万千商家帮你免费找货
0 人在求购买到急需产品
- 详细信息
- 技术资料
- 库存:
36
- CAS号:
2491-20-5
- 供应商:
上海联祖
- 保存条件:
-20度冻存
- 规格:
25g,100g,500g,1kg
生化实验的注意事项有哪些?
1.进入实验室要穿戴好实验服,实验帽,头套,手套,护目镜,口罩,实验鞋,不仅是为了避免污染,也是为了防止化学试剂对实验者造成伤害。
2.进行实验前,要了解实验原理,实验操作步骤以及实验注意事项;此外还要熟悉实验室各仪器设备的SOP,防止操作不当对实验者和实验造成伤害和损失。
3.熟悉各种生化试剂的MSDS,设置专用废液桶用来收集废液,对垃圾进行分类,并常开排风扇。
4.对于菌类实验,要做好灭菌处理,防止污染外部环境。
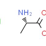
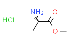
丙氨酸甲酯盐酸盐
商品属性:
| CAS No | 2491-20-5 | 分子式 | C4H10ClNO2 |
| 分子量 | 139.58 | 规格 | 25g,100g,500g,1kg |
| 货号 | LZ-SJ11963 | 纯度 | 98% |
中文别名:丙氨酸甲脂盐酸盐; L-丙氨酸甲脂盐酸盐; 丙氨酸甲酯盐酸盐; 丙氨酸甲酯盐酸盐; L-丙胺酸甲酯盐酸盐; (S)-2-氨基甲酯盐酸盐; 盐酸 L-丙氨酸甲酯;
英文别名:l L-alaninate hydrochloride
CAS No.:2491-20-5
分子式:C4H10ClNO2
分子量:139.58
危险品标志:Xi
精确质量:139.04
PSA:52.32
LogP:1.0089
熔点:109-111?°C(lit.)
沸点:101.5oC at 760 mmHg
折射率:6.5 ° (C=2, MeOH)
海关编码:2922499990
储存条件:RT
公司正在出售的产品:
| C2orf44 Antibody Blocking Peptide | Anti-SAMHD1 Antibody |
| FUT4 Antibody Blocking Peptide | Anti-Acetyl-Alpha Tubulin/TUBA1B (Lys40) Antibody (Clone#OTI3H2) |
| PIK3CG Antibody Blocking Peptide | Anti-TBXAS1 Antibody (Clone#24T21) |
| SH2D2A Antibody Blocking Peptide | Anti-PNK/PNKP Antibody (Clone#30P00) |
| BLVRA Antibody Blocking Peptide | Anti-PRR7 Purified Antibody (Clone#TRAP3/10) |
| Phospho-CD18 (Ser756) Antibody Blocking Peptide | Anti-RB1 (Phospho-S807) Antibody (Clone#OTI11C10) |
| AKR1D1 Antibody Blocking Peptide | Anti-Prolactin/PRL Antibody (Clone#OTI9D12) |
| CMTM2 Antibody Blocking Peptide | Anti-Phosphoserine/PSPH Antibody (Clone#PSR-45) |
| sox9a Antibody Blocking Peptide | Anti-Septin 1/SEPTIN1 Antibody (Clone#OTI1E1) |
| C3a Receptor Antibody Blocking Peptide | Anti-WRAP53 Antibody |
| NEU1/Neuraminidase Antibody Blocking Peptide | Anti-CDK1 Antibody |
| CCL13 Antibody Blocking Peptide | Anti-SOX9 Antibody |
| GPI Antibody Blocking Peptide | Anti-VCAM1 Antibody |
| EXD2 Antibody Blocking Peptide | Anti-LUZP4 Antibody (Clone#OTI6D11) |
| C22orf39 Antibody Blocking Peptide | Anti-GPI Antibody (Clone#OTI5G9) |
生化试剂质量标准流程及操作:
丙氨酸甲酯盐酸盐根据化学试剂纯度及杂质含量的多少,可将分为以下几个等级。
(1)优级纯试剂(GR) 亦称保证试剂,为一级品,纯度高,杂质极少,主要用于精密分析和科学研究,常以GR表示。
(2)分析纯试剂(AR) 亦称分析试剂,为二级品,纯度略低于优级纯,杂质含量略高于优级纯,适用于重要分析和一般性研究工作,常以AR表示。
(3)化学纯试剂(CP) 为三级品,纯度较分析纯差,但高于实验试剂,适用于工厂、学校一般性的分析工作,常以CP表示。
(4)实验试剂(LR) 为四级品,纯度比化学纯差,但比工业品纯度高,主要用于一般化学实验,不能用于分析工作,常以 LR表示。
风险提示:丁香通仅作为第三方平台,为商家信息发布提供平台空间。用户咨询产品时请注意保护个人信息及财产安全,合理判断,谨慎选购商品,商家和用户对交易行为负责。对于医疗器械类产品,请先查证核实企业经营资质和医疗器械产品注册证情况。
技术资料暂无技术资料 索取技术资料
丙氨酸甲酯盐酸盐
¥200 - 3200










