相关产品推荐更多 >
万千商家帮你免费找货
0 人在求购买到急需产品
- 详细信息
- 文献和实验
- 技术资料
- 现货状态:
有现货
- 产品用途:
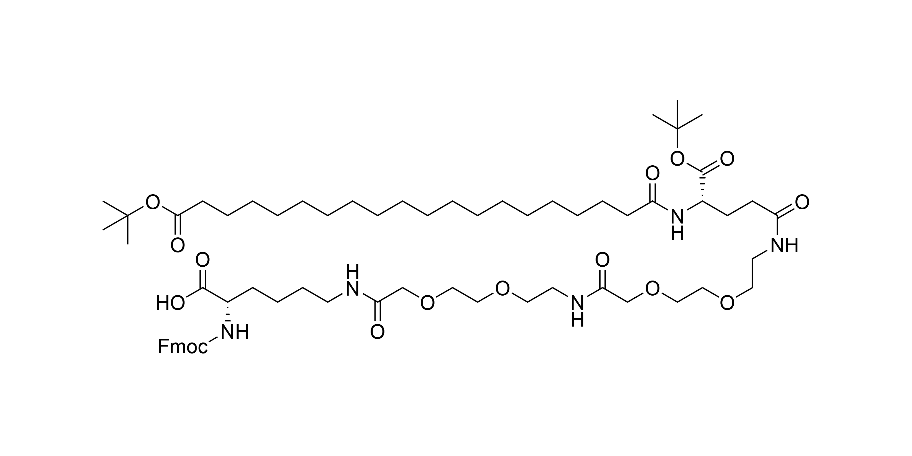
替尔泊肽侧链原料,可用于合成替尔泊肽
- 曾用名:
替尔泊肽侧链
- 供应商:
厦门赛诺邦格
- 库存:
大量
- 英文名:
Fmoc-Lys(tBuO-Ara-Glu(AEEA-AEEA)-OtBu)-OH
厦门赛诺邦格生物科技股份有限公司致力于药物释放系统工作,总部位于中国厦门。除此之外,赛诺邦格也涉足长效药物研发以及血糖控制类药物修饰剂、嵌段共聚物、磷脂等的研发、生产与销售。公司主营产品:聚乙二醇衍生物,索玛鲁肽侧链,利拉鲁肽侧链,德谷胰岛素侧链,地特胰岛素侧链,聚谷氨酸,聚乙二醇磷脂,AEEA,AEEA-AEEA,Fmoc-AEEA-AEEA等。

中文名称:替尔泊肽侧链
英文简称:Fmoc-Lys(tBuO-Ara-Glu(AEEA-AEEA)-OtBu)-OH
CAS号:2915356-76-0
该产品具有完善的质量研究管理体系文件,可满足客户的临床申报需求。
风险提示:丁香通仅作为第三方平台,为商家信息发布提供平台空间。用户咨询产品时请注意保护个人信息及财产安全,合理判断,谨慎选购商品,商家和用户对交易行为负责。对于医疗器械类产品,请先查证核实企业经营资质和医疗器械产品注册证情况。
文献和实验胆甾醇的侧链切断酶系 cholesterol side-chain cleavage enzymes
该酶系存在于肾上腺、睾丸、胎盘等的线粒体组分中,是胆甾醇的侧链 20S和 22R的位置羟化后,再将 20位与 22位间切断,而生物合成娠烯醇酮的酶系。所以该酶系是由 20S和 22R的羟化酶和 C20 、 C22 的裂解酶所组成。三种酶都需要分子态氧和 NADPH,含有 P- 450。可与同样存在于肾上腺中的 11β -羟化酶而被提纯。也称为娠烯醇酮合成酶,是支配类固醇激素生物合成的规则迅速进行阶段的重要酶素。
P. Ehrlich( 1900)为说明抗毒素生成而提出的免疫理论。即在细胞膜表面为了摄取营养而存在着各种受体( receptor),毒素一当与这些受体中的某一个偶然结合,则成为刺激,此时细胞过多复制并 向体液中释放的游离受体,即为抗毒素。后来这个学说被否定,为铸型说所代替。而现在则被评价为对选择学说起前躯作用的一个学说。
大鼠P450侧链裂解酶(P450 scc)ELISA试剂盒 说明书
上海西唐生物科技有限公司 021-55229872, 65333639 www.westang.com 大鼠 P450 侧链裂解酶 (P450 scc)ELISA 试剂盒 ( 用于血清、血浆、细胞培养上清液和其它生物体液内 ) 原理 本实验采用双抗体夹心 ABC-ELISA 法。用抗大鼠 P450 scc 单抗包被于酶标板上,标准品和样品中的 P450 scc 与单抗结合,加入生物素化的抗大
技术资料暂无技术资料 索取技术资料










