相关产品推荐更多 >
万千商家帮你免费找货
0 人在求购买到急需产品
- 详细信息
- 文献和实验
- 技术资料
- 保存条件:
4℃冷藏、密封、避光
- 保质期:
2-5年
- 英文名:
Corylifolinin
- 库存:
100
- 供应商:
上海晅科生物科技有限公司
- CAS号:
20784-50-3
- 规格:
5mg-1g

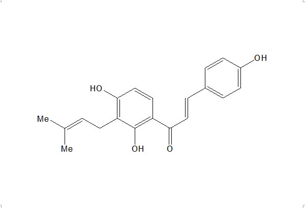
产品中文名称: 补骨脂乙素
中文别名: 异补骨脂酮、异补骨脂查耳酮
英文名: Corylifolinin
英文别名:
CAS登录号: 20784-50-3
分子式: C20H20O4
分子量: 324.37
分子结构:
外观: 白色结晶粉沫
规格: 20mg/支
纯度: ≥98%
用途: 用于含量测定/鉴定/药理实验等
提取来源:
溶解性:
熔点: 补充中
旋光度: 补充中
推荐测定方法:
中国药典测定方法: 无
贮存条件: 4℃冷藏、密封、避光
有效期: 2年
供货能力: 现货
订购信息:
为了方便客户的订购,在下单的时候请提供以下信息,以便我们快速为您建立发货信息。
产品编号(CAS No.或产品名称)
发货地址
联系方法 (联系人,电话)
如需发票的客户还请提供完整的开票信息
发票地址(发货地址与发票地址是否一致)


存储与注意事项:
1. 在您收到产品后请检查产品。如无问题,请将产品存入冰霜并且样品瓶保持密封,产品可以存放长达24个月(2-8摄氏度)。
2. 只要有可能,产品溶解后,您应该在同一天应用于您的实验。 但是,如果您需要提前做预实验,或者需要全部溶解,我们建议您将溶液以等分试样的形式存放在-20℃的密封小瓶中。 通常,这些可用于长达两周。 使用前,打开样品瓶前,我们建议您将产品平衡至室温至少1小时。
我司中药标准品/对照品仅供科研实验,不得用于注射、食用或其他用途。
风险提示:丁香通仅作为第三方平台,为商家信息发布提供平台空间。用户咨询产品时请注意保护个人信息及财产安全,合理判断,谨慎选购商品,商家和用户对交易行为负责。对于医疗器械类产品,请先查证核实企业经营资质和医疗器械产品注册证情况。
文献和实验量具;是测量药品质量的基准;也是做为校正测试仪器与方法的物质标准;在药品检验中,它是确定药品真伪优劣的对照,是控制药品质量必不可少的工具。 目前,中国药品生物制品检定所已能提供各类国家标准物质1242种,其中中药化学对照品288种,对照药材400种,两者占总数的一半以上. 国家标准品及生物参考品系指用于鉴别、检查含量或效价测定的标准物质,其制备与标定应符合“生物制品国家标准物质制备和标定规程”要求,并由国务院药品监督管理部门指定的机构分发。企业工作标准品或参考品必须经国家标准品或参考品标化后方能使用
。而今天要说的东西,目的是让您能够「做到」。 中药国粹,期待我辈振兴!!!季博有个美好的愿望,通过不断分享高分文章,让更多的人了解中药研究,继而对中药研究感兴趣。再加上帮助大家「做到」,从而推动中医中药研究,加速中药现代化。 中药研究中,大道至简,总结一句话就是「药物 E 通过调控 A 基因影响 B 信号通路抑制 C 疾病的发生发展 」。不同的疾病,研究的方式稍有不同。今天以肿瘤为例。威胁人类健康的三大杀手,第一是心脑血管病,第二是肿瘤。为啥不以第一为例呢,因为今天说的是「做到」,从可行
分离。利用中草药化学成分,在不同极性溶剂中的溶解度进行分离纯化,是最常用的方法。 广而言之,自中草药提取溶液中加入另一种溶剂,析出其中某种或某些成分,或析出其杂质,也是一种溶剂分离的方法。中草药的水提液中常含有树胶、粘液质、蛋白质、糊化淀粉等,可以加入一定量的乙醇,使这些不溶于乙醇的成分自溶液中沉淀析出,而达到与其它成分分离的目的。例如自中草药提取液中除去这些杂质,或自白及水提取液中获得白及胶,可采用加乙醇沉淀法;自新鲜括楼根汁中制取天花粉素,可滴人丙酮使分次沉淀析出。目前,提取
技术资料暂无技术资料 索取技术资料






