相关产品推荐更多 >
万千商家帮你免费找货
0 人在求购买到急需产品
- 详细信息
- 文献和实验
- 技术资料
- 库存:
18
- 英文名:
Gallamine triethiodide
- CAS号:
65-29-2
- 保质期:
2年
- 供应商:
上海联迈生物工程有限公司
- 保存条件:
2-8℃
- 规格:
1g
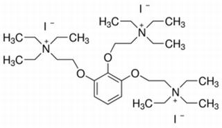
- 英文名:
- Gallamine triethiodide
- 别名:
- 加拉碘铵;2-[2,6-双(2-三乙基铵乙氧基)苯氧基]乙基三乙基铵三碘化物;驰肌碘;碘化浸酚铵
- CAS号:
- 65-29-2
- 分子式:
- C30H60I3N3O3
- 分子量:
- 891.53
- MDL:
- MFCD00011832

- 介绍:
加拉碘铵
- 溶解性: DMSO 178 mg/mL Water 178 mg/mL Ethanol <1 mg/mL
- 储存条件: 2-8℃
- 注意:部分产品我司仅能提供部分信息,我司不保证所提供信息的权威性,仅供客户参考交流研究之用。
风险提示:丁香通仅作为第三方平台,为商家信息发布提供平台空间。用户咨询产品时请注意保护个人信息及财产安全,合理判断,谨慎选购商品,商家和用户对交易行为负责。对于医疗器械类产品,请先查证核实企业经营资质和医疗器械产品注册证情况。
文献和实验27 4.24 3.65 3.31 3.08 2.92 2.80 2.71 2.63 2.57 2.47 2.36 2.25 2.13 2.00 1.85 27 28 4.22 3.63 3.29 3.06 2.90 2.78 2.69 2.61 2.55 2.45 2.34 2.23 2.11 1.98 1.83 28 29 4.20 3.61 3.27 3.04 2.88 2.76 2.67 2.59 2.53 2.43 2.32 2.21 2.09 1.96 1.81 29
锝(technetium) Tc 43 (98) 碲(tellurium) Te 52 127.60 铽(terbium) Tb 65
4.908g 9.815g 14.723g H2 O mQ 90.62 47.42ml 94.84ml 142.3ml Conc. Stock %(w/w) 50ml 100ml 150ml KC2 H3 O2 5M 98.15g/M 40.29 24.54g 49.08g 73.61g H2 O mQ 59.71
技术资料暂无技术资料 索取技术资料










