相关产品推荐更多 >
万千商家帮你免费找货
0 人在求购买到急需产品
- 详细信息
- 文献和实验
- 技术资料
- 库存:
18
- 英文名:
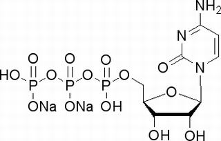
5′-CTP,3Na
- CAS号:
123334-07-6
- 保质期:
2年
- 供应商:
上海联迈生物工程有限公司
- 保存条件:
-20℃
- 规格:
1g
- 文名:
- 5′-CTP,3Na
- 别名:
- 5-胞嘧啶核苷三磷酸三钠盐;胞苷-5′-三磷酸三钠盐
- CAS号:
- 123334-07-6
- 分子式:
- C9H13N3O14P3Na3
- 分子量:
- 549

- 外观: 白色粉末
- 敏感性: 易吸潮
- 储存条件: -20℃
- 注意:部分产品我司仅能提供部分信息,我司不保证所提供信息的权威性,仅供客户参考交流研究之用。
风险提示:丁香通仅作为第三方平台,为商家信息发布提供平台空间。用户咨询产品时请注意保护个人信息及财产安全,合理判断,谨慎选购商品,商家和用户对交易行为负责。对于医疗器械类产品,请先查证核实企业经营资质和医疗器械产品注册证情况。
文献和实验g氢氧化钠,溶于水中,再加入4g亚铁氰化钾,完全溶解后,用水稀释至1000ml,贮存于橡胶塞玻璃瓶内。 3、 乙酸锌溶液:称取21.9g乙酸锌,加3ml冰乙酸,加水溶解并稀释至100ml。 4、 10.6%亚铁氰化钾溶液。 5、 盐酸、6mol/L盐酸、20%氢氧化钠 6、 葡萄糖标准溶液:精密称取1.000g经过98~100℃干燥至恒量的纯葡萄糖,加水溶解后加入5ml盐酸,并以水稀释至1000ml。此溶液每毫升相当于1mg葡萄糖。 三
、封片、镜检。 三、常用抗原修复方法 用于福尔马林固定的石蜡包埋组织切片:1、抗原热修复 可根据实验室的具体条件,选用微波炉抗原修复、高压锅抗原修复或水浴高温抗原修复。抗原热修复可选用各种缓冲液,如 TBS、PBS、重金属盐溶液等,但实验证明,以 0.01M 枸橼酸盐缓冲液(pH6.0)效果最好。请选用我公司提供的 ZLI-9064 枸橼酸盐缓冲液(粉剂)配制,取该粉剂一包溶于1000ml 的蒸馏水中,混匀,其 pH 值在 6.0 ± 0.1,如因蒸馏水本身造成的 pH 值偏差,请自行调整
【摘要】 目的:建立三磷酸胞苷二钠注射液含量测定方法。方法:采用高效液相色谱法(HPLC)。结果:此法可使三磷酸胞苷二钠与二磷酸胞苷二钠、一磷酸胞苷二钠得到非常好的分离。结论:本法适用于本制剂的质量控制。 【关键词】 三磷酸胞苷二钠;高效液相色谱法;反相柱 三磷酸胞苷二钠(CTP)是一种核苷类药物,在体内参与核酸及磷脂的合成代谢,促进蛋白质的合成,临床上主要用于治疗多种原因引起的神经系统疾病及血管硬化症。CTP非常不稳定,属于热敏感药物,其降产物为二磷酸胞苷
技术资料暂无技术资料 索取技术资料









