在求购买到急需产品
- 详细信息
- 文献和实验
- 技术资料
- 库存:
999
- 英文名:
Cy7-Chitosan
- 保质期:
一年
- 供应商:
深圳市魅罗科技有限公司
- 保存条件:
-20°保存
- 规格:
50mg
关键产品信息
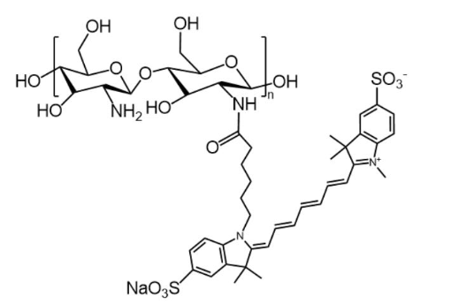
中文名称:花菁染料Cy7-壳聚糖
简称 : Cy7-Chitosan
品牌: 魅罗科技(MeloPEG)
结构
纯度:97%
注意事项
保持干燥
存储条件
-20℃以下冰冻、干燥
应用
Cy7-Chitosan,即Cy7花青染料标记的壳聚糖,是一个极具前景的生物医学材料,特别适合于深层组织的荧光成像应用。这种材料结合了壳聚糖的生物兼容性和生物可降解性以及Cy7的优异成像特性,为医学研究和临床诊断提供了一个强大的工具。
以下是Cy7-Chitosan在深层组织荧光成像方面的一些关键应用:
1. 肿瘤成像
在肿瘤成像领域,Cy7-Chitosan可以被用来标识和监视肿瘤细胞。由于Cy7的近红外光波长能够深入组织,这使得它能够在体内进行深层肿瘤细胞的成像,从而帮助医生确定肿瘤的位置和大小。这种成像技术对于评估肿瘤的生长动态及响应治疗非常有用,尤其是在手术前的规划和评估中。
2. 跟踪药物递送
Cy7-Chitosan作为药物载体,可以有效追踪药物在体内的分布情况。Cy7提供的荧光信号使得研究者可以直观地看到药物递送的过程和效果,特别是在达到深层组织或难以触及部位时的表现。这对于开发新的治疗方案以及优化已有的药物递送系统非常有价值。
3. 诊断和手术导航
在手术操作中,Cy7-Chitosan可以作为一种重要的工具来辅助诊断和导航。通过提供关于疾病组织(如癌症组织)的清晰、深入的视图,它可以帮助外科医生更精确地定位病变部位,并在手术中提供实时的视觉辅助,从而提高手术的精确性和安全性。
4.炎症和感染的识别
利用Cy7-Chitosan进行成像还可以帮助医生识别和监视体内炎症和感染的位置和严重程度。由于炎症部位通常会有更高的代谢活性和血流量,Cy7-Chitosan可以通过其特有的荧光性能,对这些区域进行有效标记和可视化。
相关目录:
Chitosan-Cy7 壳聚糖-CY7
Heparin-CY7 肝素-CY7
Dextran-CY7 葡聚糖-CY7
HA-CY7 透明质酸-CY7
PluronicF127-Cy7 Cy7-聚醚F127
Cy7-HA-Biotin Cy7-生物素-透明质酸
Cy7-HA-MA Cy7-甲基丙烯酸酯-透明质酸
风险提示:丁香通仅作为第三方平台,为商家信息发布提供平台空间。用户咨询产品时请注意保护个人信息及财产安全,合理判断,谨慎选购商品,商家和用户对交易行为负责。对于医疗器械类产品,请先查证核实企业经营资质和医疗器械产品注册证情况。
文献和实验Chitosan Nanoparticle-Mediated Gene Transfer
-based therapeutics are the major drawbacks of gene therapy. Viral and nonviral gene transfer vectors have been developed to facilitate the cellular internalization and preserve their activity until the successful transgene expression. Chitosan, a natural
Enzyme Immobilization Using Chitosan-Xanthan Complexes
of polycations, and complexation between polyanions and polycations (7 –11 ). In this chapter, we describe novel hydrogels prepared from naturally occurring polymers, namely chitosan and xanthan.
Synthesis and Characterization of Chitosan Scaffolds for Cartilage-Tissue Engineering
usually involves decalcification, deproteination, and decolorization, which may be accomplished by sequential treatment in 5% HCl solution, 5% NaOH, and 0.5%KMnO4 (aq) and oxalic acid. Chitosan , poly(N -acetyl-2-amino-2-deoxy-d -Gluco-pyranose
技术资料暂无技术资料 索取技术资料









