相关产品推荐更多 >
万千商家帮你免费找货
0 人在求购买到急需产品
- 详细信息
- 文献和实验
- 技术资料
- 库存:
100
- 英文名:
Tubeimoside III
- CAS号:
115810-13-4
- 保质期:
2年
- 供应商:
上海晅科生物科技有限公司
- 保存条件:
避光冷藏
- 规格:
20mg/1g

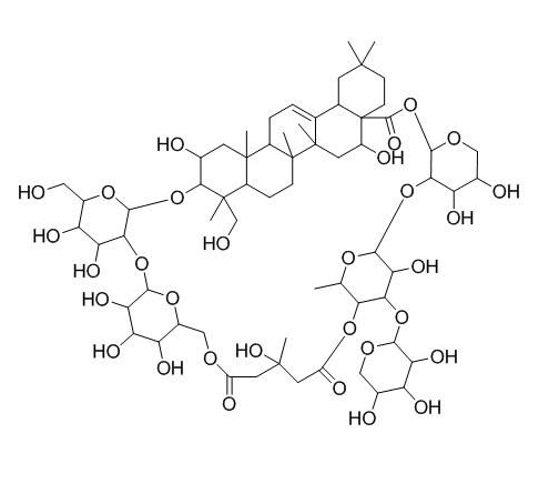
土贝母皂苷丙;土贝母苷丙 115810-13-4
Tubeimoside III CAS 115810-13-4 分子量:1365.473 分子式:C64H100O31
纯 度: HPLC98%
物理性状: 白色粉末
检测方法: 高效液相(HPLC)质谱(Mass) 核磁(NMR)
用 途: 仅供研究使用,不得用于医学诊断。
包 装: 20mg~1g 棕色玻璃瓶。
储存条件: 贮存在避光密闭容器中,冷藏或者冷冻长期保存。
样品溶液现配现用。如果特殊情况需要提前配制的话,最好分成独立包装冷冻保存(-20℃以下),临用前再取出解冻,通常可以保存2周。
植物来源
土贝母Bolbostemm paniculatum.
药理研究
土贝母皂苷有显著抑制对-苯-二胺诱发豚鼠接触性皮炎的活性。


土贝母皂苷丙;土贝母苷丙 115810-13-4存储与注意事项
1. 在您收到产品后请检查产品。如无问题,请将产品存入冰箱并且样品瓶保持密封,产品可以存放长达24个月(2-8摄氏度)。
2. 只要有可能,产品溶解后,您应该在同一天应用于您的实验。 但是,如果您需要提前做预实验,或者需要全部溶解,我们建议您将溶液以等分试样的形式存放在-20℃的密封小瓶中。 通常,这些可用于长达两周。 使用前,打开样品瓶前,我们建议您将产品平衡至室温至少1小时。
3. 需要更多关于溶解度,使用和处理的建议? 请发送电子邮件至: 2115560989@qq.com。

| Apigenin 7-O-glucuronide | 芹菜素-7-O-葡萄糖醛酸苷 | 29741-09-1 |
| Fratexin | 秦皮素 | 574-84-5 |
| alpha-Dihydroartemisinin | 81496-81-3 | |
| Artemetin | 艾黄素 | 479-90-3 |
| Dihydroartemisinic acid | 二氢青蒿酸 | 85031-59-0 |
| Artesunate | 青蒿琥酯 | 88495-63-0 |
| Artemisinin | 63968-64-9 | |
| Arteannuin B | 50906-56-4 | |
| Arteannuin M | 207446-90-0 | |
| Artemether | 71963-77-4 | |
| Arteether | 75887-54-6 | |
| (+)-artemisinic acid | 青蒿酸 | 80286-58-4 |
| Artemisitene | 青蒿烯 | 101020-89-7 |
风险提示:丁香通仅作为第三方平台,为商家信息发布提供平台空间。用户咨询产品时请注意保护个人信息及财产安全,合理判断,谨慎选购商品,商家和用户对交易行为负责。对于医疗器械类产品,请先查证核实企业经营资质和医疗器械产品注册证情况。
文献和实验人基质金属蛋白酶 -13 ( MMP-13 ) 酶联免疫分析 试剂盒使用说明书 本试剂仅供研究使用 目的:本试剂盒用于测定人血清,血浆及相关液体样本中 基质金属蛋白酶-13 (MMP-13 ) 的含量。 实验原理: 本试剂盒应用双抗体夹心法测定标本中人基质金属蛋白酶 13 ( MMP-13 ) 水平。用纯化的人基质金属蛋白酶 13 ( MMP-13 ) 抗体包被微孔板,制成固相抗体,往包
接受审稿人的意见,进行一对一的修改。 12. Revised Manuscript Submitted: 意味着作者已经递交修改稿,现等待期刊检查排版。 13. Accept: 意味着编辑对作者的修改很满意,决定接受稿件。 二、审稿的一般流程 一篇 SCI 学术论文稿件在提交后,首先经过编辑对稿件是否符合所投期刊的定位以及稿件的创新性等进行初步评价。 如果不符合期刊定位或整体评价不高,编辑则会不经过同行评审,直接拒掉。 如果编辑初审认为稿件值得进一步评价,则就会进入同行评审阶段。编辑会随机或根据稿件中
The sequencing of DNA has undergone rapid improvement since the introduction of the chain-termination DNA sequencing method (1 ) and the construction of convenient single-stranded DNA cloning vectors, such as the bacteriophage M13 cloning
技术资料





