相关产品推荐更多 >
万千商家帮你免费找货
0 人在求购买到急需产品
- 详细信息
- 文献和实验
- 技术资料
- 库存:
18
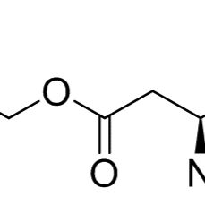
- 英文名:
L-Aspartic Acid 4-Benzyl Ester
- CAS号:
2177-63-1
- 保质期:
2年
- 供应商:
上海联迈生物工程有限公司
- 保存条件:
2-8℃
- 规格:
5g
- 英文名:
- L-Aspartic Acid 4-Benzyl Ester
- 别名:
- L-天冬氨酸 beta-苄脂;L-天门冬氨酸β-苄酯;天冬氨酸Β苄脂;L-天门冬氨酸-β-苄酯;OBZ-精氨酸苄酯;L-抗坏血酸4-苯酯;L-天冬氨酸 beta-苄酯;H-Asp(Obzl)-OH;H-L-Asp(Obzl)-OH;L-Aspartic Acid Beta-Benzyl Ester;Asparti
- CAS号:
- 2177-63-1
- 分子式:
- C11H13NO4
- 分子量:
- 223.23
- MDL:
- MFCD00037208

- 熔点: 225℃
- 沸点: 413.1℃ at 760 mmHg
- 外观: 白色粉末
- 储存条件: 2-8℃
- 注意:部分产品我司仅能提供部分信息,我司不保证所提供信息的权威性,仅供客户参考交流研究之用。
风险提示:丁香通仅作为第三方平台,为商家信息发布提供平台空间。用户咨询产品时请注意保护个人信息及财产安全,合理判断,谨慎选购商品,商家和用户对交易行为负责。对于医疗器械类产品,请先查证核实企业经营资质和医疗器械产品注册证情况。
文献和实验Nature 子刊:确定男性避孕关键基因,敲除后 98% 精子形态异常
的是,缺乏该基因也会引起严重的不育症,导致一种称为少精症的病症。这是人类男性不育症中最常见的情况,显示产生的精子数量减少、活动速度减慢和精子形状扭曲,因此精子无法与卵子融合。 在这项研究中,在雄性小鼠中敲除基因 Arrdc5 后,其产生的精子数量减少了 28%,移动速度比正常小鼠慢了 2.8 倍,大约 98% 的精子头部和中段异常。该结果表明,该基因编码的蛋白质是正常精子生产所必需的。 图片来源:Nature Communications 该研究团队表示,他们已经申请了一项临时专利,用于开发
前列地尔是当今国际上公认的新一代广谱内源性药物,临床用于多种疾病的治疗或辅助用药,我国每年的前列地尔制剂销售额达20亿。前列地尔也叫前列腺素E1,水溶性差,不耐热,对血管有强烈刺激性。前列地尔脂肪乳可以克服粉针剂药物利用度低,副作用大的缺陷。然而,由于前列地尔特殊的理化性质,普通的脂肪乳载药量低,热压灭菌过程中药物会转化为前列腺素A。PC-98T是日本丘比株式会社专为前列地尔而研制出的一款乳化剂,是磷脂酰胆碱含量不少于98%的纯白色粉末状高纯度蛋黄卵磷脂,也是我国有注册批文的纯度最高的蛋黄
1、仪器组成及开机1.1 仪器组成WB-98A型片剂脆碎度测定仪由右鼓(R)、左鼓(L)(也称圆筒)、挡板、显示窗、防脱钮、定位销等组成。1.2 开机使用时接通电源。2、测定操作2.1 接通电源线后,指示灯亮,开启电源开关,同时听到一声鸣响,时间显示4min(04:00)。2.2 如特殊需要,可通过时间设定键调整,每按一次,时间可增加或减少1min。2.3 将待测样品按药典附录规定小心除去片剂表面松散的粉末或颗粒,精密称定。2.4 取下防脱钮,摘下圆筒并打开,放入样品,将圆筒重新安装在转轴
技术资料暂无技术资料 索取技术资料









