万千商家帮你免费找货
0 人在求购买到急需产品
- 详细信息
- 文献和实验
- 技术资料
- 库存:
大量
- 供应商:
北京百奥创新科技有限公司
- 规格:
5mL;50mL;1L
肼活化琼脂糖介质4HF
产品名称:肼活化琼脂糖介质4HF英文名称:NHS-activated SepFast 4HF
Product Introduction:
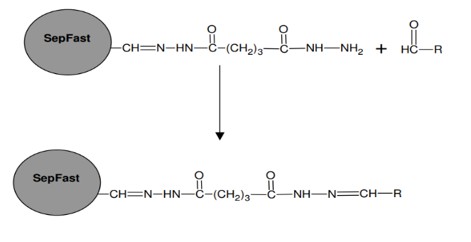
Hydrazide-activated agarose beads permit the coupling of aldehyde- or ketone-containing ligands through the formation of stable hydrazone linkages. It is a particularly powerful way to immobilize glycoproteins via their carbohydrate chains, while leaving critical active sites intact. It is a method so called “site-directed immobilization”. For example, antibodies can be immobilized to an agarose solid support through a linkage to their glycosylated side chain, which leaves their Fab region free for antigen binding.
Glycoproteins can be readily oxidized with sodium periodate to generate formyl groups on their carbohydrate chains before the coupling reaction with Hydrazide-activated agarose beads. It is a successful and well-documented technique. The coupling reaction is mild and easy to carry out. No toxic chemical or special equipment is required.
Hydrazide-activated SepFast resins can be readily employed to make custom affinity chromatography media for both small scale and large scale purification applications.

Product Properties:
Hydrazide activated SepFast 4HF is made of highly cross-linked 4% beaded agarose. It shows high mechanical rigidity allowing high flow throughput with reduced back pressure.
Agarose has long been used for chromatographic separations due to its excellent hydrophilic and low non-specific-binding nature. The particles have an open pore structure with excellent mass transfer properties to large protein molecules.
The base matrix is activated with hydrazide through a long hydrophilic spacer arm. Hydrazideactivated SepFast media is supplied as an aqueous suspension.

Product Series:

风险提示:丁香通仅作为第三方平台,为商家信息发布提供平台空间。用户咨询产品时请注意保护个人信息及财产安全,合理判断,谨慎选购商品,商家和用户对交易行为负责。对于医疗器械类产品,请先查证核实企业经营资质和医疗器械产品注册证情况。
文献和实验S.L. Lim, H.W. Ng, M.A. Akwiditya, C.W. Ooi, E.S. Chan, K.L. Ho, W.S. Tan, G.K. Chua, B.T. Tey, Single-step purification of recombinant hepatitis B core antigen Y132A dimer from clarified Escherichia coli feedstock using a packed bed anion exchange chromatography, Process Biochemistry, 2018, 69:208-215.
的浓度降低点,这也是个办法。 2)请问有没有合成过配体为FMN的亲和胶? 亲和的填料合成过20来种,你是希望用它来纯化某种脱氢酶吗,我看FMN可偶联的有限,倒是FAD有活泼的氨基好偶联,何况它们几乎是同一个辅酶,你是不是考虑把FAD连上去。当然FMN的结构上也有个仲胺,可以偶联到带长手臂的环氧活化的填料上,而溴化氰活化或别的活化的介质都不大好,因此我觉得这个没有什么问题。 此外如果是以FMN为辅酶的,那我还可以建议你试试蓝色琼脂糖凝胶,因为它的配基的结构和FMN
9.0 NaHCO3抽洗。4.偶联蛋白20ml 4B液体相当于一半的固相载体。事先将需偶联的抗原(或抗体)蛋白200mg置于0.1Mol/L pH 9.0 NaHCO3液中透析数小时(一般偶联量为10~30mg/g载体)。5.将活化的琼脂糖迅速倒入蛋白液中(在1.5min内,从抽洗到偶联),4℃缓慢搅拌过夜,使蛋白与活化的琼脂结合。6.在烧结玻璃漏斗中用200ml偶联缓冲液(0.1mol/L碳酸氢钠,0.5mol/L氯化钠,pH8.3)洗偶联介质一次。7.转移偶联介质至含100ml阻断缓冲液(1mol/L乙醇
点,这也是个办法。 2)请问有没有合成过配体为FMN的亲和胶? 现在一般要自己合成亲和填料,有很多公司都提供活化好的介质,自己偶联就可以,其中比较常用的有溴化氰琼脂 糖凝胶,环氧琼脂糖凝胶,氨基琼脂糖凝胶,羧基琼脂糖凝胶,活化酯琼脂糖凝胶,以及巯基琼脂糖凝胶等,但是如果是小分子的配基最好选择有3-10碳作为手臂的活化介质为好,此外也曾经有文献报导固定辅酶时,偶联位置不同,选择性有差别,因此你可以选择自己适合的活化介质。 不同的活化的介质对偶联的配基有不同的要求







