相关产品推荐更多 >
万千商家帮你免费找货
0 人在求购买到急需产品
- 详细信息
- 文献和实验
- 技术资料
- 库存:
充足
- 保质期:
-20ºC避光保存,至少两年有效。
- 供应商:
上海碧云天生物技术有限公司
- 保存条件:
-20ºC避光保存,至少两年有效。
- 规格:
50μg/250μg
| 规格: | 50μg | 产品价格: | ¥398.0 |
|---|---|---|---|
| 规格: | 250μg | 产品价格: | ¥1658.0 |
Mito-Tracker Deep Red FM (线粒体远红外荧光探针),是一种具有细胞通透性、能够特异性地标记细胞中具有生物活性的线粒体,并检测线粒体膜电位的线粒体远红外荧光探针。本产品为高纯度探针,可以兼容后续的细胞固定和通透,但染色后再固定和通透,荧光强度会有一定的下降。
本产品是一种远红外荧光染料,只需简单地和细胞孵育,即可通过被动运输穿过细胞膜,并借助本探针含有的弱巯基反应性的氯甲基(mildly thiol-reactive chloromethyl)官能团特异性地标记有生物活性的线粒体。本探针含有的弱巯基反应性的氯甲基,可以和线粒体内蛋白的巯基反应并共价连接,因此后续实验使用多聚·甲醛或甲醛等醛类固定剂,以及细胞通透的去垢剂Triton X-100等处理时,线粒体的荧光标记不会消失,但可能会有一定程度的下降(约下降2-8倍)。由于本荧光探针的激发光谱和发射光谱与常见的绿色和红色荧光探针通常不会重叠,因此非常适合用于多重荧光染色实验。
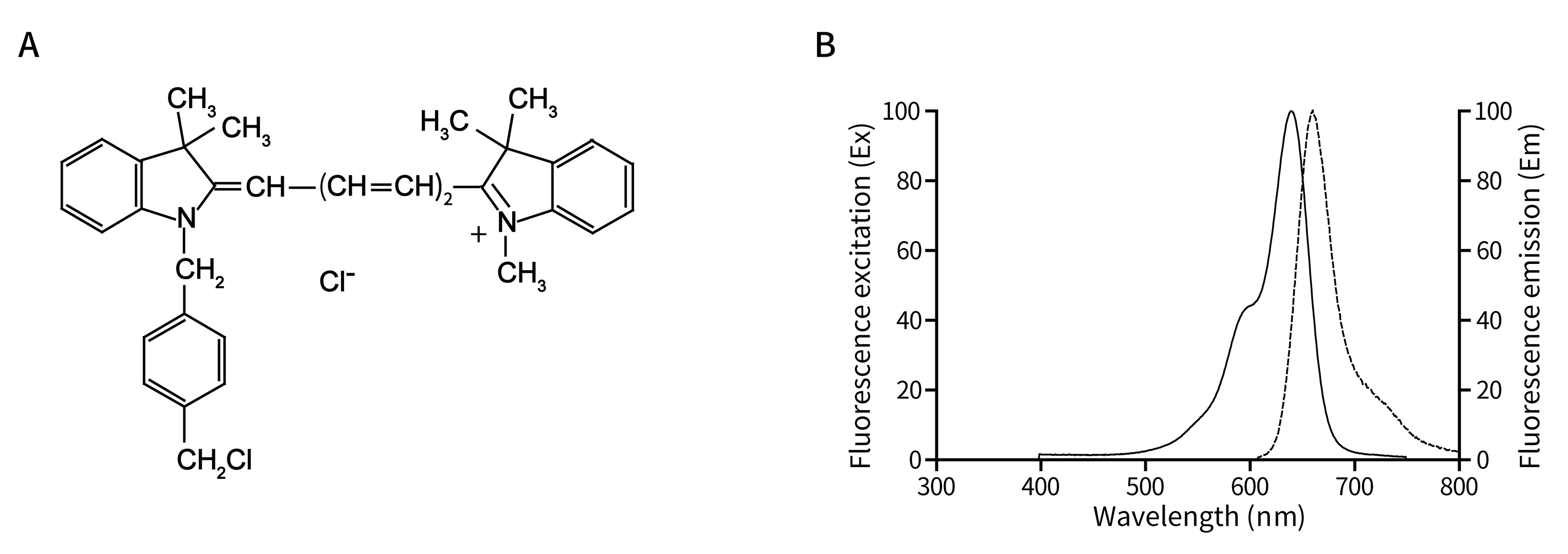
Mito-Tracker Deep Red FM分子式为C34H36Cl2N2,分子量为543.58,Mito-Tracker Deep Red FM为远红外荧光探针,最大激发波长为644nm,最大发射波长为665nm。Mito-Tracker Deep Red FM的化学结构式以及激发光谱和发射光谱参考图1。
图1. Mito-Tracker Deep Red FM的化学结构式(A)及激发光谱和发射光谱(B)。
Mito-Tracker Deep Red FM可以用作线粒体特异性的荧光探针。和Rhodamine 123或JC-1相似,Mito-Tracker Deep Red FM对于线粒体的染色依赖于线粒体膜电位,因此该探针只能对活的细胞或组织进行染色,不能对固定或通透后的细胞或组织进行染色。使用Mito-Tracker Deep Red FM染色细胞线粒体效果参考图2。
图2. Mito-Tracker Deep Red FM (线粒体远红外荧光探针)对于NRK-52E细胞(大鼠肾小管上皮细胞)的染色效果。Mito-Tracker Deep Red FM染色的NRK-52E细胞其线粒体呈现洋红色荧光(图B。注:为了区分Cy3、PE等普通红色荧光,远红外荧光处理成洋红色伪彩),Actin-Tracker Green-488 (C2201S)染色的NRK-52E细胞其微丝呈现绿色荧光(图C),洋红色荧光、绿色荧光及细胞核蓝色荧光的叠加(merge)效果见图D。其中细胞核使用Hoechst 33342 (C1027)染色。实测数据会因实验条件、检测仪器等的不同而存在差异,图中数据仅供参考。注:Mito-Tracker Deep Red FM染色活细胞线粒体后经固定、通透处理,再进行Actin-Tracker Green-488染色和Hoechst 33342染核。
由于Mito-Tracker Deep Red FM在线粒体内的聚集依赖于线粒体的膜电位,因此本产品也可以作为线粒体膜电位的指示探针,并可以通过检测线粒体膜电位的变化来检测细胞凋亡。
按最终工作浓度为50-200nM计算,本产品每50µg可以配制约460-1800ml Mito-Tracker Deep Red FM工作液。
包装清单:| 产品编号 | 产品名称 | 包装 |
| C1032-50μg | Mito-Tracker Deep Red FM | 50μg |
| C1032-250μg | Mito-Tracker Deep Red FM | 50µg×5 |
| — | 说明书 | 1份 |
-20℃避光保存,至少两年有效。
注意事项:Mito-Tracker Deep Red FM可以用于活细胞的线粒体荧光染色,不适合用于固定后细胞或者组织的染色;但在用本产品标记线粒体后,后续可以进行固定和通透,并用其它探针进行染色或进行免疫荧光染色,但染色后再固定和通透,荧光强度会有一定程度的下降。而且不同的细胞,固定和通透的影响会有所区别,建议对固定和通透试剂、条件进行一定的测试。
本产品仅包含非常微量的粉末,使用前请先离心数秒钟,使微量粉末充分沉降到管底。
荧光染料均存在淬灭问题,请尽量注意避光,以减缓荧光淬灭。
本产品对人体有害,操作时请小心,并注意有效防护以避免直接接触人体或吸入体内。
本产品仅限于专业人员的科学研究用,不得用于临床诊断或治疗,不得用于食品或药品,不得存放于普通住宅内。
为了您的安全和健康,请穿实验服并戴一次性手套操作。
风险提示:丁香通仅作为第三方平台,为商家信息发布提供平台空间。用户咨询产品时请注意保护个人信息及财产安全,合理判断,谨慎选购商品,商家和用户对交易行为负责。对于医疗器械类产品,请先查证核实企业经营资质和医疗器械产品注册证情况。
文献和实验线粒体荧光探针大全:TMRM,Mitotracker,JC-1
线粒体荧光探针信息大全 (Probes for Mitochondria)包括各种常用探针,如JC-1,JC-9,TMRM,TMRE等 Mitochondria are found in eukaryotic cells, where they make up as much as 10% of the cell volume. They are pleomorphic organelles with structural variations depending on cell type
线粒体荧光探针信息大全 (Probes for Mitochondria)包括各种常用探针,如JC-1,JC-9,TMRM,TMRE等 Mitochondria are found in eukaryotic cells, where they make up as much as 10% of the cell volume. They are pleomorphic organelles with structural
【求助】MitoTracker® Red CM-H2XRos(7513)检测的是什么
zlacrobat 请问MitoTracker® Red CM-H2XRos(7513)检测的是什么啊?网站上说氧化后才有荧光,那么检测的是ROS吗?但是网站上又说染料的积累与膜电位相关,各位有没有人知道它到底检测的是什么?谢谢! doctormy 简言之,该探针目前应用就是针对检测线粒体的,是一种改良的探针,优点:易于操作、固定、联合标记且更加稳定 你这个问题的认识过程如下: 1、什么是
技术资料暂无技术资料 索取技术资料











