相关产品推荐更多 >
万千商家帮你免费找货
0 人在求购买到急需产品
- 详细信息
- 询价记录
- 文献和实验
- 技术资料
- 库存:
大量
- 英文名:
G418 Sulfate (Geneticin)
- CAS号:
108321-42-2
- 供应商:
翌圣生物科技(上海)股份有限公司
- 保质期:
有效期3年
- 保存条件:
2-8°C
- 规格:
1g/5 g
| 规格: | 1g | 产品价格: | ¥585.0 |
|---|---|---|---|
| 规格: | 5 g | 产品价格: | ¥2685.0 |
G418 Sulfate(G418硫酸盐),也称作Geneticin(遗传霉素),是一种结构类似于庆大霉素B1(Gentamycin B1)的氨基糖苷类抗生素,通过影响80S核糖体功能和阻断延伸步骤来干扰蛋白合成,对原核和真核等细胞都有毒性,包括细菌、酵母、高等植物和哺乳动物细胞 ,也包括原生动物和蠕虫。其抗性基因(主要为neo基因)位于转座子Tn601(903)或Tn5(来源于细菌),但是可以在真核细胞中表达。通过基因重组技术将这些抗性基因导入细胞,使其获得对G418的耐药性,从而用来筛选和维持培养携带抗性基因的原核或者真核细胞。
哺乳动物细胞中,当抗性基因neo被整合进真核细胞基因组后 ,使其编码表达氨基糖苷磷酸转移酶(amino-glycoside 3’-phosphotransferase,APH(3')II)。此酶通过共价修饰G418的氨基或羟基功能,抑制抗生素-核糖体间的相互作用,从而使得抗生素失活。这一特性赋予细胞产生抗性。稳转细胞株筛选实验,需要建立杀灭曲线(剂量反应曲线)确定杀死无抗性细胞的最低有效浓度。
植物细胞中,通过转染携带nptII基因的抗性质粒孵育其抗性。nptII基因也能编码表达氨基糖苷磷酸转移酶,这个酶使得多种抗生素丧失活性,包括G418、卡那霉素和巴龙霉素。
|
CAS 号(CAS NO.)
|
108321-42-2
|
|
英文别名(English Synonym)
|
G418 硫酸盐;遗传霉素;
|
|
中文名称(Chinese Name)
|
Antibiotic G418; G418 Sulfate;
|
|
分子式(Formula)
|
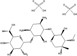
C20H40N4O10·2 H2SO4
|
|
分子量(Molecular Weight)
|
692.7 g/mol
|
|
外观(Appearance)
|
白色粉末
|
|
纯度(Purity)
|
~98%
|
|
溶解性(Solubility)
|
溶于水
|
|
结构式(Structure)
|
|
|
活力(Potency)
|
> 700 U/mg
|
使用方法
1. G418储存液的配制(50 mg/mL,活性浓度)
1)活力单位的换算
根据此公式进行换算:(1000/A0)×A1=A2,其中A0是G418的活力值(Potency),因批次而异。可见批次对应的质检报告,或者瓶子上的标签。A1是想配制的活性G418浓度。A2是实际称重的粉末与体积比浓度。
比如若所用批次的G418 活力值为:750 U/mg,要配制50 mg/mL的G418活性浓度,则实际要配制的粉末浓度为1000/750×50 mg/mL=66.67 mg/mL。
如果配制10 mL的G418储存液(活性浓度,50 mg/mL),则需要称取666.7 mg粉末。
2)除菌和保存
根据上述换算得到的实际粉末称重量,加入10 mL无菌去离子水内使其完全溶解。
先用5 mL无菌去离子水预湿润0.22 μm针头式过滤器,除尽水。之后使用此滤器过滤,除菌后分装成单次使用的小量(如1mL)放到-20 ℃冻存,1年稳定。
【注】 ①不要对混浊的溶液进行过滤,因为混浊的溶液意味着未完全溶解,过滤过程中会造成药物损失,降低终液的活性。
②不建议使用液体培养基,NaCl、磷酸盐溶液或者有机溶剂来制备储存液。
2. 常用筛选浓度
一般来说,刚开始筛选转化子需要高浓度的G418,并用一个较低浓度的G418用于维持培养。生长条件,细胞类型和其他的环境因素都可能影响G418的用量,因此第一次使用的实验体系建议通过杀灭曲线(kill curve),即剂量反应性曲线,来确定最佳筛选浓度。
通常情况,哺乳动物细胞筛选范围200-2000 μg/mL;植物细胞:10-100 μg/mL;酵母细胞:500-1000 μg/mL。
以下是一些细胞类型使用G418筛选使用的浓度,可做参考。
| 细胞类型 | 激活浓度 | 应用 | 引用文献 |
| 网柄菌属 | a) 10 μg/mL b) 30 μg/mL | a)培养在培养液中 b)培养在冻干细菌上 | Hirth,et. al., Proc. Natl. Acad. Sci., v. 79, 7356-7360 (1982). |
| 哺乳动物 | a) 400 -1000 μg/mL b) 200 μg/mL | a)用于筛选 b)用于维持生长 | Canaani and Berg, Proc. Natl. Acad. Sci., v. 79, 5166-5170 (1982). |
| 植物 | a) 25-50 μg/mL b) 10 μg/mL | a)用于筛选 b)用于维持生长 | Ursic, et. al., Biochem. Biophys. Res. Comm., v. 101:3, 1031-1037 (1981). |
| 酵母 | a) 500 μg/mL b) 125-200 μg/mL | a)用于筛选 b)用于维持生长 | Jimenez and Davies, Nature, v. 287, 869-871 (1980). |
| 细菌 | 16 μg/mL | 用于筛选 | Waitz, et. al., Antimicrob. Agents Chemother., v. 6:5, 579-581 (1974). |
3. 杀灭曲线的建立
【注意事项】
为了筛选得到稳定表达目的蛋白的细胞株,需要确定能够杀死未转染宿主细胞的抗生素最低浓度,可通过建立杀灭曲线来实现,至少选择6个浓度。处理分裂期的细胞时G418的活性最强,因此在添加G418之前需要让细胞培养一段时间。
1) 第一天:未转化的细胞按照20-25%的细胞密度铺在合适的培养板上,37 ℃,CO2培养过夜。
【注】对于需要更高密度来检测活力的细胞,可增加接种量。
2) 根据细胞类型,设定合适范围内的浓度梯度。以哺乳动物细胞为例,可设定0,50,100,200,400,800,1000 μg/mL。
3) 第二天:去除旧的培养基,换用新鲜配制的含有相应浓度药物的培养基。每个浓度做三个平行孔。
4) 接下来每3-4天更换新的含药物培养基。
5) 按照固定的周期(如每2天)进行活细胞计数来确定阻止未转染细胞生长的恰当浓度。选择在理想的天数(通常是7-10天)内能够杀死绝大多数细胞的最低浓度为稳定转染细胞筛选用的工作浓度。
4. 稳定转染细胞的筛选
1) 转染48 h后,用含有适当浓度的G418筛选培养基来传代细胞(直接传代或者稀释后传代)。
【注】细胞处于活跃分裂状态时抗生素的杀伤效果最好。当细胞过于稠密,其效率会降低。为了得到较好的筛选效果,最好将细胞稀释至丰度不超过25%。
2) 每隔3-4天更换含有药物的筛选培养液。
3) 筛选7天后观察并评估细胞克隆(集落)的形成情况。集落的形成可能还需要一周或者更多的时间,这取决于宿主细胞类型,转染以及筛选效果。
4) 挑取并转移5-10个抗性克隆于35 mm细胞培养板,继续用含药物的筛选培养液维持培养7天。
5) 之后更换正常培养基培养即可。
产品应用场景和主要特点
| 应用场景 | 名称 | 货号 | 主要特点 |
| 原生质体制备 | Snailase 蜗牛酶 | 10404ES | 来源于蜗牛的混合酶,可降解植物细胞壁。 |
| 生长调节剂 (生长促进剂 生长延缓剂 新型植物激素) | Zeatin 玉米素 | 41001ES | 从幼嫩的玉米芯中发现分离出来的,促进侧芽生长,刺激细胞分化,促进愈伤组织和种子发芽,还能防止叶片衰老。 |
| Trans-Zeatin 反玉米素 | 41002ES | 高纯的反式玉米素,适用于植物组织培养。 | |
| Trans-Zeatin-Riboside 反玉米素核苷 | 41003ES | 是一种活性高且应用广泛的天然合成细胞分裂素,功能上不仅促进细胞分裂,刺激茎芽增殖,抑制根的生成,阻止叶片衰老,还能激活基因表达和代谢活性。 | |
| Indole-3-acetic acid(IAA)3-吲哚乙酸 | 40509ES | 适用于植物细胞或组织培养。 | |
| (+)-Abscisic acid(ABA) (+)-脱落酸 | 41004ES | 抑制幼苗生长。 | |
| rac-GR24(strigolactone analog) 独脚金内酯 | 41012ES | 近年来发现的一种植物激素或其前体,能够抑制植物的分枝和侧芽的生长。 | |
| 抗生素 (抗细菌 抗真菌 抗性筛选) | Timentin 特美汀 | 60230ES | 特美汀对革兰阳性菌、阴性菌、需氧及厌氧菌的抗菌范围甚广。 |
| Gentamicin Sulfate Salt 硫酸庆大霉素 | 60214ES | 实验室中应用非常普遍:微生物学研究,细胞培养内抑制细菌污染,分子生物学研究 | |
| Penicillin G,Sodium Salt青霉素G钠盐 | 60208ES | 主要对革兰氏阳性菌有效,作用于细菌的细胞壁,对人类的毒性较小。 | |
| Penicillin-Streptomycin,青霉素-链霉素 | 60162ES | 有效抑制多数革兰氏阳性菌和革兰氏阴性菌的生长,从而有效控制细胞被细菌污染。 | |
| Rifampicin 利福平 | 60234ES | 有效的广谱抗菌抗生素。 | |
| Kanamycin Sulfate 硫酸卡那霉素 | 60206ES | 对革兰氏阳性菌和阴性菌及支原体都有抑制作用。 | |
| Aureobasidin A(AbA)金担子素A | 60231ES | 一种环状肽、抗真菌的抗生素,具有很强的抗真菌能力,主要抗酵母菌。 | |
| Hygromycin B 潮霉素B | 60225ES | 用来筛选和维持培养成功转染潮霉素抗性基因的原核或者真核细胞。 | |
| G418 Sulfate(Geneticin) 遗传霉素 | 60220ES | 将抗性基因导入细胞,使其获得对G418的耐药性,从而用来筛选携带抗性基因的细胞。 | |
| 除草剂 | Glyphosate 草甘膦(甘草磷),95% | 41011ES | 对多年生的恶习性杂草如茅草、香附子、狗牙根有很好的防除效果。 |
| Glufosinate-ammonium草铵膦 | 60221ES | 毒性低,活性高,广谱的非选择性除草剂,其有效成分是草丁膦。 | |
| Bialaphos 双丙氨膦 | 60235ES | 用于筛选含有抗性基因的基因工程细胞系,且在玉米培养中比草铵膦的活性强。 |
相关产品推荐:
| 产品名称 | 产品编号 | 规格 |
| Ciprofloxacin hydrochloride 环丙沙星盐酸盐 | 60201ES05/25/60 | 5/25/100g |
| Ampicillin, Sodium Salt | 60203ES10/60 | 10/100g |
| Doxycycline hyclate 盐酸强力霉素 | 60204ES03/08/25 | 1/5/25g |
| Chloramphenicol, USP Grade 氯霉素,USP级 | 60205ES08/25/60 | 5/25/100g |
| Kanamycin Sulfate 硫酸卡那霉素 | 60206ES10/60 | 10/100g |
| Puromycin Dihydrochloride嘌呤霉素盐酸盐 | 60210ES25/76 | 25/500 mg |
| Tetracyclin HCl 四环素盐酸盐(USP) | 60212ES25/60 | 25/100g |
| Vancomycin Hydrochloride 盐酸万古霉素 | 60213ES60/80/90 | 100mg/1g/5g |
| Gentamycin Sulfate Salt 硫酸庆大霉素 | 60214ES03/08/25 | 1/5/25g |
| Spectinomycin Hydrochloride 盐酸壮观霉素 | 60215ES08 | 5g |
| 盐酸博莱霉素 | 60216ES60/80 | 100/10×100mg |
| Phleomycin (20mg/ml in solution) 腐草霉素 | 60217ES20/60 | 20/5×20mg |
| Blasticidin S 杀稻瘟菌素S (灭瘟素) | 60218ES10/60 | 10/10×10mg |
| Nystatin 制真菌素 | 60219ES08 | 5g |
| G418 Sulfate (Geneticin) 遗传霉素 | 60220ES03/08 | 1/5g |
| Hygromycin B 潮霉素B | 60225ES03/10 | 1/10g |
| Erythromycin 红霉素 | 60228ES08/25 | 5/25g |
| Timentin 特美汀 | 60230ES07/32 | 3.2/10×3.2g |
| Aureobasidin A (AbA)金担子素A | 60231ES03/08/10 | 1/5×1/10×1mg |
| Polymyxin B Sulfate 多粘菌素B硫酸盐 | 60242ES03/10 | 1/10MU |
常温运输。粉末-20 ℃避光保存,有效期3年。储存液-20 ℃避光保存,有效期1年。避免受潮,否则会降低抗生素活力。
Q:过滤抗生素是用油系膜还是水洗膜过滤?
A:都可以。
Q: 质粒带有真核抗性是Neor抗性,筛选细胞的时候是用G418筛选吗?
A: G418和新霉素主要成分是一样的,是一种衍生物,细胞培养的时候一般都是G418,用于转染细胞的筛选都是用的这种抗生素G418。G418及其同类药物通过干扰核糖体功能而阻断蛋白质合成。细菌Tn5转座子序列携带的氨基糖苷磷酸转移酶,将G418转变成无毒性形式。
风险提示:丁香通仅作为第三方平台,为商家信息发布提供平台空间。用户咨询产品时请注意保护个人信息及财产安全,合理判断,谨慎选购商品,商家和用户对交易行为负责。对于医疗器械类产品,请先查证核实企业经营资质和医疗器械产品注册证情况。
- 作者
- 内容
- 询问日期
文献和实验1] Liao M, Liu Y, et al. The P-loop NTPase RUVBL2 is a conserved clock component across eukaryotes. Nature. 2025 Mar 26. doi: 10.1038/s41586-025-08797-3. Epub ahead of print. PMID: 40140583. (IF:50.5)
[2] Zhu G, Xie J, Kong W, et al. Phase Separation of Disease-Associated SHP2 Mutants Underlies MAPK Hyperactivation. Cell. 2020;183(2):490-502.e18. doi:10.1016/j.cell.2020.09.002(IF:38.637)
[3] Zhang D, Liu Y, Zhu Y, et al. A non-canonical cGAS-STING-PERK pathway facilitates the translational program critical for senescence and organ fibrosis. Nat Cell Biol. 2022;24(5):766-782. doi:10.1038/s41556-022-00894-z(IF:28.824)
[4] Zhou C, Yi C, Yi Y, et al. LncRNA PVT1 promotes gemcitabine resistance of pancreatic cancer via activating Wnt/β-catenin and autophagy pathway through modulating the miR-619-5p/Pygo2 and miR-619-5p/ATG14 axes. Mol Cancer. 2020;19(1):118. Published 2020 Jul 29. doi:10.1186/s12943-020-01237-y(IF:27.401)
[5] Liu S, Zhang X, et al. Mammalian IRE1α dynamically and functionally coalesces with stress granules. Nat Cell Biol. 2024 Jun;26(6):917-931. doi: 10.1038/s41556-024-01418-7. Epub 2024 May 7. PMID: 38714852. (IF:21.3)
[6] Meng F, Yu Z, Zhang D, et al. Induced phase separation of mutant NF2 imprisons the cGAS-STING machinery to abrogate antitumor immunity. Mol Cell. 2021;81(20):4147-4164.e7. doi:10.1016/j.molcel.2021.07.040(IF:17.970)
NPTII Assays for Measuring Gene Expression and Enzyme Activity in Transgenic Plants
number 58943-39-8) activity. This enzyme, also known as neomycin phosphotransferase II (NPTII), inactivates by phosphorylation the sugar-containing antibiotics, neomycin, kanamycin, geneticin (G418), and paromomycin. To date, the gene has been introduced
Biolistic Mediated Production of Transgenic Oil Palm
transformation. Finally, the effectiveness of kanamycin, geneticin (G418), neomycin, hygromycin, and herbicide Basta as selection agents to inhibit growth of oil palm embryogenic calli is evaluated. Combination of optimized parameters, best promoter and selection
Recipes for Tissue Culture Selective Drug Stocks
Recipes for Tissue Culture Selective Drug Stocks 100X G418 (Geneticin): Obtained as crystalline powder from GIBCO (cat.# 860-1811) and stored @ room temp. in T932. The amount of active ingredient per total weight is printed












