相关产品推荐更多 >
万千商家帮你免费找货
0 人在求购买到急需产品
- 详细信息
- 文献和实验
- 技术资料
- 规格:
100g
| CAS Number | Chemical Formula | Molecular Weight | Purity | Grade |
| 9004-67-5 | - | - | - | Reagent grade |
基本信息(General Information):
| Name (Chinese) | 甲基纤维素4000cP | ![]() |
| Name (English) | Methyl cellulose | |
| Specifications | Reagent grade, viscosity: 4,000 cP | |
| Synonym (Chinese) | 纤维素甲 醚 | |
| Synonym (English) | Methylcellulose; MC | |
| Beilstein Registry No | - | |
| EINECS Number | - | |
| MDL Number | MFCD00081763 | |
| UNSPSC Code | 12352200 |
产品描述(Description):
| Application | 甲基纤维素已使用于: •菌落形成分析 •精子活动性评估 •球状细胞的生成 •制备琼脂珠 |
| Biochem/physiol Actions | 甲基纤维素通过乳化作用稳定油、水和空气混合物的稳定性,如泡沫。甲基纤维素用作各种粘合剂的粘合剂和增稠剂。它也被用来治疗便秘 |
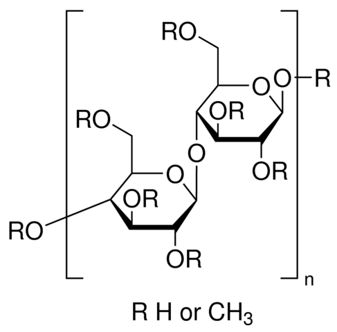
| General description | 甲基纤维素是一种水溶性非离子聚合物,具有亲水性糖苷键,来源于多糖纤维素。 |
性质(Properties):
| viscosity | 3,500-5,600 cP, 2 % in water(20°C) |
安全信息(Safety Information):
| Hazard Pictogram Codes | - |
| Signal Word | - |
| Hazard Statements | - |
| Precautionary Statements | - |
| Personal Protective Equipment | Eyeshields, Gloves, type N95 (US), type P1 (EN143) respirator filter |
| Hazard Codes (Europe) | - |
| Risk Codes (Europe) | - |
| Safety Codes (Europe) | - |
| RIDADR | NONH for all modes of transport |
| WGK Germany | 1 |
| RTECS | - |
| Flash Point (F) | - |
| Flash Point (C) | - |
包装清单:
| 产品编号 | 产品名称 | 包装 |
| ST1510-25g | 甲基纤维素4000cP (Reagent grade) | 25g |
| ST1510-100g | 甲基纤维素4000cP (Reagent grade) | 100g |
| ST1510-500g | 甲基纤维素4000cP (Reagent grade) | 500g |
| - | 说明书 | 1份 |
保存条件:
室温保存。
注意事项:
本产品仅限于专业人员的科学研究用,不得用于临床诊断或治疗,不得用于食品或药品,不得存放于普通住宅内。
为了您的安全和健康,请穿实验服并戴一次性手套操作。
风险提示:丁香通仅作为第三方平台,为商家信息发布提供平台空间。用户咨询产品时请注意保护个人信息及财产安全,合理判断,谨慎选购商品,商家和用户对交易行为负责。对于医疗器械类产品,请先查证核实企业经营资质和医疗器械产品注册证情况。
文献和实验本制品是一种快速方便的总RNA提取试剂,可以从动物组织、植物材料、各种微生物、培养细胞等中提取总RNA。样品在RNAiso Reagent中能够充分被裂解,在加入氯仿离心后,溶液会形成上清层、中间层和有机层(下层),RNA分布在上清层中,收集上清层后,经异丙醇沉淀便可以回收得到总RNA。RNAiso Reagent具有很强的广谱性,可以适用于各种样品的总RNA提取,提取过程方便快速,整个操作在一小时内便可以完成。经本制品提取的总RNA纯度高,基本不含蛋白质及基因组 DNA,提取的RNA可以直接
实验步骤 1. Routine Protocol The following protocol is optimized for the control DNA and the primers provided with this kit. This protocol may serve as a starting point for any PCR amplification. Critical parameters
Food-Grade Corynebacteria for Enzyme Production
The expression of genes coding for heterologous extracellular enzymes or proteins in corynebacteria has provided new capacities to these industrially important microorganisms, such as the use of the culture media as sources of essential amino
技术资料暂无技术资料 索取技术资料












