相关产品推荐更多 >
万千商家帮你免费找货
0 人在求购买到急需产品
- 详细信息
- 文献和实验
- 技术资料
- 库存:
100
- 英文名:
NM4-64
- 保质期:
2年
- 供应商:
优利科(上海)生命科学有限公司
- 保存条件:
-20℃
- 规格:
1mg
NM4-64神经元荧光探针
产品规格:1mg
应用范围:神经荧光染料
储存条件:-20℃避光保存,有效期见外包装。
推荐仪器:荧光显微镜
产品参数
外观:可溶于水的紫色固体
Ex/Em:543/- nm, (emission in MeOH is too weak to measure)
Ex/Em:510/750 nm (in membranes)
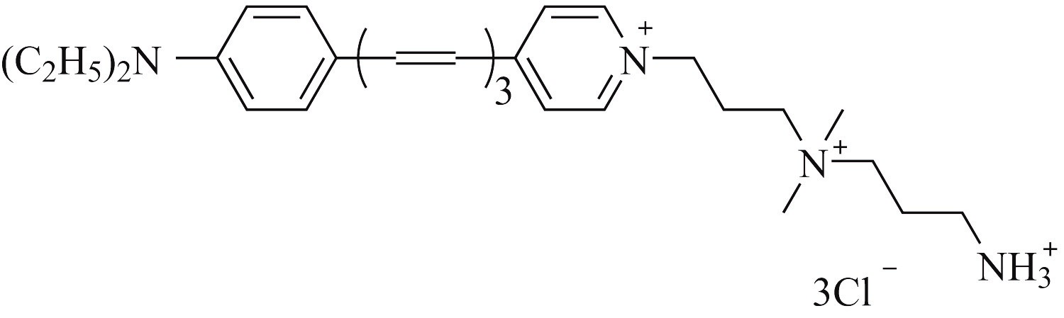
分子式:C29H45N4Cl3
分子量:555.5

产品介绍
神经末梢探针是一系列阳离子型苯乙烯基荧光染料,用于跟踪神经肌肉连接或突触的突触活动。这类染料通常具有亲脂性尾部(两个碳链)和带阳离子的高亲水性头部。神经末梢染料被命名为 NerveRed 或 NerveGreen 后接一个碳数,表示亲脂性尾巴的长度。NM 染料具有相似的结构,此外,它们在带正电的头部具有醛固定胺。
阳离子苯乙烯基染料是通过活性依赖性染色突触小泡来发挥功能。染料与细胞或组织共孵育时,染料的水相部分没有荧光,而染料的亲脂性尾部插入细胞膜并呈现强荧光。神经刺激后,在进行胞吞作用时,染料被包裹在囊泡内,因此,洗去细胞表面附着的染料后,荧光信号强弱表示新形成的囊泡的数量的多少。反之,在胞吐作用时,染料与神经递质一起从囊泡释放,导致荧光信号减少。因此,荧光强度的变化反映了胞吞/胞吐或突触活动的情况。内吞过程中荧光增加的速率——“结合速率”和胞吐过程中荧光减少的速率 ——“解离速率”因染料种类而异。通常,具有较长亲脂性尾部和更多双键的染料对膜具有较高的亲和力,因此具有较高的结合速率和较低的解离速率。
本产品等同于 AM4-64,NM4-64 染料能用于固定细胞染色。


注意事项
1. 荧光染料应尽量注意避光,以减缓荧光淬灭。
2. 为了您的安全和健康,请穿实验服并戴一次性手套操作。
3. 产品仅供科研。
风险提示:丁香通仅作为第三方平台,为商家信息发布提供平台空间。用户咨询产品时请注意保护个人信息及财产安全,合理判断,谨慎选购商品,商家和用户对交易行为负责。对于医疗器械类产品,请先查证核实企业经营资质和医疗器械产品注册证情况。
文献和实验Neuron:解密睡眠的新工具来了!北大李毓龙实验室开发新型组胺 GRAB 探针
293T 细胞表达的 HA1 h 探针对外源加入的组胺有 ~370% 的荧光信号响应(ΔF/F0)和 ~17 nM 的亲和力(EC50)(见下图)。 为了进一步拓展探针对组胺浓度的检测范围,研究人员筛选了来自不同物种的组胺受体,并开发了基于水熊虫 H1R 的组胺荧光探针 GRABHA1m(简称 HA1m),对外源加入的组胺有 ~590% 的荧光信号响应(ΔF/F0)和 ~380 nM 的亲和力(EC50)。 HA1 h 和 HA1m 探针能在亚秒级(~0.3-0.6 s)时间尺度上响应胞外组胺浓度变化,且几乎不激活
作用。在哺乳动物的神经系统中,钙离子是一类重要的神经元胞内信号分子,神经元静息状态下,胞内钙离子浓度约为50-100nM,而当神经元活动的时候,胞内钙离子浓度能上升10-100倍,而钙离子对于突触囊泡释放必不可少;神经元在放电的时候会爆发出一个短暂的钙离子浓度高峰,这意味着神经元钙离子浓度表征突触传递和神经元活动。神经元钙离子浓度表征突触传递和神经元活动示意图因而,神经元钙离子成像技术的原理就是借助钙离子浓度与神经元活动之间的严格对应关系,利用特殊的荧光染料或者蛋白质荧光探针(钙离子指示
中的暗淡激发光情况下,我们使用了一个背景照明CCD,在500-650nm处量子效率>90%(例如,在一个包含了大多数钙离子染料的激发峰的范围内)和高达1000的可变电子倍增增益因子(AndoriXon DV887BI)(Coates et al., 2004). 2.3. 多线TPLSM中的获取模式 我们以两种获取模式操作多线TPLSM:第一种,整个研究使用所谓“帧扫描”模式,以64束激光在X、Y方向扫描样品。因此焦平面上激发了均一性照明,假定光束阵列的横向步长尺寸没有过于
技术资料







