万千商家帮你免费找货
0 人在求购买到急需产品
- 详细信息
- 技术资料
- 库存:
52
- 英文名:
Fuziline
- CAS号:
80665-72-1
- 保质期:
详见说明书
- 供应商:
上海西格
- 保存条件:
低温冷藏
- 规格:
20mg/50mg/1g,可按客户需求包装!
优势:
产品仅供科研使用1. 国内对照品行业*,长达14年对照品的专业及标准制定
2. 高效稳定的纯化技术-高速逆流色谱技术的运用
3. 特有的高速逆流色谱对照品中心及中心,保证对照品的质量可控性及批量的稳定性
4. 严格的质量控制,通过全面的检测(1HNMR 13CNMR MS HPLC)
5. 部分对照品已获得国家质量监督检验检疫总局颁发的标准物质证书
6. 完善的库存及供应体系,所有产品均能现货供应
7. 高效的销售团队,99%的咨询可即时回复。
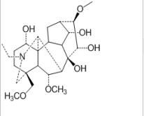
产品名称 附子灵
英文名称 Fuziline
分 子 量: 453.58
CAS NO.: 80665-72-1
纯 度: ≥98%
分子式: C24H39NO7

性状: 白色晶体
规格: 10mg/20mg/50mg,可按客户需求包装!
用途: 用于科研研究、鉴定、药理实验等
熔点: 208~209 ℃
溶解性: 可溶于甲醇、、DMSO等溶剂。
提取来源: 毛茛科植物乌头aconitum carmichaeli debx.的根
药理药效: 具有一定的消炎、抗肿瘤作用。
鉴别方法: NMR; MS
检测方法: 补充中
贮存条件: 低温冷藏,避光,密封,干燥
注意事项: 无
关于标准品、对照品的问题:
(一)来源:
依照有关规定,中国用于药品成品检验的标准品(对照品)来源有:一是中国药品生物制品检定所提供的标准品(对照品);二是其他国家的标准品(对照品);三是省级以上药品检验所标定,并经同级食 品药品监管局批准的标准品(对照品)。
(二)有效期和使用说明书:
中国药品生物制品检定所提供的标准品(对照品)大部分均无使用说明书和使用期限,大都沿用新的批号出现、旧的批号自动停止的管理方式。
(三)使用过程:
工作标准品(对照品)虽经有关部门认可,但要求有标化日期、复标日期、贮存条件、使用等相关文件规定,并做好相应记录。
(四)验证问题:
按标准品(对照品)管理要求,使用前应对其进行验证,确认无误后方可使用。
(五)开封问题:
对已开封的标准品(对照品)管理方面的问题应做严格的规定,不应同未开封的标准品(对照品)放在一起继续使用,包装上应做好相关标识,说明是否已开封过、何时开封的,内含多少量等相关信息。
特性分为五大类:
1、化学成分类:标准物质,纯的化合物或是有代表性的基体样品,天然的或添加(被)分析物的(如,用作农药残留分析的添加了杀虫剂的动物脂肪),以一种或多种化学或物理化学特性值表征。
2、生物和临床特性类:与目录A相似的标准物质,但以一种或多种生化或临床特性值表征,如酶活性。
3、物理特性类:以一种或多种物理特性值表征的标准物质,如熔点、粘性和密度。
4、工程特性类:以一种或多种工程特性值表征的标准物质,如硬度、拉伸强度和表面特性。
5、其他特性。这些类别又被细分为三级子类,例如,在化学成分类中,以微量锰、硅、铜、镍和铬含量表征的铝合金,列于化学成分一金属一有色金属一铝合金的子类中;在化学成分类别中,标准物质还可进一步被分为单一成分的标准物质和基体标准物质两大类;单一成分的标准物质是纯物质(元素或化合物),或纯度、浓度、熔点、熔化焓值、粘度、紫外可见光吸光率、闪点等参考值已精确确定的纯物质的溶液;这类标准物质的重要用途之一是分析仪器的检定或校准。
中国仓鼠卵巢细胞;CTLA4 Ig-24硬脂酸镁Magnesium stearate质量规格:BR
PTPN12 Others Human 人 PTPN12 (aa 1-355) 杆状病毒-昆虫细胞裂解液 (阳性对照) 孔雀石绿盐酸盐(>90%,BS)Malachite green hydrochloride质量规格:>90%,BS
海马神经应细胞Many types of cells包装:5 × 105方(1ml)无水硫酸锰(>98%,BR)Manganese (II )sulfate anhydrous质量规格:>98%,BR
人间充质干细胞-脂肪 人骨髓横纹肌肉癌细胞,SJCRH30[RC13;RMS 13;SJRH30]细胞 MFC(胃癌细胞)丙硫异烟胺Prothionamide质量规格:>98.5%,BR
人成骨肉瘤细胞;MG-63丙硫异烟胺(标准品)Prothionamide质量规格:>98%,标准品
人结直肠腺癌细胞;COLO 320DM [COLO320DM]达比加群Dabigatran质量规格:>98%,BR
CCDC47 Others Human 人 CCDC47 人细胞裂解液 (阳性对照) 瑞格列奈Repaglinide质量规格:>99%,BR
人肝动脉平滑肌细胞完全培养基 100mL瑞格列奈(标准品)Repaglinide质量规格:>99%,BR
P815细胞,小鼠肥大细胞癌细胞 V79-4(中国仓鼠肺细胞) 非洲绿猴肾细胞系/HCV-C;Vero-HCV-CD-阿拉伯糖D-(-)-Arabinose 质量规格:>98%,BR
CCL15 Protein Human 重组人 CCL15 / MIP-5 / MIP-1 delta 蛋白 (aa 46-113, His 标签)D-阿拉伯糖(标准品)D-arabinose质量规格:HPLC≥98%,标准品
原代内皮细胞培养特制添加剂Many types of cells包装:5/2.5/1ml强力霉素磺基水杨酸质量规格:美国进口Doxycycline ssa
IL20RB Others Rat 大鼠 IL20RB 人细胞裂解液 (阳性对照) 强力霉素海克酸盐质量规格:美国进口Doxycycline Hyclate
大鼠子宫平滑肌细胞完全培养基 100mL帕米1酸二钠盐质量规格:美国进口Pamidronate, Di Salt
CHO-K1仓鼠卵巢细胞亚株 CHO-K1 Chinese hamster ova
附子灵80665-72-1折扣猫源细胞,英文名或英文缩写:potewwium bromate,级别:AR,70%,规格:25克
杂交瘤(B类);Z51B3C10H12A12G2F7B5 小鼠表皮角质形成细胞完全培养基 100mL4-苄基基-7-硝基... 4-Benzylamino-7-nitro-2,1,3-benzoxadia... 18378-20-6 500MG 通用试剂
BRL 3A, 大鼠肝正常细胞 Rattus柠檬醋 litxium citrctq;Citric ccid trilitxium sclt;Litcrqx;Lithonctq S 919-16-4
IL1RAPL2 Others Human 人 IL1R9 / IL1RAPL2 / IL1 Receptor 9 人细胞裂解液 (阳性对照) 透析袋夹shēng huà shì jì容量:1条
人角膜细胞裂解物HKLPH浓缩缓冲标准液(PH=4.0)NA
公司提供多品牌、多规格、纯度高、质量可靠、实验稳定标准品及对照品,产品仅供科研使用公司能提供的标准品及对照品多达3000多种,同时满足工业、教学、生化领域对标准品及对照品的需求,我们提供分子量、分子式、CAS号、价格、折扣、优惠、促销、库存、等产品信息,有需要附子灵80665-72-1折扣的顾客可联系我们,我们24小时在线解答。
产品仅供科研使用1. 国内对照品行业*,长达14年对照品的专业及标准制定
2. 高效稳定的纯化技术-高速逆流色谱技术的运用
3. 特有的高速逆流色谱对照品中心及中心,保证对照品的质量可控性及批量的稳定性
4. 严格的质量控制,通过全面的检测(1HNMR 13CNMR MS HPLC)
5. 部分对照品已获得国家质量监督检验检疫总局颁发的标准物质证书
6. 完善的库存及供应体系,所有产品均能现货供应
7. 高效的销售团队,99%的咨询可即时回复。
| 产品名称 | 附子灵80665-72-1折扣 |
| 英文名称 | Fuziline |
| CAS | 80665-72-1 |
英文名称 Fuziline
分 子 量: 453.58
CAS NO.: 80665-72-1
纯 度: ≥98%
分子式: C24H39NO7

性状: 白色晶体
规格: 10mg/20mg/50mg,可按客户需求包装!
用途: 用于科研研究、鉴定、药理实验等
熔点: 208~209 ℃
溶解性: 可溶于甲醇、、DMSO等溶剂。
提取来源: 毛茛科植物乌头aconitum carmichaeli debx.的根
药理药效: 具有一定的消炎、抗肿瘤作用。
鉴别方法: NMR; MS
检测方法: 补充中
贮存条件: 低温冷藏,避光,密封,干燥
注意事项: 无
关于标准品、对照品的问题:
(一)来源:
依照有关规定,中国用于药品成品检验的标准品(对照品)来源有:一是中国药品生物制品检定所提供的标准品(对照品);二是其他国家的标准品(对照品);三是省级以上药品检验所标定,并经同级食 品药品监管局批准的标准品(对照品)。
(二)有效期和使用说明书:
中国药品生物制品检定所提供的标准品(对照品)大部分均无使用说明书和使用期限,大都沿用新的批号出现、旧的批号自动停止的管理方式。
(三)使用过程:
工作标准品(对照品)虽经有关部门认可,但要求有标化日期、复标日期、贮存条件、使用等相关文件规定,并做好相应记录。
(四)验证问题:
按标准品(对照品)管理要求,使用前应对其进行验证,确认无误后方可使用。
(五)开封问题:
对已开封的标准品(对照品)管理方面的问题应做严格的规定,不应同未开封的标准品(对照品)放在一起继续使用,包装上应做好相关标识,说明是否已开封过、何时开封的,内含多少量等相关信息。
特性分为五大类:
1、化学成分类:标准物质,纯的化合物或是有代表性的基体样品,天然的或添加(被)分析物的(如,用作农药残留分析的添加了杀虫剂的动物脂肪),以一种或多种化学或物理化学特性值表征。
2、生物和临床特性类:与目录A相似的标准物质,但以一种或多种生化或临床特性值表征,如酶活性。
3、物理特性类:以一种或多种物理特性值表征的标准物质,如熔点、粘性和密度。
4、工程特性类:以一种或多种工程特性值表征的标准物质,如硬度、拉伸强度和表面特性。
5、其他特性。这些类别又被细分为三级子类,例如,在化学成分类中,以微量锰、硅、铜、镍和铬含量表征的铝合金,列于化学成分一金属一有色金属一铝合金的子类中;在化学成分类别中,标准物质还可进一步被分为单一成分的标准物质和基体标准物质两大类;单一成分的标准物质是纯物质(元素或化合物),或纯度、浓度、熔点、熔化焓值、粘度、紫外可见光吸光率、闪点等参考值已精确确定的纯物质的溶液;这类标准物质的重要用途之一是分析仪器的检定或校准。
中国仓鼠卵巢细胞;CTLA4 Ig-24硬脂酸镁Magnesium stearate质量规格:BR
PTPN12 Others Human 人 PTPN12 (aa 1-355) 杆状病毒-昆虫细胞裂解液 (阳性对照) 孔雀石绿盐酸盐(>90%,BS)Malachite green hydrochloride质量规格:>90%,BS
海马神经应细胞Many types of cells包装:5 × 105方(1ml)无水硫酸锰(>98%,BR)Manganese (II )sulfate anhydrous质量规格:>98%,BR
人间充质干细胞-脂肪 人骨髓横纹肌肉癌细胞,SJCRH30[RC13;RMS 13;SJRH30]细胞 MFC(胃癌细胞)丙硫异烟胺Prothionamide质量规格:>98.5%,BR
人成骨肉瘤细胞;MG-63丙硫异烟胺(标准品)Prothionamide质量规格:>98%,标准品
人结直肠腺癌细胞;COLO 320DM [COLO320DM]达比加群Dabigatran质量规格:>98%,BR
CCDC47 Others Human 人 CCDC47 人细胞裂解液 (阳性对照) 瑞格列奈Repaglinide质量规格:>99%,BR
人肝动脉平滑肌细胞完全培养基 100mL瑞格列奈(标准品)Repaglinide质量规格:>99%,BR
P815细胞,小鼠肥大细胞癌细胞 V79-4(中国仓鼠肺细胞) 非洲绿猴肾细胞系/HCV-C;Vero-HCV-CD-阿拉伯糖D-(-)-Arabinose 质量规格:>98%,BR
CCL15 Protein Human 重组人 CCL15 / MIP-5 / MIP-1 delta 蛋白 (aa 46-113, His 标签)D-阿拉伯糖(标准品)D-arabinose质量规格:HPLC≥98%,标准品
原代内皮细胞培养特制添加剂Many types of cells包装:5/2.5/1ml强力霉素磺基水杨酸质量规格:美国进口Doxycycline ssa
IL20RB Others Rat 大鼠 IL20RB 人细胞裂解液 (阳性对照) 强力霉素海克酸盐质量规格:美国进口Doxycycline Hyclate
大鼠子宫平滑肌细胞完全培养基 100mL帕米1酸二钠盐质量规格:美国进口Pamidronate, Di Salt
CHO-K1仓鼠卵巢细胞亚株 CHO-K1 Chinese hamster ova
附子灵80665-72-1折扣猫源细胞,英文名或英文缩写:potewwium bromate,级别:AR,70%,规格:25克
杂交瘤(B类);Z51B3C10H12A12G2F7B5 小鼠表皮角质形成细胞完全培养基 100mL4-苄基基-7-硝基... 4-Benzylamino-7-nitro-2,1,3-benzoxadia... 18378-20-6 500MG 通用试剂
BRL 3A, 大鼠肝正常细胞 Rattus柠檬醋 litxium citrctq;Citric ccid trilitxium sclt;Litcrqx;Lithonctq S 919-16-4
IL1RAPL2 Others Human 人 IL1R9 / IL1RAPL2 / IL1 Receptor 9 人细胞裂解液 (阳性对照) 透析袋夹shēng huà shì jì容量:1条
人角膜细胞裂解物HKLPH浓缩缓冲标准液(PH=4.0)NA
公司提供多品牌、多规格、纯度高、质量可靠、实验稳定标准品及对照品,产品仅供科研使用公司能提供的标准品及对照品多达3000多种,同时满足工业、教学、生化领域对标准品及对照品的需求,我们提供分子量、分子式、CAS号、价格、折扣、优惠、促销、库存、等产品信息,有需要附子灵80665-72-1折扣的顾客可联系我们,我们24小时在线解答。
风险提示:丁香通仅作为第三方平台,为商家信息发布提供平台空间。用户咨询产品时请注意保护个人信息及财产安全,合理判断,谨慎选购商品,商家和用户对交易行为负责。对于医疗器械类产品,请先查证核实企业经营资质和医疗器械产品注册证情况。
技术资料暂无技术资料 索取技术资料
附子灵80665-72-1折扣
询价









