相关产品推荐更多 >
万千商家帮你免费找货
0 人在求购买到急需产品
- 详细信息
- 文献和实验
- 技术资料
- 保存条件:
2-8°C,干燥、避光、密封,有效期24个月
- 保质期:
24个月
- 英文名:
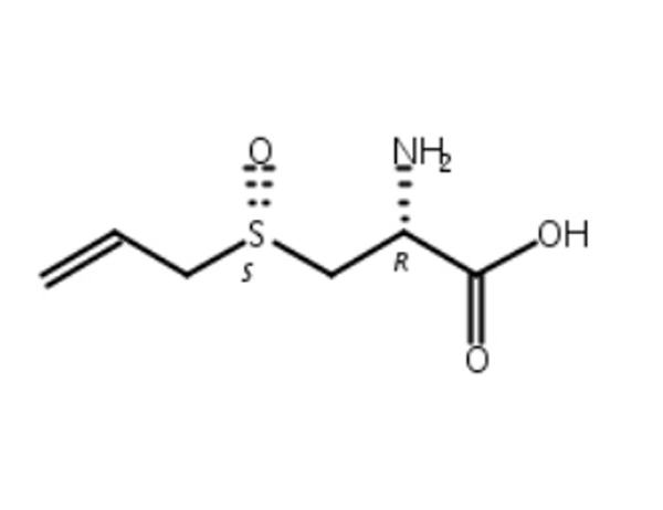
Alliin, (S)-3-(Allylsulphinyl)-L-alanine
- 库存:
现货
- 供应商:
爱必信(上海)生物科技有限公司
- CAS号:
556-27-4
- 规格:
20mg
| 来源 | 大蒜 |
| 纯度 | HPLC≥98% |
| 储存/保存方法 | 2-8°C,干燥、避光、密封,有效期24个月 |
| 产品用途 | 用于含量测定、鉴别、药理实验、活性筛选等 |
| 别名 | (S)-3-(烯丙基亚磺酰)-L-丙氨酸; (S)-3-(Allylsulphinyl)-L-alanine |
| 外观 | 结晶性粉末 |
| 可溶性/溶解性 | 易溶于水,不溶于无水乙醇、氯仿、苯。 |
风险提示:丁香通仅作为第三方平台,为商家信息发布提供平台空间。用户咨询产品时请注意保护个人信息及财产安全,合理判断,谨慎选购商品,商家和用户对交易行为负责。对于医疗器械类产品,请先查证核实企业经营资质和医疗器械产品注册证情况。
文献和实验该产品被引用文献
- 高生理活性黑蒜加工工艺优化及功能成分变化史润东东; 杨成; 余佳浩; 张建; 张连富
食品与生物技术学报. 2020 Dec 15 .
- 黑蒜制备中功能成分变化与产品品质研究史润东东
江南大学. 2020 Jun 01 ; 1
技术资料暂无技术资料 索取技术资料
文献支持
蒜氨酸,556-27-4
¥832







