相关产品推荐更多 >
万千商家帮你免费找货
0 人在求购买到急需产品
- 详细信息
- 文献和实验
- 技术资料
- 供应商:
上海博尔森生物科技有限公司
- 库存:
999
- 英文名:
ER-Tracker Green
- 规格:
20μl
ER-Tracker Green是一种具有细胞膜通透性的内质网(endoplasmic reticulum, ER)绿色荧光探针,对内质网具有高度选择性,可以用于活细胞内质网特异性荧光染色。
ER-Tracker Green为采用Molecular Probes公司的BODIPY® FL进行了荧光标记的glibenclamide。Glibenclamide即glyburide,中文名称为格列本脲,是一种常用2型糖尿病的治疗药物,可以高度结合主要定位在内质网上的包含ATP敏感的钾离子通道(KATP channel)的磺脲类(sulphonylurea)受体。因此荧光标记的glibenclamide就可以用作内质网特异性的荧光探针。ER-Tracker Green适用于活细胞内质网的荧光染色,但不适合用于固定细胞内质网的荧光染色。使用本产品染色活细胞内质网的效果参考图1。
图1.ER-Tracker Green (内质网绿色荧光探针)对于NRK-52E细胞(大鼠肾小管上皮细胞)的染色效果。ER-Tracker Green染色的NRK-52E细胞其内质网呈现绿色荧光(图B),Mito-Tracker Red CMXRos (C1049B)染色的NRK-52E细胞其线粒体呈现红色荧光(图C),绿色荧光、红色荧光及细胞核蓝色荧光的叠加(merge)效果见图D。其中细胞核使用Hoechst 33342 (C1027)染色。本图仅作参考,实际检测效果会因实验条件、检测仪器等的不同而存在差异。
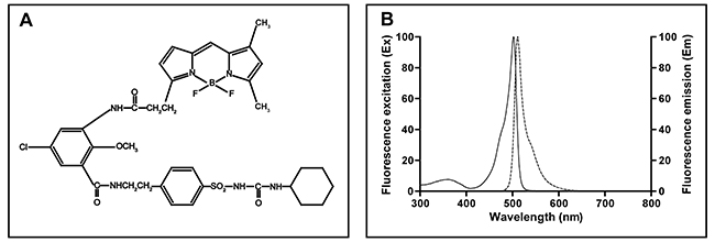
ER-Tracker Green的分子式为C37H42BClF2N6O6S,分子量为783.1。ER-Tracker Green呈绿色荧光,检测时最大激发光波长为504nm,最大发射光波长为511nm。ER-Tracker Green的化学结构式和激发、发射光谱图参考图2。
图2.ER-Tracker Green的化学结构式(A)和激发、发射光谱图(B)。
ER-Tracker Green对于细胞的毒性极低,而传统的DiOC6(3)对ER染色的同时也对细胞有一定的毒性。
本产品包装中提供了ER-Tracker Green稀释液,使ER-Tracker Green的使用更加便捷。
按照1:1000的比例稀释,可以配制20ml ER-Tracker Green工作液;按照1:3000的比例进行稀释,可以配制60ml ER-Tracker Green工作液。
保存条件:
-20℃保存,半年有效。ER-Tracker Green需-20℃避光保存。
注意事项:ER-Tracker Green (1mM)在4℃、冰浴等较低温度情况下会凝固而粘在离心管管底、管壁或管盖内,可以20-25℃水浴温育片刻至全部融解后使用。对于微量的液体,每次使用前先离心数秒钟,使液体充分沉降到管底。
荧光染料均存在淬灭问题,请尽量注意避光,以减缓荧光淬灭。
格列本脲的药理学活性可能会影响内质网的一些功能;某些特殊细胞中磺脲类受体的可变表达可能会导致非内质网特异性染色。
ER-Tracker Green适用于活细胞内质网的荧光染色,但不适合用于固定细胞内质网的荧光染色。如果经ER-Tracker Green染色后的细胞需要进行固定操作,使用在37℃固定2分钟。
ER-Tracker Green染色后的细胞不能用Triton X-100通透,Triton X-100通透处理会导致ER-Tracker Green的荧光染色消失。
需自备盖玻片和载玻片。
本产品仅限于专业人员的科学研究用,不得用于临床诊断或治疗,不得用于食品或药品,不得存放于普通住宅内。
为了您的安全和健康,请穿实验服并戴一次性手套操作。
特别提示:本公司的所有产品仅可用于科研实验,严禁用于临床医疗及其他非科研用途!
风险提示:丁香通仅作为第三方平台,为商家信息发布提供平台空间。用户咨询产品时请注意保护个人信息及财产安全,合理判断,谨慎选购商品,商家和用户对交易行为负责。对于医疗器械类产品,请先查证核实企业经营资质和医疗器械产品注册证情况。
文献和实验【求助】请问单独的GFP(绿色荧光蛋白)是不是由内质网核糖体合成?
andrew240 请问单独的GFP(绿色荧光蛋白)由内质网核糖体合成,然后进入高尔基体吗?还是在胞浆核糖体合成? 有没有相关文献证明这个的? 我想找一个确定不在内质网合成的蛋白作为对照,不知GFP合不合适。 谢谢 loneman 根据我看的教科书好像蛋白都是在内质网核糖体上翻译的吧? zhujoker 我也看看了相应的知识,感觉是长进
Detection of ER-SRC-1 Interactions Using Bioluminescent Resonance Energy Transfer
between a bioluminescent donor enzyme (Renilla luciferase) fusion protein and a fluorescent (GFP2 , a mutant of Green Fluorescent Protein) acceptor fusion protein. Optimal detection of BRET2 energy transfer relies on the distance and orientation generated by the fusion
一、实验目的 1.了解绿色荧光蛋白和共聚焦扫描显微镜在细胞分子生物学中的应用 2.学会使用质膜蛋白的分析软件。 二、带GFP的质膜蛋白分选概述 1.质膜蛋白的跨膜信号 在粗面内质网上合成的蛋白质有两类:分泌蛋白和膜蛋白,分泌蛋白在内质网上合成之后通过多种信号切除后释放到内质网的腔中,进行下游途径的转运。膜蛋白较为复杂,它要靠疏水区滞留在内质网膜上。下面以酵母二价
技术资料暂无技术资料 索取技术资料









