相关产品推荐更多 >
万千商家帮你免费找货
0 人在求购买到急需产品
- 详细信息
- 文献和实验
- 技术资料
- 库存:
2000
- 英文名:
Chitosan-Mal
- 保质期:
一年
- 供应商:
深圳市魅罗科技有限公司
- 保存条件:
-20°干燥避光
- 规格:
100mg
关键词:Chitosan-Maleimide 壳聚糖-马来酰亚胺 马来酰亚胺-壳聚糖 马来酰亚胺标记壳聚糖 CS-Maleimide Chitosan-Mal 马来酰亚胺修饰壳聚糖 马来酰亚胺功能化壳聚糖
货号 2020301
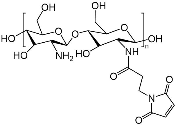
壳聚糖载药微球药物释放与壳聚糖分子量有关,一般药物的释放速率随壳聚糖的分子量增大而减小,且壳聚糖浓度越高,药物从壳聚糖中扩散进入生物介质的速率越低。壳聚糖生物相容性和生物可降解性良好,降解产物可被人体吸收,在体内不蓄积,无免疫原性,可制成吸收型外科手术缝合线。
魅罗科技可提供马来酰亚胺功能化壳聚糖,保留了壳聚糖良好生物相容性和可降解性特点,同时马来酰亚胺与硫醇之间的反应在pH 6.5〜7.5时容易进行,形成稳定的硫醚键。
魅罗科技可以提供不同基团修饰的壳聚糖衍生物,包括的产品如下
Chitosan-FITC 荧光素标记壳聚糖
Chitosan-RB 罗丹明标记壳聚糖
Chitosan-Cy3 花菁Cy3标记壳聚糖
Chitosan-Cy3.5 花菁Cy3.5标记壳聚糖
Chitosan-Cy5 花菁Cy5标记壳聚糖
Chitosan-Cy5.5 花菁Cy5.5标记壳聚糖
Chitosan-Cy7 花菁Cy7标记壳聚糖
Chitosan-Cy7.5 花菁Cy7标记壳聚糖
Chitosan-NH2 氨基功能化壳聚糖
Chitosan-COOH 羧基功能化壳聚糖
Chitosan-SH 巯基功能化壳聚糖
Chitosan-N3 叠氮功能化壳聚糖
Chitosan-MAL 马来功能化壳聚糖
Chitosan-Alkyne 炔基功能化壳聚糖
Chitosan-Biotin 生物素功能化壳聚糖
Chitosan-FA 靶向叶酸修饰壳聚糖
Chitosan-DBCO 二苯基环辛炔修饰壳聚糖
Chitosan-cRGD 环肽RGD修饰壳聚糖
Chitosan-PLA 聚乳酸-壳聚糖嵌段共聚物
Chitosan-PCL 聚己内酯-壳聚糖嵌段共聚物
Chitosan-PLGA 聚乳酸-羟基乙酸共聚物-壳聚糖嵌段共聚物
Chitosan-PEI 聚乙烯亚胺-壳聚糖嵌段共聚物
Chitosan-HA 透明质酸-壳聚糖嵌段共聚物
Chitosan-PEG-DSPE 聚乙二醇磷脂修饰壳聚糖
风险提示:丁香通仅作为第三方平台,为商家信息发布提供平台空间。用户咨询产品时请注意保护个人信息及财产安全,合理判断,谨慎选购商品,商家和用户对交易行为负责。对于医疗器械类产品,请先查证核实企业经营资质和医疗器械产品注册证情况。
文献和实验循环时间。 其他用来表面改性的试剂包括:聚山梨醇酯―20、聚山梨醇酯―60、聚山梨醇酯―80、Brij35、Brij78、羟丙基纤维素、聚壳糖、薄荷醇等。王杰等人采用物理吸附法,分别以BrU78、Myrj53、Myrj59表面改性剂对载环孢素的PLA纳米粒进行表面改性。结果显示,随着表面改性剂亲水性的增大,巨噬细胞对纳米粒的吞噬作用减弱。采用壳聚糖表面改性的PLGA纳米粒可以增加大分子在黏膜表面的穿透性,可以增加纳米粒的正zeta电势和破伤风类毒素的包裹效率。放射性同位素标记的破伤风类毒素实验结果表明,表面改性
,一组使用 NaHS 处理,一组则不作处理;然后用荧光马来酰亚胺染料 Alexa Fluor 488 C5 maleimide(下文简称MAL,Invitrogen,A10254)标记半胱氨酸上的硫醇基团,使正常的半胱氨酸通过 -S- 与 MAL 连接,而硫巯基化的半胱氨酸通过二硫键 -S-S- 与 MAL 连接,如下图: 图 1. 文献 Fig. 6G,硫巯基化分析步骤 接下来加入 DTT,硫巯基化蛋白上特有的二硫键就会被解开,导致荧光 MAL 分子脱落,荧光信号减弱。所以,荧光信号发生变化就验证
三句话读懂一篇 CNS:注射一针即可治愈艾滋?龟类为何如此长寿,大规模研究揭开背后奥秘
and Targeted Therapy:发现慢性脊髓损伤的潜在治疗新方法 NT3-壳聚糖能够引发大鼠和非人类灵长类动物的脊髓损伤的急性修复。 2022 年 6 月 17 日,北京航空航天大学/首都医科大学李晓光团队等多个单位联合在 Signal Transduction and Targeted Therapy 杂志发表研究论文 Chronic spinal cord injury repair by NT3-chitosan only occurs after clearance










