相关产品推荐更多 >
万千商家帮你免费找货
0 人在求购买到急需产品
- 详细信息
- 文献和实验
- 技术资料
- 库存:
2000
- 英文名:
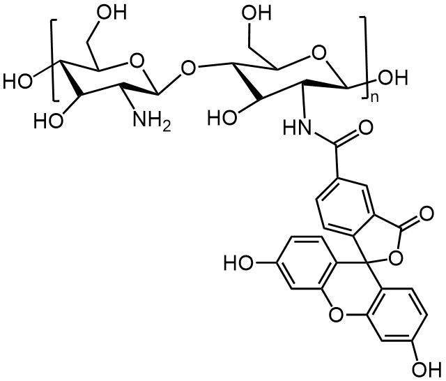
Chitosan-FITC
- 保质期:
一年
- 供应商:
深圳市魅罗科技有限公司
- 保存条件:
-20°干燥避光
- 规格:
100mg
壳聚糖(Chitosan)是一种无毒性、半结晶、生物可降解和具有生物兼容性的线性氨基多糖,是N-乙酰氨基葡萄糖(NAG) 和氨基葡萄糖单元连接而成的随机共聚物,通常是在相对较高温度和碱性条件下对天然几丁质(甲壳素)部分脱乙酰化而得。
壳聚糖的应用非常广泛,包括
- 生物医药领域:壳聚塘因具有良好的生物兼容性和可降解性广泛的用于生物医药如用作组织工程学的支架。
- 药物领域: 壳聚糖成功应用于开发药物载体,用于可控释放药物。
荧光素修饰的壳聚糖

荧光素Ex在495 nm处,Em在515〜520 nm附近, FITC呈现明亮的黄绿色荧光。
魅罗科技可以提供不同基团修饰的壳聚糖衍生物,包括的产品如下
Chitosan-FITC 荧光素标记壳聚糖
Chitosan-RB 罗丹明标记壳聚糖
Chitosan-Cy3 花菁Cy3标记壳聚糖
Chitosan-Cy3.5 花菁Cy3.5标记壳聚糖
Chitosan-Cy5 花菁Cy5标记壳聚糖
Chitosan-Cy5.5 花菁Cy5.5标记壳聚糖
Chitosan-Cy7 花菁Cy7标记壳聚糖
Chitosan-Cy7.5 花菁Cy7标记壳聚糖
Chitosan-NH2 氨基功能化壳聚糖
Chitosan-COOH 羧基功能化壳聚糖
Chitosan-SH 巯基功能化壳聚糖
Chitosan-N3 叠氮功能化壳聚糖
Chitosan-MAL 马来功能化壳聚糖
Chitosan-Alkyne 炔基功能化壳聚糖
Chitosan-Biotin 生物素功能化壳聚糖
Chitosan-FA 靶向叶酸修饰壳聚糖
Chitosan-DBCO 二苯基环辛炔修饰壳聚糖
Chitosan-cRGD 环肽RGD修饰壳聚糖
Chitosan-PLA 聚乳酸-壳聚糖嵌段共聚物
Chitosan-PCL 聚己内酯-壳聚糖嵌段共聚物
Chitosan-PLGA 聚乳酸-羟基乙酸共聚物-壳聚糖嵌段共聚物
Chitosan-PEI 聚乙烯亚胺-壳聚糖嵌段共聚物
Chitosan-HA 透明质酸-壳聚糖嵌段共聚物
Chitosan-PEG-DSPE 聚乙二醇磷脂修饰壳聚糖
风险提示:丁香通仅作为第三方平台,为商家信息发布提供平台空间。用户咨询产品时请注意保护个人信息及财产安全,合理判断,谨慎选购商品,商家和用户对交易行为负责。对于医疗器械类产品,请先查证核实企业经营资质和医疗器械产品注册证情况。
文献和实验当FITC在碱性溶液中与抗体蛋白反应时,主要是蛋白质上赖氨酸的r氨基与荧光素的硫碳胺键(thiocarbmide)结合,形成FITC-蛋白质结合物,即荧光抗体或荧光结合物。一个IgG分子中有86个赖氨酸残基,一般最多能结合15~20个,一个IgG分子可结合2~8个分子的FITC,其反应式如下FITC-N=C=S + N-H2-蛋白质 → FITC-NS-C-N-H2-蛋白质常用Marsshall(1958)法标记荧光抗体,也可以根据条件采用Chadwick等标记法或Clark
Chitosan Nanoparticle-Mediated Gene Transfer
-based therapeutics are the major drawbacks of gene therapy. Viral and nonviral gene transfer vectors have been developed to facilitate the cellular internalization and preserve their activity until the successful transgene expression. Chitosan, a natural
Enzyme Immobilization Using Chitosan-Xanthan Complexes
of polycations, and complexation between polyanions and polycations (7 –11 ). In this chapter, we describe novel hydrogels prepared from naturally occurring polymers, namely chitosan and xanthan.










