相关产品推荐更多 >
万千商家帮你免费找货
0 人在求购买到急需产品
- 详细信息
- 文献和实验
- 技术资料
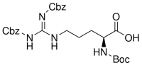
- 英文名:
(R)-Boc-3-methyl-β-Phe-OH
- 库存:
期货
- 供应商:
上海阿拉丁生化科技股份有限公司
- 规格:
R465172-500mg
设定黄金标准,在阿拉丁,我们不仅相信保持质量,而且相信质量。 我们的目标是定义它。 我们的质量管理理念为业界研究试剂建立了高质量的标准。 当您听到阿拉丁这个名字时,就会知道它是各个方面坚定不移品质的灯塔。
中文名:(R)-Boc-3-甲基-β-Phe-OH
英文名:(R)-Boc-3-methyl-β-Phe-OH
纯度:≥98%(HPLC)
cas号:464930-76-5
存储温度:-
运输条件:-
风险提示:丁香通仅作为第三方平台,为商家信息发布提供平台空间。用户咨询产品时请注意保护个人信息及财产安全,合理判断,谨慎选购商品,商家和用户对交易行为负责。对于医疗器械类产品,请先查证核实企业经营资质和医疗器械产品注册证情况。
文献和实验操作条件下,仅有流动相通过检测器系统时所产生的响应信号曲线。 19、基线漂移:基线随时间定向的缓慢变化。 20、基线噪声:由于各种原因而引起的基线波动。 21、统计矩:色谱流出曲线是组分在检测器中浓度或质量依时间的统计分布曲线,响应值对应于分布密度。组分在柱内迁移时间r次幂的数学期望称为流出曲线的r阶原点矩。而组分在柱内迁移时间与平均迁移时间差的r次幂的数学期望称为流出曲线的r阶中点矩。 22、一阶原点矩:组分在柱内迁移时间的数学期望。当流出
terminology of chromatography_HPLC Chromatography
column.The high efficient of HPLC owes to that mostly. 在美国药典里,高效液相叫做加压液相。由于它的高压,我们能使用更小的填料颗粒,更小的柱子。高效相液的高效率主要就是依靠这个。 HPLC like the GC greatly,the concept of N,HETP,R,van Deemter equation can also be used for HPLC.Actually,HPLC mimic GC, pressurized gas
为: N=()2=16()2=5.54()2 N为常量时,W随tR成正比例变化。在一张多组分色谱图上,如果各组分含量相当,则后洗脱的峰比前面的峰要逐渐加宽,峰高则逐渐降低。 用半峰宽计算理论塔数比用峰宽计算更为方便和常用,因为半峰宽更易准确测定,尤其是对稍有拖尾的峰。 N与柱长成正比,柱越长,N越大。用N表示柱效时应注明柱长,如果未注明,则表示柱长为1米时的理论塔板数。(一般HPLC柱的N在1000以上。) 若用调整保留时间(t'R)计算理论塔板数,所得值称为
技术资料暂无技术资料 索取技术资料











