相关产品推荐更多 >
万千商家帮你免费找货
0 人在求购买到急需产品
- 详细信息
- 文献和实验
- 技术资料
- 库存:
1000
- 英文名:
Mannose-PEG-PCL
- CAS号:
N/A
- 保质期:
一年
- 供应商:
深圳市魅罗科技有限公司
- 保存条件:
-20°干燥避光
- 规格:
100mg
Mannose-PEG-PCL PCL-PEG-Mannose Man-PEG-PCL PCL-PEG-Man
甘露糖聚乙二醇聚己内酯 聚己内酯聚乙二醇甘露糖
产品信息
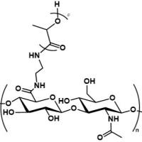
中文名称:甘露糖聚乙二醇聚己内酯
中文别名:甘露糖PEG聚己内酯
英文名称:Mannose-PEG-PCL
英文简称:Man-PEG-PCL
CAS:/
分子量:PEG 2000 3400 5000 10000
保存时间:一年
保存条件:-20°干燥避光
产品结构
产品简介
甘露糖PEG聚己内酯是一种具有甘露糖基团的聚乙二醇二嵌段共聚物,甘露糖广泛分布于体液和组织中,其直接被利用合成糖蛋白,参与免疫调节,也可用于靶向巨噬细胞。具有可生物降解和生物相容性聚酯链段的聚乙二醇化共聚物还可用于制备核-壳胶束,纳米颗粒和微球。
注意事项
产品仅用于科研,不可直接作用于人体
魅罗科技(MeloPEG)有限公司相关产品
Mannose-PEG-NH2 甘露糖聚乙二醇氨基
Mannose-PEG-COOH 甘露糖聚乙二醇羧基
Mannose-PEG-SH 甘露糖聚乙二醇巯基
Mannose-PEG-NHS 甘露糖聚乙二醇活性酯
Mannose-PEG-Biotin 甘露糖聚乙二醇维生素H
Mannose-PEG-DSPE 甘露糖聚乙二醇磷脂
Mannose-PEG-PLA 甘露糖聚乙二醇聚乳酸
Mannose-PEG-PCL 甘露糖聚乙二醇聚己内酯
Mannose-PEG-PLGA 甘露糖聚乙二醇聚丙交酯乙交酯
Mannose-Chitosan 甘露糖-壳聚糖
Mannose-PEI 甘露糖-聚乙烯亚胺
风险提示:丁香通仅作为第三方平台,为商家信息发布提供平台空间。用户咨询产品时请注意保护个人信息及财产安全,合理判断,谨慎选购商品,商家和用户对交易行为负责。对于医疗器械类产品,请先查证核实企业经营资质和医疗器械产品注册证情况。
文献和实验物中。而D,L―PLA具有较小的结晶度,是一种完全无定形的共聚物,常用作药物控释载体。meso―PLA不常使用。由于I―PLA的降解产物L―乳酸能被人体完全代谢,因此它具有无毒、无组织反应的特殊优点,更具竞争力。 2.聚己内酯(PCL) 起初人们只认识到PCL能被微生物降解,故大量作为包装材料使用,后来发现PCL在生理条件下也能水解,因而引发出其在医学领域的应用。与PGA和PLA比较,PCL因结晶性太强而导致降解速率要慢得多,因此PCL更适合作为长效植入药物的控释载体
表达量惊人,甚至达到了22g/L;(4)外源基因的表达产物既可存在于胞内,又可通过其特有的信号肽α因子或天然蛋白本身的信号肽分泌至细胞外,同时,该系统自身分泌的蛋白非常少,这大大简化了纯化过程,如表达的重组水蛭素(HIR),仅经过二步层析纯化就可达到97%以上的纯度;(5)整合入外源基因的重组子表达系统十分稳定。有文献报道通过同源重组整合入外源基因的重组子表达系统可连续培养50代却未见外源基因丢失的现象[5];(6)糖基化程度低,毕赤酵母中加到外源蛋白每条侧链的平均长度为8~14个甘露糖残基,较之酿酒
integration into ribosomal DNin yeast)质粒,旨在将目的基因靶向整合到rDNA簇上(rDNA簇为酵母基因组中串联存在的150个重复序列),因此利用pMIRY2质粒可以得到100个以上的拷贝。值得注意的是,酿酒酵母表达的外源蛋白质往往被高度糖基化,糖链上可以带有40个以上的甘露糖残基,糖蛋白的核心寡聚糖链含有末端仅1,3甘露糖,产物的抗原性明显增强。所以,酿酒酵母常常用来制备亚单位疫苗(如HBV疫苗、口蹄疫疫苗等)。(2)甲醇营养型酵母表达系统 甲醇营养型酵母包括汉森酵母
技术资料暂无技术资料 索取技术资料










