相关产品推荐更多 >
万千商家帮你免费找货
0 人在求购买到急需产品
- 详细信息
- 文献和实验
- 技术资料
- 保存条件:
ITTABIO
- 保质期:
3年
- 英文名:
AMPNa2
- 库存:
55
- 供应商:
北京伊塔生物科技有限公司
- CAS号:
4578-31-8
- 规格:
1g
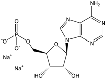
AMPNa2 4578-31-8 AMPNa2 4578-31-8 名称:AMPNa2 4578-31-8 AMPNa2 4578-31-8 货号:YT0281 英文名称:AMPNa2 品牌:伊塔生物 CAS:4578-31-8 规格:1g,
| 英文别名(English Synonym) |
Adenosine-5’-monophosphate disodium salt;5’-AMP⋅2Na; |
| 中文别名(Chinese Synonym) |
5'-腺嘌呤核苷酸二钠盐;5'-腺苷酸二钠盐; |
| CAS号(CAS NO.) |
4578-31-8 |
| 分子式(Formula) |
C10H12N5O7PNa2 |
| 分子量(Molecular Weight) |
391.19(anhydrous) g/mol |
| 外观(Appearance) |
白色结晶粉末 |
| A250/A260 |
0.79-0.90 |
| A280/A260 |
0.18-0.22 |
| 纯度(Purity) |
≥99% |
| 溶解性(Solubility) |
溶于水(50mg/ml),DMSO,甲醇 |
| 结构式(Structure) |
|
单磷酸腺苷(Adenosine Monophosphate,简称AMP),又名5'-腺嘌呤核苷酸或腺苷酸,是一种在核糖核酸(RNA)中发现的核苷酸,广泛存在于自然界中。结构上由磷酸盐官能团、戊糖核酸糖及碱基腺嘌呤所组成。可结合磷酸基团形成二磷酸腺苷(ADP)和三磷酸腺苷信号(ATP)。也是ATP完全水解的产物。细胞信号转导中AMP可作为AMPK激酶(AMP-activated protein kinase)的激活剂。

风险提示:丁香通仅作为第三方平台,为商家信息发布提供平台空间。用户咨询产品时请注意保护个人信息及财产安全,合理判断,谨慎选购商品,商家和用户对交易行为负责。对于医疗器械类产品,请先查证核实企业经营资质和医疗器械产品注册证情况。
文献和实验«Inhibitory effects of aan aqueous extract from Cortex Phellodendri on the growth and replication of broad-spectrum of viruses in vitro and in vivo»作者Jae-Hoon Kim 影响因子PMID: 27484768PMCID: PMC4970287DOI: 10.1186/s12906-016-1206-x Faecalicatena absiaana sp. nov., an obligately anaerobic bacterium from a pig farm faeces dump.作者Shin Y, Paek J, Kim H, Kook JK, Chang YH.Int J Syst Evol Microbiol. 2022 Feb;72(2). 影响因子doi: 10.1099/ijsem.0.005238.PMID: 35159617
南京大学医学院附属鼓楼医院内分泌科毕艳教授团队和南京大学生命科学学院张辰宇、李靓教授团队合作,首次发现外泌体可介导脂肪-大脑间通讯并促进糖尿病认知功能障碍的发生。研究成果发表在国际著名期刊《Cell Metabolism》上。研究背景:糖尿病显著增加认知障碍的发生风险,严重影响老年人健康生存状态。临床研究表明控制血糖不能保护认知功能,因此需要进一步揭示糖尿病认知功能障碍的机制,寻找治疗糖尿病认知障碍的新策略。脂肪组织外泌体作为新型脂肪因子,可参与脂肪组织与其他外周组织器官间的生物
CD31 分子 CD31 常用单克隆抗体或代号: SG134,TM3,HEC- 75;(PECAM、EndoCAM) 主要表达细胞: Pt,M,G,B,NK,Tsub [AS] 分子质量(kDa)和结构: gp140,血小板GPⅡa(IgSF) 功 能: 嗜同性或嗜异性(与CD38互为受体)粘附,炎症,En功能 CD31 Aka
佚名 一、颈部浅结构 1.皮肤 颈部的皮肤较薄,活动性较大,横纹明显,手术时,宜作横切口,以利愈合。 2.浅筋膜 颈部的浅筋膜一般较薄,含有少量脂肪,在颈前部和颈外侧部浅筋膜内含有颈阔肌。浅筋膜内还有浅静脉、浅淋巴结和皮神经,均位于颈阔肌的深面。 (一)颈阔肌 platysma(图31-1)为阔而薄的肌片
技术资料需要更多技术资料 索取更多技术资料









