相关产品推荐更多 >
万千商家帮你免费找货
0 人在求购买到急需产品
- 详细信息
- 文献和实验
- 技术资料
- 库存:
2000
- 英文名:
FITC-Chitosan
- 保质期:
一年
- 保存条件:
-20°干燥避光
- 规格:
100mg
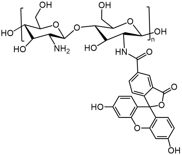
Chitosan-FITC是一种荧光素标记的壳聚糖衍生物。Chitosan是从甲壳类动物壳中提取的一种多糖类物质,具有良好的生物相容性和生物可降解性。荧光素Ex在495 nm处,Em在515〜520 nm附近, FITC呈现明亮的黄绿色荧光。FITC可以标记壳聚糖分子,并用于检测、追踪和定量分析这些分子及其应用。
荧光素修饰的壳聚糖

魅罗科技可以提供不同基团修饰的壳聚糖衍生物,包括的产品如下
Chitosan-FITC 荧光素标记壳聚糖
Chitosan-RB 罗丹明标记壳聚糖
Chitosan-Cy3 花菁Cy3标记壳聚糖
Chitosan-Cy3.5 花菁Cy3.5标记壳聚糖
Chitosan-Cy5 花菁Cy5标记壳聚糖
Chitosan-Cy5.5 花菁Cy5.5标记壳聚糖
Chitosan-Cy7 花菁Cy7标记壳聚糖
Chitosan-Cy7.5 花菁Cy7标记壳聚糖
Chitosan-NH2 氨基功能化壳聚糖
Chitosan-COOH 羧基功能化壳聚糖
Chitosan-SH 巯基功能化壳聚糖
Chitosan-N3 叠氮功能化壳聚糖
Chitosan-MAL 马来功能化壳聚糖
Chitosan-Alkyne 炔基功能化壳聚糖
Chitosan-Biotin 生物素功能化壳聚糖
Chitosan-FA 靶向叶酸修饰壳聚糖
Chitosan-DBCO 二苯基环辛炔修饰壳聚糖
Chitosan-cRGD 环肽RGD修饰壳聚糖
Chitosan-PLA 聚乳酸-壳聚糖嵌段共聚物
Chitosan-PCL 聚己内酯-壳聚糖嵌段共聚物
Chitosan-PLGA 聚乳酸-羟基乙酸共聚物-壳聚糖嵌段共聚物
Chitosan-PEI 聚乙烯亚胺-壳聚糖嵌段共聚物
Chitosan-HA 透明质酸-壳聚糖嵌段共聚物
Chitosan-PEG-DSPE 聚乙二醇磷脂修饰壳聚糖
风险提示:丁香通仅作为第三方平台,为商家信息发布提供平台空间。用户咨询产品时请注意保护个人信息及财产安全,合理判断,谨慎选购商品,商家和用户对交易行为负责。对于医疗器械类产品,请先查证核实企业经营资质和医疗器械产品注册证情况。
文献和实验当FITC在碱性溶液中与抗体蛋白反应时,主要是蛋白质上赖氨酸的r氨基与荧光素的硫碳胺键(thiocarbmide)结合,形成FITC-蛋白质结合物,即荧光抗体或荧光结合物。一个IgG分子中有86个赖氨酸残基,一般最多能结合15~20个,一个IgG分子可结合2~8个分子的FITC,其反应式如下FITC-N=C=S + N-H2-蛋白质 → FITC-NS-C-N-H2-蛋白质常用Marsshall(1958)法标记荧光抗体,也可以根据条件采用Chadwick等标记法或Clark
荧光蛋白和荧光素酶是在基因工程中广泛使用的两类报告基因 (reporter gene),是研究生物分子或细胞活动规律及本质的重要工具。 荧光蛋白 荧光蛋白能被一定波长的光激发,电子被激发到高能级,随后向低能级跃迁的过程中发出比激发光波长更长的荧光。绿色荧光蛋白(GFP)最初是在水母中发现的,随后各种颜色的荧光蛋白被开发出来。目前荧光蛋白按照颜色分类主要分为绿色系、红色系、蓝色系、青色系、黄色系和橙色系(表 1)。这么多的荧光蛋白,可以根据哪些方面来选择呢? 激发峰/发射峰:每种荧
(一) 原理 目前用于抗体标记的荧光素主要有异硫氰酸荧光素(Fluorescein isothiocynate,FITC)或罗 达明(Lissamine rhodamine B200, RB200)。在硷性条件下FITC的碳酰胺键可与抗体赖氨酸的ε 氨基共价结合,标记后的抗体仍保持与相应抗原结合的能力。在荧光灯源紫外线或兰紫光 激发下产生黄绿色荧光,通过在荧光显微镜下观察或流式细胞仪分析可对相应抗原进行定 性、定位或定量










