万千商家帮你免费找货
0 人在求购买到急需产品
- 详细信息
- 文献和实验
- 技术资料
- 现货状态:
有现货
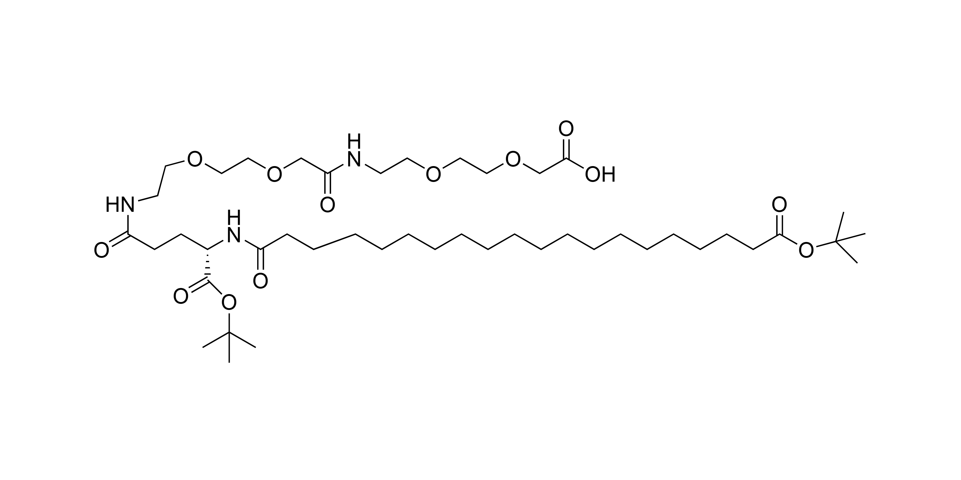
- 产品用途:
替尔泊肽侧链原料,可用于合成替尔泊肽
- 曾用名:
C20脂肪酸侧链
- 供应商:
厦门赛诺邦格
- 库存:
大量
- 英文名:
tBuO-Ara-Glu(AEEA-AEEA-OH)-OtBu
赛诺邦格主要致力于药物递送(DDS)和医用新材料业务,拥有雄厚的技术储备及高水平的团队,研发并生产高品质聚乙二醇、聚乙二醇衍生物、嵌段共聚物、血糖控制类药物修饰剂、LNP脂质辅料、siRNA靶向修饰剂、ADC和ProTAC linker等。

中文名称:C20脂肪酸侧链,C20脂肪酸侧链
英文简称:tBuO-Ara-Glu(AEEA-AEEA-OH)-OtBu
CAS号:1188328-37-1
该产品具有完善的质量研究管理体系文件,可满足客户的临床申报需求。
风险提示:丁香通仅作为第三方平台,为商家信息发布提供平台空间。用户咨询产品时请注意保护个人信息及财产安全,合理判断,谨慎选购商品,商家和用户对交易行为负责。对于医疗器械类产品,请先查证核实企业经营资质和医疗器械产品注册证情况。
文献和实验异戊二烯五碳单位(饱和的或部分饱和的五碳支链化合物)的聚合物。因其不含脂肪酸成分,故属非皂化性脂质,亦称类异戊二烯或异戊烯脂质。此外还有由异戊二烯聚合链通过碳 -碳键与其他成分结合组成的条合异戊烯脂质。 主要根据异戊二烯的数目分类。两个异戊二烯构成单萜( C10 ),三个异戊二烯构成倍半萜( C15 );四个异戊二烯构成二萜( C20 ),还有三萜( C30 ),四萜( C40 )和含有 700~ 5000个异戊二烯的多萜。五碳单位之间多为“头 -尾
蛋白质组是动态的,随着大量刺激的变化而变化,翻译后修饰常用于调节细胞活性。PTM 发生在不同的氨基酸侧链或肽键上,它们通常由酶活性介导。事实上,据估计,5% 的蛋白质组包含 200 多种类型翻译后修饰的酶。这些酶包括激酶、磷酸酶、转移酶和连接酶,它们在氨基酸侧链上添加或移除功能组、蛋白质、脂质或糖;以及蛋白酶,它们切割肽键以移除特定序列或调节亚基。许多蛋白质也可以利用自催化结构域,如自激酶和自蛋白分解结构域进行自我修饰。翻译后修饰可以发生在蛋白质生命周期的任何阶段。例如,许多蛋白质在翻译完成后不久就被修饰
-与-NH3+间在极性介质水中的相互作用力,仅为在蛋白质分子内部非极性环境中的1/20,在真空中的1/80。 (五)、疏水相互作用 疏水相互作用(hydrophobic interaction)比范德华力强得多。例如,一个苯丙氨酸侧链由水相转入疏水相时,体系的能量降低约40kj/mol。 生物分子有许多结构部分具有疏水性质,如蛋白质的疏水氨基酸侧链,核酸的碱基,脂肪酸的烃链等。它们之间的疏水相互作用,在稳定蛋白质,核酸的高层次结构和形成生物膜中发挥着主导作用。top 第四
技术资料暂无技术资料 索取技术资料










