3 年
手机商铺
技术资料/正文
186 人阅读发布时间:2024-12-09 13:46

粒曼生物专注于高通量基因编辑工具研发
服务新药研发与基础研究
基于基因组学的精准医学研究已取得初步成效,但基因转录和翻译过程的复杂性阻碍了因果基因的识别,进而限制了精准医学的发展。蛋白质能够直接反映人体的生物过程和病理变化,是理解疾病机制和开发新疗法的关键。
近年来,高通量蛋白质组学的技术进步为系统地研究健康状态和疾病的蛋白质谱提供了绝.佳的机会,有助于理解机制、生物标志物识别、风险预测、药物不良反应的早期发现和衰老。尽管如此,目前大多数蛋白质组学研究仅关注有限的疾病结果,很多疾病尚未得到充分探讨,缺乏全面的人类蛋白质组和表型组的关联图谱。
粒曼团队专注于高通量基因编辑技术的研发,正逐步与高通量蛋白质组学技术深度融合,在扰动蛋白质组学研究、大规模生物标记物验证、潜在药物靶点筛选及验证等领域成为常规技术手段,在基础研究、疾病早期筛查和药物靶点发现等发挥不可或缺的作用。
近期,复旦大学的郁金泰教授、毛颖教授、程炜教授和冯建峰教授联合通讯,在《Cell》杂志在线发表了题为《Atlas of the Plasma Proteome in Health and Disease in 53,026 Adults》的研究论文,全面绘制了人类健康与疾病的蛋白质组图谱,揭示了血浆蛋白质在健康与多种疾病状态中的表达变化,为疾病的早期诊断、风险预测以及潜在治疗靶点的发现提供了宝贵的信息。

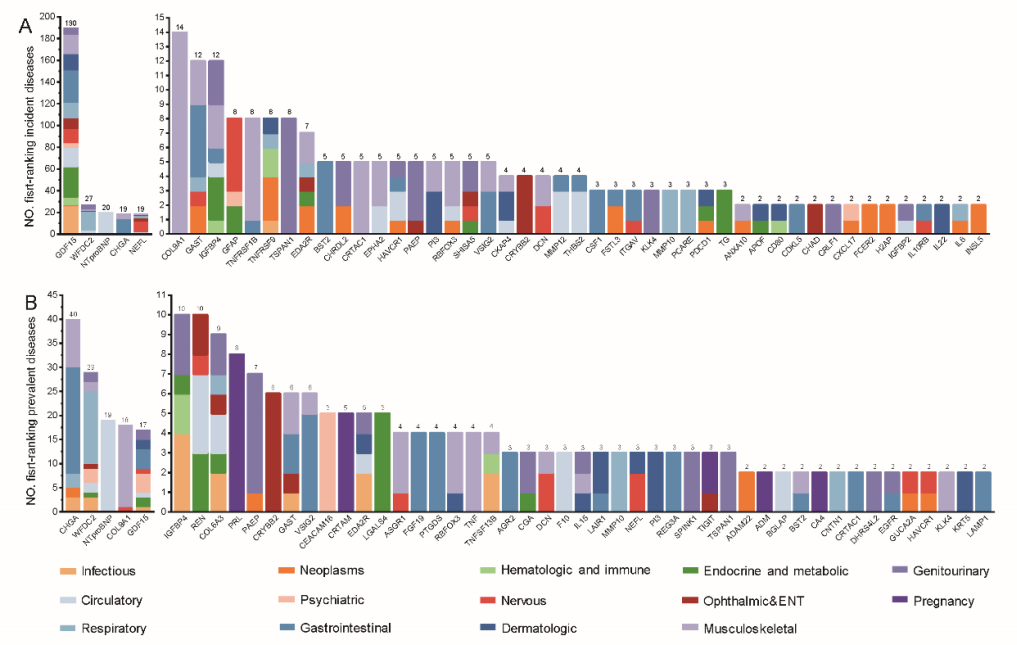
该蛋白质图谱展示了168,100种蛋白质与疾病的关联,及554,488种蛋白质与各种健康性状的关系。研究揭示了至少50种疾病与650多种蛋白质的关联,以及超过1000种蛋白质在性别和年龄上存在的异质性。尤其令人瞩目的是,研究发现蛋白质在疾病识别方面具有显著潜力,183种疾病的曲线下面积(AUC)超过0.80,表现出优秀的预测能力。

通过进一步整合蛋白质数量性状位点(pQTL)和疾病全基因组关联研究(GWAS)数据,孟德尔随机化分析(MR)确定了474个具有潜在因果关联的蛋白质-疾病对,其中与神经精神疾病相关的蛋白质有18个。并且确定了37种具有药物再利用潜力的靶点。此外,26种蛋白质被证明在药物安全性上具有良好表现,为未来的药物研发和治疗提供了新的方向。
该研究不仅为蛋白质组学提供了全新的视角,也创建了一个开放获取的综合蛋白质-表型资源平台(proteome-phenome-atlas.com),为全球科学家提供了宝贵的数据资源,帮助加深对疾病生物学机制的理解,加速疾病生物标志物、预测模型和治疗靶点的开发。

未来,蛋白质组学与机器学习技术的结合将进一步推动健康状态和疾病状态的研究。通过大规模蛋白质组数据的挖掘,结合先进的机器学习模型,可以更有效地识别多种疾病的生物标志物和预测模型,为早期诊断和个性化治疗提供可靠依据。
随着全球人口的快速增长和老龄化,疾病预防和治疗的需求不断增加。精准医学的推进需要从基础研究到临床应用的全方位支持,而蛋白质组学无疑为这一进程提供了强有力的工具和数据支持。随着这项技术的不断发展,我们有理由相信,未来的医学将更加精准、高效,并为个体化治疗带来更多希望。
粒曼团队针对该文章中所涉及的2920种血浆蛋白质,在人/鼠源细胞系体外模型上,全部完成上述基因的KO敲除细胞系现货构建,欢迎相关研究团队联系我们!粒曼团队希望可以加速和助力您的产品研发和基础研究!