相关产品推荐更多 >
万千商家帮你免费找货
0 人在求购买到急需产品
- 详细信息
- 文献和实验
- 技术资料
- 供应商:
上海纯优生物
- 库存:
大量
- 保质期:
2年
- CAS号:
17306-46-6
- 英文名:
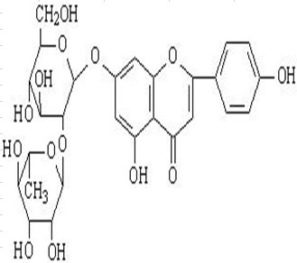
Rhoifolin
- 保存条件:
4℃避光低温密封
- 规格:
10mg/20mg
野漆树苷(CAS:17306-46-6) Rhoifolin 对照品标准品,上海纯优生物科技有限公司现货价格优惠供应,纯度≥98%(HPLC),用于含量测定及医药研究。咨询订购可致电公司。
外观:浅黄色粉末
纯度:≥98%
CAS号: 17306-46-6
英文名:Rhoifolin
别名:APIGENIN-7-NEOHESPERIDOSIDE; APIGENIN 7-O-NEOHESPERIDOSIDE; APIGENIN-7-RHAMNOGLUCOSIDE; 7-[[2-O-(6-deoxy-alpha-L-mannopyranosyl)-beta-D-glucopyranosyl]oxy]-5-hydroxy-2-(4-hydroxyphenyl)-4H-benzopyran-4-one;
分子量:578.53
产品编号:P0500
规格:最小标准规格10mg-20mg/支,根据需要另有其他规格
中文名:野漆树苷
保存条件:2-8℃避光干燥保存
分子式:C27H30O14
详情也可登录官网查询。
野漆树苷 :
上海纯优生物致力于打造一个专业的中药标准化研究服务平台,为广大客户在天然产物有效成分中草药研究及医药研发生产提供多方面的产品和技术支持。
我们专业的对照品研发及检测中心,严格的质量控制,保证标准样品的质量可控性及批量生产的稳定性,10000多种现货中药对照品标准品,出厂产品均通过全面的检测(1HNMR13CNMRMS HPLC),并随货附赠HPLC检测报告,部分可提供C、H谱图。
也可登陆公司网站直接搜索您需要的产品及了解产品的详细情况。
| P0500 | 野漆树苷 | Rhoifolin | 17306-46-6 | HPLC≥98% |
| P0798 | 丹酚酸H | Salvianolic acid H | 155576-07-1 | HPLC≥98% |
| P0926 | 葫芦巴碱盐酸盐 | Trigonelline Hydroch | 6138-41-6 | HPLC≥98% |
| P0066 | 牛蒡子苷 | Arctiin | 20362-31-6 | HPLC≥98% |
| P0078 | 20(S)-人参皂苷Rg3 | Ginsenoside-Rg3 | 14197-60-5 | HPLC≥98% |
| P0045 | 黄芩苷 | Baicalin | 21967-41-9 | HPLC≥98% |
| P0980 | 肉桂醛 | Cinnamaldehyde | 104-55-2 | HPLC≥98% |
| P0602 | 柚皮甙二氢查尔酮 | Naringin dihydrochal | 18916-17-1 | HPLC≥98% |
| P1066 | D-阿拉伯糖 | D-arabinose | 10323-20-3 | HPLC≥98% |
| P1021 | 芝麻林素 | Sesamolin | 526-07-8 | HPLC≥98% |
| P0638 | 穗花杉双黄酮 | Amentoflavone | 1617-53-4 | HPLC≥98% |
| P0753 | 圣草酚 | Eriodictyol | 552-58-9 | HPLC≥98% |
| P0981 | 反式肉桂酸 | trans-Cinnamic acid | 140-10-3 | HPLC≥98% |
| P0117 | 20(S)-人参皂苷-RH2 | 20(S)-Ginsenoside-RH | 78214-33-2 | HPLC≥98% |
| P1079 | 佛司可林 | Forskolin | 66575-29-9 | HPLC≥98% |
| P0238 | 拟人参皂苷F11 | Pseudoginsenoside F1 | 69884-00-0 | HPLC≥98% |
| P0039 | 异甘草素 | Isoliquiritigenin | 961-29-5 | HPLC≥98% |
| P0451 | 1,8-二羟基蒽醌 | 1,8-Dihydroxyanthraq | 117-10-2 | HPLC≥98% |
| P0679 | 巴西苏木素,苏枋精 | Brazilin | 474-07-7 | HPLC≥98% |
| P0439 | 马兜铃内酰胺 | aristololactam | 13395-02-3 | HPLC≥98% |
| P0195 | 酒石酸长春瑞滨 | Vinorelbine Tartrate | 125317-39-7 | HPLC≥98% |
风险提示:丁香通仅作为第三方平台,为商家信息发布提供平台空间。用户咨询产品时请注意保护个人信息及财产安全,合理判断,谨慎选购商品,商家和用户对交易行为负责。对于医疗器械类产品,请先查证核实企业经营资质和医疗器械产品注册证情况。
文献和实验[1]Rhoifolin: A promising flavonoid with potent cytotoxic and anticancer properties: molecular mechanisms and therapeutic potential.Kiliç CS, Kisla MM, Amasya G, Sengel-Türk CT, Alagöz ZA, Gençler Özkan AM, Ates I, Gümüsok S, Herrera-Bravo J, Sharifi-Rad J, Calina D.EXCLI J. 2025 Feb 25;24:289-320.
称取邻苯二甲酸二甲酯适量,用丙酮制成每毫升含50 μg的溶液,即得。 2.3 对照品溶液的制备精密称取ε-己内酰胺适量,加内标溶液制成每毫升含ε-己内酰胺46.80 μg的对照品溶液。 2.4 供试品溶液的制备 2.4.1 聚酰胺树脂称取5 g聚酰胺树脂,置索氏提取器中,加丙酮适量,加热回流4 h,丙酮提取液于40℃减压液蒸干,残渣精密加内标液2 ml使溶解,即得。 2.4.2 聚酰胺乙醇洗脱液精密吸取聚酰胺乙醇洗脱液50 ml,于50
Lympho 11,37-50,1993 17.ICSH Recommendations for Measurement of Erythrocyte Sedimentation Rate.J Clini Path 46,Rate.WHO document LAB/93.1 18.Recommendations for Standardization,Safety and Quality Control of Erythrocyte Sedimentation Rate
技术资料暂无技术资料 索取技术资料











