相关产品推荐更多 >
万千商家帮你免费找货
0 人在求购买到急需产品
- 详细信息
- 文献和实验
- 技术资料
- 保存条件:
-20°C储存
- 英文名:
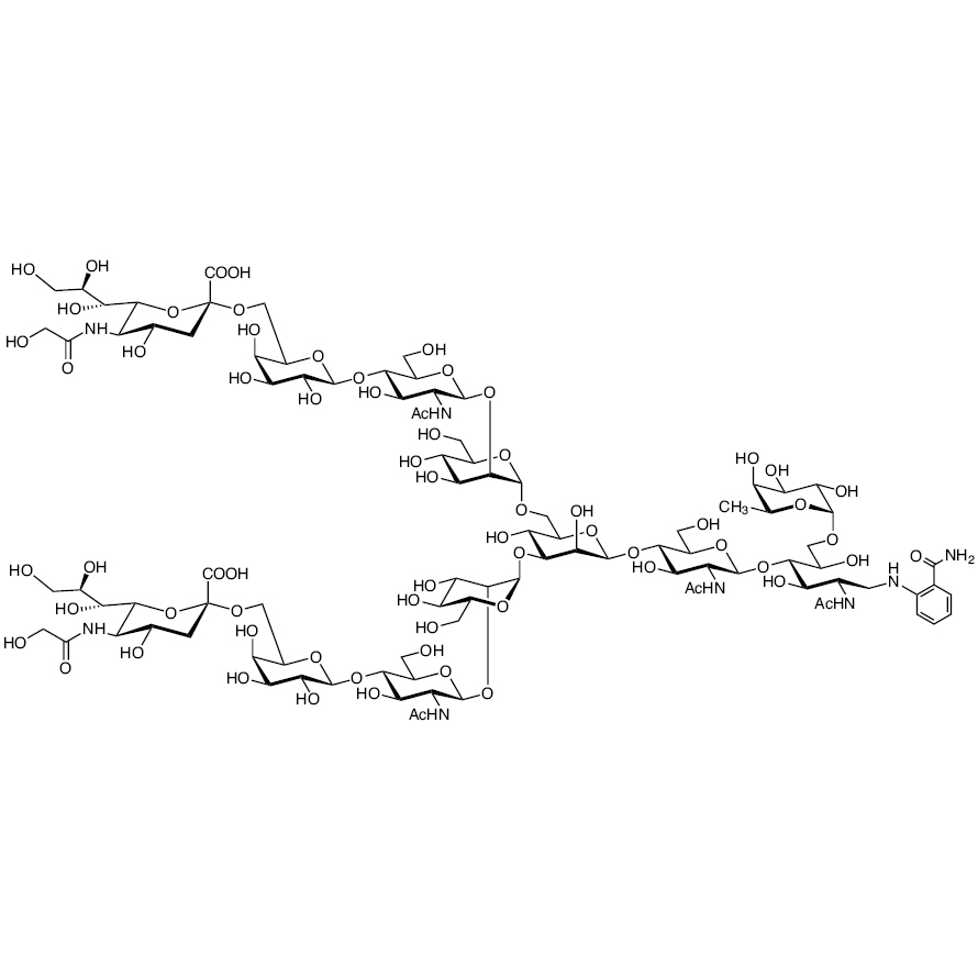
Neu5Gcα(2-6) core 6-Fucosylated N-Glycan 2AB (500pmol/vial)
- 库存:
期货
- 供应商:
上海阿拉丁生化科技股份有限公司
- 规格:
N405862-1EA
英文名:Neu5Gcα(2-6) core 6-Fucosylated N-Glycan 2AB (500pmol/vial)
纯度或规格:≥98%(HPLC)
SPU:N405862
CAS:-
存储温度:-20°C储存
运输条件:超低温运输
查看阿拉丁官网此产品相关对应页面:
风险提示:丁香通仅作为第三方平台,为商家信息发布提供平台空间。用户咨询产品时请注意保护个人信息及财产安全,合理判断,谨慎选购商品,商家和用户对交易行为负责。对于医疗器械类产品,请先查证核实企业经营资质和医疗器械产品注册证情况。
文献和实验【信息】Northstar BioProducts(NSBP)
Germ Agglutinin)-HRP 分子生物学酶和细胞裂解酶(Enzymes for Molecular Biology and Cell Lysis)主要包括:Nuclease (核酸酶)、Reverse Transcriptase, (Avian myeloblastosis virus)(逆转录酶源自禽类成髓细胞瘤病毒)、Zymolyase(裂解酶) 编号 包装 100850-1 Labiase 500 mg (1) -N-acetyl-D
核悬液1/2量的0.1n HCl , 0.5% Triton X-100。室温停留10min。加入IBM-0.25%Triton X-100(IBM配方:50mmol/l KCl, 10mmol/L MgSO4 , 5mmol/L HEPES pH8.0)。再离心,重复IBM漂洗(这时细胞核可在不染色情况下,以荧光显微镜观察)后,以2×SSC-0.1%Tween漂洗1×3min,继之加入等量2%的多聚甲醛在1×PBS-5mmol/l MgSO4 。在室温静置站立10min。倾去上清液,加IBm
agar包括agarose和araropectin,琼脂糖由D-吡喃半乳糖以α-1,3键相连,每9个残基与一个L-吡喃半乳糖以1,4键连接,每53个残基有一个硫酸基。 (四)几丁质 N-乙酰葡萄糖胺以β-1,4糖苷键相连,是甲壳动物的结构多糖,也叫甲壳素。是水中含量最大的有机物。 五、不均一多糖 粘多糖,也叫糖胺聚糖,它与蛋白质结合构成蛋白聚糖,又称粘蛋白。它存在于软骨、腱等结缔组织中,构成组织间质。各种腺体分泌出的起润滑作用的粘液多富含粘多糖。它在组织生长和再生过程中
技术资料暂无技术资料 索取技术资料








![3-环丙基-5H,6H,7H,8H-[1,2,4]三唑[4,3-a]吡嗪,945262-32-8,≥97%,阿拉丁](https://img1.dxycdn.com/p/s14/2024/0619/835/0293363605775523081.jpg!wh200)


