万千商家帮你免费找货
0 人在求购买到急需产品
- 详细信息
- 文献和实验
- 技术资料
- 现货状态:
有现货
- 产品用途:
索玛鲁肽侧链原料,可用于合成索玛鲁肽
- 曾用名:
索玛鲁肽侧链
- 供应商:
厦门赛诺邦格
- 库存:
大量
- 英文名:
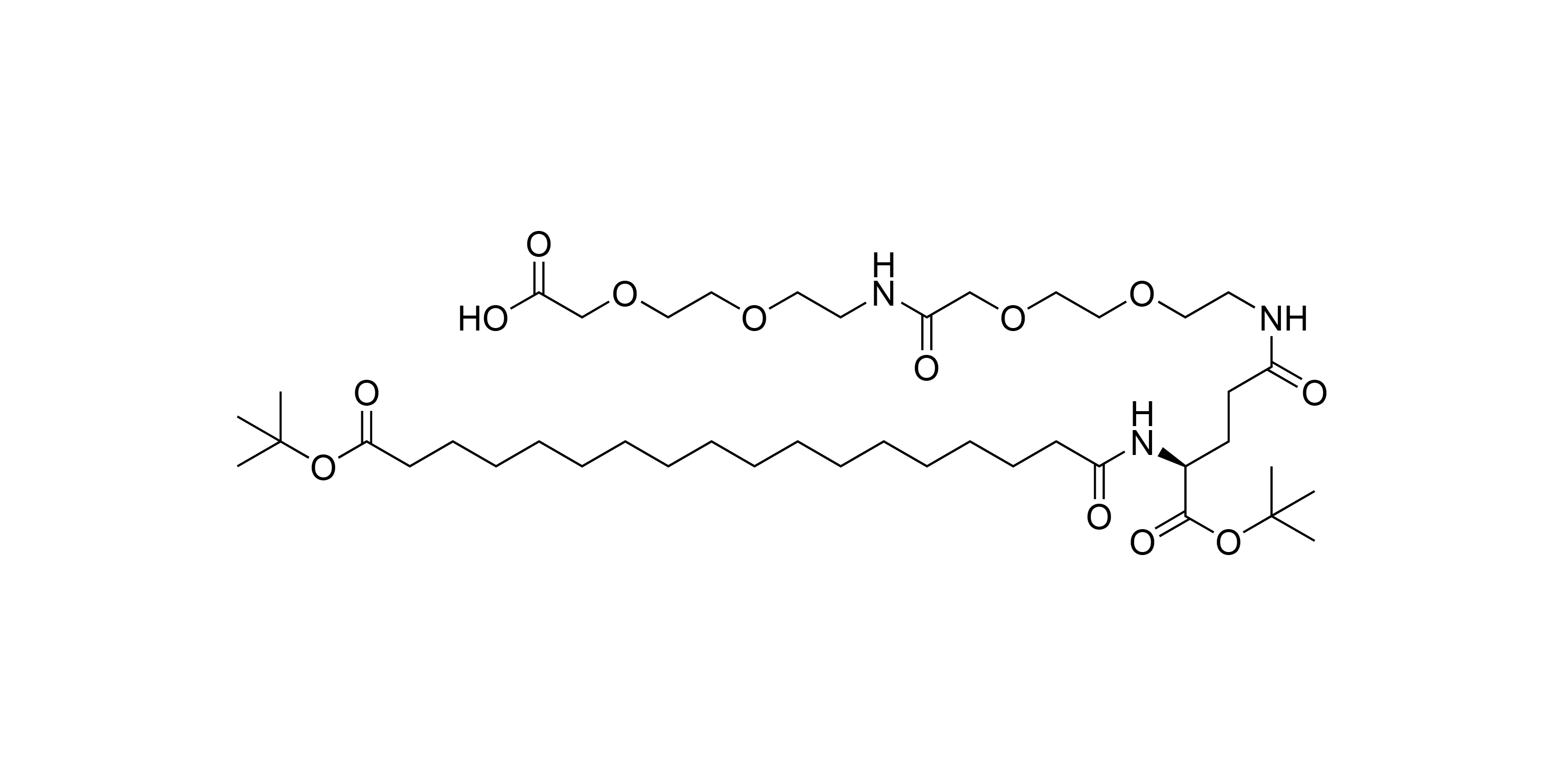
tBuO-Ste-Glu(AEEA-AEEA-OH)-OtBu
厦门赛诺邦格生物科技股份有限公司致力于药物释放系统工作,总部位于中国厦门。除此之外,赛诺邦格也涉足长效药物研发以及血糖控制类药物修饰剂、嵌段共聚物、磷脂等的研发、生产与销售。公司主营产品:聚乙二醇衍生物,索玛鲁肽侧链,利拉鲁肽侧链,德谷胰岛素侧链,地特胰岛素侧链,聚谷氨酸,聚乙二醇磷脂,AEEA,AEEA-AEEA,Fmoc-AEEA-AEEA等。

中文名称:索玛鲁肽羧酸修饰剂
英文简称:tBuO-Ste-Glu(AEEA-AEEA-OH)-OtBu
CAS号:1118767-16-0
风险提示:丁香通仅作为第三方平台,为商家信息发布提供平台空间。用户咨询产品时请注意保护个人信息及财产安全,合理判断,谨慎选购商品,商家和用户对交易行为负责。对于医疗器械类产品,请先查证核实企业经营资质和医疗器械产品注册证情况。
文献和实验在20种构成蛋白质的常见氨基酸中,只有具有极性的氨基酸残基的侧链基团才能够进行化学修饰。常用的反应氨基酸包括赖氨酸、半胱氨酸、组氨酸、精氨酸、天冬氨酸、谷氨酸、丝氨酸、苏氨酸、酪氨酸,N-端氨基和C-端羧基。这些氨基酸残基上的反应性基团多呈亲核性,其亲核活性通常按下列顺序依次递减:巯基>alpha氨基>E氨基>羧基(羧酸盐)>羟基。根据化学修饰剂与蛋白质之间反应性质的不同,修饰反应主要分为酰化反应、烷基化反应、氧化还原反应、芳香环取代反应等类型,对蛋白质进行氨基、巯基和羧基等侧链基团进行
,只有具有极性的氨基酸残基的侧链基团才能够进行化学修饰。常用的反应氨基酸包括赖氨酸、半胱氨酸、组氨酸、精氨酸、天冬氨酸、谷氨酸、丝氨酸、苏氨酸、酪氨酸,N-端氨基和C-端羧基。这些氨基酸残基上的反应性基团多呈亲核性,其亲核活性通常按下列顺序依次递减:巯基>氨基>氨基>羧基(羧酸盐)>羟基。根据化学修饰剂与蛋白质之间反应性质的不同,修饰反应主要分为酰化反应、烷基化反应、氧化还原反应、芳香环取代反应等类型,对蛋白质进行氨基、巯基和羧基等侧链基团进行化学修饰。巯基通常存在于蛋白质的二硫键和活性
基酸残基的侧链基团才能够进行化学修饰。常用的反应氨基酸包括赖氨酸、半胱氨酸、组氨酸、精氨酸、天冬氨酸、谷氨酸、丝氨酸、苏氨酸、酪氨酸,N-端氨基和C-端羧基。这些氨基酸残基上的反应性基团多呈亲核性,其亲核活性通常按下列顺序依次递减:巯基>氨基>氨基>羧基(羧酸盐)>羟基。根据化学修饰剂与蛋白质之间反应性质的不同,修饰反应主要分为酰化反应、烷基化反应、氧化还原反应、芳香环取代反应等类型,对蛋白质进行氨基、巯基和羧基等侧链基团进行化学修饰。巯基通常存在于蛋白质的二硫键和活性位点上,而羧基如果不与蛋白
技术资料暂无技术资料 索取技术资料










