相关产品推荐更多 >
万千商家帮你免费找货
0 人在求购买到急需产品
- 详细信息
- 文献和实验
- 技术资料
- 保存条件:
-20°C储存
- 英文名:
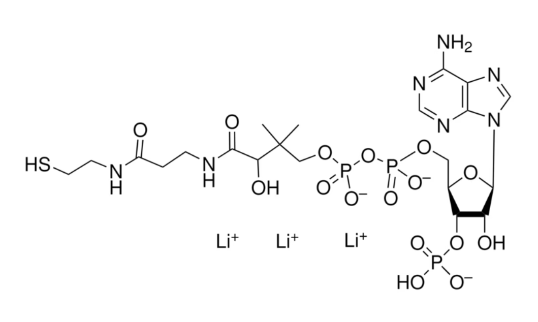
Coenzyme A, Trilithium salt, Hydrate
- 库存:
现货
- 供应商:
上海阿拉丁生化科技股份有限公司
- CAS号:
18439-24-2
- 规格:
C196989-500mg/C196989-100mg
| 规格: | C196989-500mg | 产品价格: | ¥3604.9 |
|---|---|---|---|
| 规格: | C196989-100mg | 产品价格: | ¥1078.9 |
英文名:Coenzyme A, Trilithium salt, Hydrate
纯度或规格:≥75%
SPU:C196989
CAS:18439-24-2
存储温度:-20°C储存
运输条件:超低温运输
查看阿拉丁官网此产品相关对应页面:
风险提示:丁香通仅作为第三方平台,为商家信息发布提供平台空间。用户咨询产品时请注意保护个人信息及财产安全,合理判断,谨慎选购商品,商家和用户对交易行为负责。对于医疗器械类产品,请先查证核实企业经营资质和医疗器械产品注册证情况。
文献和实验广义上是酶的辅基。与酶的蛋白质部分的结合比较弱,处于可逆解离的平衡状态。蛋白质部分(酶蛋白)和辅酶都没有单独催化能力,两者结合才表现出催化能力。辅酶与其酶反应有关,它参与酶的作用底物的化学基团传递,辅酶一般是耐热的有机化合物,甚至可以把它看成是许多酶的共同的底物。这一点可以和单是激活酶的激活剂(activator )区别开来。如果把从酵母抽提出的酿酶(酶的混合物)进行透析,仅用透析内液不能引起发酵作用,但加入透析外液,就可再引起发酵。此外液的有效因子被命名为辅酿酶(辅助酿酶作用的意思
酰基的受体,参与此类基因转移的酶,常简写成CoA。为表示巯基(SH基)的存在,也有写作CoA-SH(结合型是 CoA……,或 CoA-S……)的。李普曼(F.L.Pmann,1947)在研究生物体内的乙酰基化反应中起中心作用的活性乙酸的本质时,发现了含有泛酸的耐热因子,而将之称为辅酶A。以后从肝脏和弗氏链霉菌(Streptomyces fradiae)中被提取精制出来,通过弱氧化醋单胞菌(Acetobac-ter suboxydans)的生物合成,A.R.Todd、J.Ba-ddiley
也可用辅酶型维生素B 12 、辅酶 B 12 等词来表示。是由 5- 脱氧腺苷基取代氰钴胺素( CN - B 12 )中与钴连接的 CN 基而生成的,所以亦称钴胺酰胺辅酶。其中大多数是核苷酸中的碱基为 5 , 6- 二甲(基)苯并咪唑的二甲(基)苯并咪唑钴酰胺辅酶( dimeth - ylbenzimidazole cobamide coenzyme )和钴胺素辅酶,但也有碱基为腺嘌呤或 5- 羟基苯并咪唑所置换的 B 12 辅酶。 B 12 辅酶是 H.Barker 等在研
技术资料暂无技术资料 索取技术资料











