万千商家帮你免费找货
0 人在求购买到急需产品
- 详细信息
- 询价记录
- 文献和实验
- 技术资料
- 保存条件:
2-8℃
- 保质期:
5年
- 英文名:
GentamycinSulfate
- 库存:
99
- 供应商:
北京伊塔生物科技有限公司
- CAS号:
1405-41-0
- 规格:
500mg
硫酸庆大霉素 庆大霉素 1405-41-0 庆大霉素 1405-41-0
| 英文别名(English Synonym) |
Gentamicin Sulfate Salt; NSC-82261; SCH9724 |
| 中文名称 (Chinese Name) |
硫酸庆大霉素 |
| 靶点(Target) |
Aminoglycoside |
| 通路(Pathway) |
Anti-infection |
| CAS号(CAS NO.) |
1405-41-0 |
| 分子式(Formula) |
|
| 外观(Appearance) |
粉末 |
| 活力(Potency) |
≥590 IU/mg |
| 溶解性(Solubility) |
溶于水,几乎不溶于乙醇等有机试剂 |
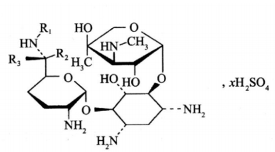
| 结构式(Structure) |
|
Gentamycin Sulfate (NSC-82261, SCH9724, Gentamicin sulfate salt) 硫酸庆大霉素是一种广谱的氨基糖苷类抗生素,对大量革兰阴性细菌及革兰阳性菌都有良好抗菌能力,甚至包括某些β-内酰胺敏感的抗万古霉素(VRE)肠球菌,和耐糖肽抗生素的一些“超级细菌”。其抑菌机理在于通过与细菌核糖体30S亚基结合导致密码子错误,阻断肽酰-tRNA从A位点到P位点的转运,从而抑制细菌蛋白质的合成,可用于细胞培养,抑制蛋白合成。

风险提示:丁香通仅作为第三方平台,为商家信息发布提供平台空间。用户咨询产品时请注意保护个人信息及财产安全,合理判断,谨慎选购商品,商家和用户对交易行为负责。对于医疗器械类产品,请先查证核实企业经营资质和医疗器械产品注册证情况。
- 作者
- 内容
- 询问日期
文献和实验庆大霉素 1405-41-0
CD41 分子 CD41 常用单克隆抗体或代号: PBM6.4,PL273(integrin a Ⅱb) 主要表达细胞: Pt,Meg [Pt] 分子质量(kDa)和结构: gp120/23 功 能: 血小板凝集和活化Fb,结合ECM(FB,vWF)的受体,与CD61组成二聚体 CD41 Aka platelet GPIIb Receptor
氨基苷( aminoglycoside)性抗菌素,有与卡那霉素相类似的抗菌作用。因而其作用机制亦与链霉素相似而引起 mRNA的误读,呈现出蛋白质生物合成初期的障碍。
真香!用 qPCR 做外泌体研究,南京医科大学拿下 41 分 SCI
外泌体是由细胞分泌的包含 RNA 和蛋白质的小囊泡(30~150 nm),它可将源自亲代细胞的特定物质递送至疾病发展相关的受体细胞,因此一直被认为可作为疾病进展的潜在生物标志物用于诊断,但具体机制仍不清楚。 外泌体 RNA 作为癌症诊断标志物是否可行? CircLPAR1 是外泌体中的环状 RNA 分子,在结直肠癌(CRC)患者血浆外泌体中会发生显著变化。南京医科大学团队在 Molecular cancer 发文[1],通过对 CRC 特异性的外泌体 circRNA 进行鉴定和富集,最后使用
技术资料







