万千商家帮你免费找货
0 人在求购买到急需产品
- 详细信息
- 文献和实验
- 技术资料
- 库存:
53
- 英文名:
Sterebin F
- CAS号:
114489-87-1
- 保质期:
2年
- 供应商:
上海联祖
- 保存条件:
4℃冷藏、密封、避光
- 规格:
5mg/支
对照品系指用于鉴别、检查、含量测定和校正检定仪器性能的标准物质.
标准品系指用于生物检定、抗生素或生物药品中含量或效价测定的标准物质,以效价单位(U)表示。
对照品系指用于生物制品理化等方面测定的特定物质,由 单位采用与制品 工艺相同的方法制备。对照品应尽可能与制品原液配方一致,稳定性较差的,可加不含对测定有干扰物质的适宜的稳定剂。对照品由国家药品检定机构审查认可,其标准应不低于制品的质量标准。
标准品:是指用于鉴别、检查、含量测定的标准物质,均由国务院药品监督管理部门指定的单位制备、标定和供应。标准品系指用于生物测定、抗生素或生化药品中含量或效价测定的标准物质,一国际标准品进行标定;对照品出另有规定外,按干燥进行计算后使用。
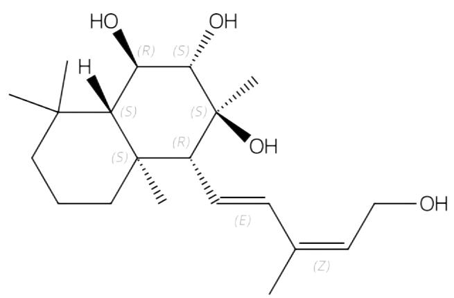
甜菊素F114489-87-1
| 产品中文名称 | 甜菊素F | 英文名 | Sterebin F |
| CAS登录号 | 114489-87-1 | 货号 | LZ-BP0558 |
| 分子式 | C20H34O4 | 纯度 | HPLC≥98% |
| 分子量 | 338.48 | 分析方法 | HPLC-DAD or/and HPLC-ELSD |
| 鉴定方法 | Mass NMR | 规格 | 5mg/支 |
规格:5mg/支
纯度:HPLC≥98%
分析方法: HPLC-DAD or/and HPLC-ELSD
鉴定方法: 质谱(Mass), 核磁(NMR)
贮存条件:4℃冷藏、密封、避光
有效期:2年
供货能力:大量现货
(一)来源:
依照有关规定,中国用于药品成品检验的标准品(对照品)来源有:一是中国药品生物制品检定所提供的标准品(对照品);二是其他国家的标准品(对照品);三是省级以上药品检验所标定,并经同级食 品药品监管局批准的标准品(对照品)。
(二)有效期和使用说明书:
中国药品生物制品检定所提供的标准品(对照品)大部分均无使用说明书和使用期限,大都沿用新的批号出现、旧的批号自动停止的管理方式。
(三)使用过程:
工作标准品(对照品)虽经有关部门认可,但要求有标化日期、复标日期、贮存条件、使用等相关文件规定,并做好相应记录。
(四)验证问题:
按标准品(对照品)管理要求,使用前应对其进行验证,确认无误后方可使用。
(五)开封问题:
对已开封的标准品(对照品)管理方面的问题应做严格的规定,不应同未开封的标准品(对照品)放在一起继续使用,包装上应做好相关标识,说明是否已开封过、何时开封的,内含量等相关信息。
DEFB125 Antibody Blocking Peptide high mobility group protein 17,HMG-17 ELISA Kit
DUSP23 Antibody Blocking Peptide High mobility group protein B1,HMGB-1 ELISA Kit
SIPA1L1 Antibody Blocking Peptide Ultrasensitivity Tri-iodothyronine,u-T3 ELISA Kit
RAB8B Antibody Blocking Peptide Ultrasensitivity Thyroxine,u-T4 ELISA Kit
T4-BSA High density lipoprotein cholesterol,HDL-C ELISA Kit
Pre-X protein (X protein; ) Antibody Blocking Peptide high density lipoprotein 3,HDL3 ELISA Kit
Striatin 4/zinedin Antibody Blocking Peptide High density lipoprotein 2,HDL2 ELISA Kit
HOXC9 Antibody Blocking Peptide High density lipoprotein 1,HDL1 ELISA Kit
KIR2DL2/CD158b Antibody Blocking Peptide High density lipoprotein,HDL ELISA Kit
SIX2 Antibody Blocking Peptide ultrasensitive thyroid-stimulating hormone,U-TSH ELISA Kit
HRASLS2 Antibody Blocking Peptide High Molecular Weight Adiponectin,HMW Adiponectin ELISA Kit
NME2 Antibody Blocking Peptide cytokeratin High Molecular Weight,CK-HMW ELISA Kit
LAMP-3/DC-LAMP/CD208 Antibody Blocking Peptide anti-golgi apparatus antibody,AGAA ELISA Kit
CYP2J2 Antibody Blocking Peptide Homocysteine,HCY ELISA Kit
ACP5 Antibody Blocking Peptide Toxoplasma Gondii,T.gondii ELISA Kit
TLDC2 Antibody Blocking Peptide Stem Cell Factor Receptor,SCFR ELISA Kit
MOSPD3 Antibody Blocking Peptide Stem cell factor/mast cell growth factor,SCF/MGF ELISA Kit
甜菊素F114489-87-1 Peptide Stem cell factor,SCF ELISA Kit
phospho-CDKN1B (Ser178) Antibody Blocking Peptide IFITM1 ELISA kit
风险提示:丁香通仅作为第三方平台,为商家信息发布提供平台空间。用户咨询产品时请注意保护个人信息及财产安全,合理判断,谨慎选购商品,商家和用户对交易行为负责。对于医疗器械类产品,请先查证核实企业经营资质和医疗器械产品注册证情况。
文献和实验代,△F为19%,代入公式,则 F10=1-(1-0.19)10=1-(0.81)10=1-0.1216=0.8784=87.84% 也就是说繁殖到第10代时,纯度可达到87.84%,还有12.16%是杂合的。由于交配方式不同,其△F也各不相同,同胞兄妹交配△F为19.1%,同父异母交配11.0%,回交(亲子交配)19.1%,堂兄妹交配为8%。全同胞兄妹或亲子交配前20代的近交系数计算状况可见表3-2。 表3-2 Felconer近亲系数表 代 数 F
丝状噬菌体的基因与蛋白质丝状噬菌体(filamentousphage)是一类大肠杆菌的噬菌体,细丝状,直径约6nm,长度约1um。用于噬菌体肽库展示的主要是Ff组的M13、f1、fd等噬菌体,这3类噬菌体的亲缘关系十分密切,核酸序列有98%以上的同源性,病毒粒子的大小和结构非常相似,生活周期也相同。这些噬菌体为雄性特异性噬菌体,只能感染有F性因子或F,因子的雄性大肠杆菌菌株,但噬菌体的基因组能够转化无F因子的大肠杆菌。噬菌体基因组为环状单链DNA分子,野生型噬菌体则由6 408个核苷酸组成
网络 附表 8 (1)F值表(方差分析用) P=0.05 r 2 r 1 (较大均方的自由度) r 2 1 2 3 4 5 6 7 8 9 10 12 14 16 18 20 1 161
技术资料暂无技术资料 索取技术资料










