相关产品推荐更多 >
万千商家帮你免费找货
0 人在求购买到急需产品
- 详细信息
- 技术资料
- 库存:
50
- 英文名:
Timosaponin BII
- CAS号:
136656-07-0
- 保质期:
详见说明书
- 供应商:
上海西格
- 保存条件:
低温冷藏
- 规格:
20mg/50mg/1g,可按客户需求包装!
仅供科研实验,不做其他用途!
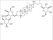
产品名称 知母皂苷BII、原知母皂苷A3
英文名称 Timosaponin BII
分 子 量: 920.5
CAS NO.: 136656-07-0
纯 度: ≥98%
分子式: C45H76O19

性状: 白色粉末
规格: 10mg/20mg/50mg,可按客户需求包装!
用途: 用于科研研究、鉴定、药理实验等
熔点: 267-272℃
溶解性: 溶于吡啶及55%乙醇,微溶于甲醇和乙酯,不溶于及氯仿等
提取来源: 单子叶植物百合科 Liliaceae 知母 Anemarrhena asphodeloides Bge. 的干燥根茎
药理药效: 知母皂苷BⅡ具有抑制血小板聚集的作用
鉴别方法: NMR; MS
检测方法: 采用C8色谱柱,柱温为30℃;以-水(体积比2l:79)为流动相,流速为1.0mL•min-1;蒸发光散射检测器检测,漂移管温度为80℃,载气压力206.85 kPa。
贮存条件: 低温冷藏,避光,密封,干燥
注意事项: 无
对照品实验方法与判定:
1.对照品溶液的稳定性
2.对照品溶液的配制:精密量取脑对照品适量,加无水乙醇制成每1ml含脑1mg的溶液,作为对照品溶液。
3.色谱条件:以交联键合聚乙二醇为固定相的毛细管柱;柱温120℃;进样口温度250℃;检测器温度250℃;分流进样,分流比10:1。理论塔板数按脑计算应不低于10000。
4.实验方法:配制的对照品溶液,一份置冷处保存,一份置室温中保存,在第1、3、7、10、15天重新配制一份对照品溶液,三种储备液同时稀释制成每1ml中约含50ug的溶液。照气相色谱法,并依据新对照品的峰面积计算原对照品溶液的含量。记录下来,保证原对照品溶液含量在考察期相对平均偏差不超过2.0%,验证对照品溶液在使用期内稳定可靠。
标准品或对照品的管理规范:
1.规范购入使用台账,严格表明购入时间、批号、来源、数量、使用期限等内容;申购的标准品或对照品的批号要与新颁布标准品或对照品批号相符;
2.严格按照规定条件进行储存,标准品或对照品的性状极不稳定,对储存条件和方式非常苛刻;
3.规范管理和使用:
(1)严格按照说明书要求,由于标准品或对照品的不稳定性,若不安产品说明书的要求操作,极易造成较大的误差,从而影响检测结果;
(2)称量精密准确,标准品和对照品的含量测定要求不同,对精密性的要求很高;
(3)对于长期贮存的制备品,应充分考虑各方面的影响因素,规范操作;
(4)同时配制两份对照溶液以控制检验误差,由于现在药品的标准含量测定方法较多采用对照比较法,在测定过程中,仅配制一份对照溶液容易造成因配制对照溶液过程出现偏差;
(5)自行标定的标准品或对照品,严格规范操作,保证标准的可靠传递,并保证其可溯源性和准确性。
下列是知母皂苷BII、原知母皂苷A3136656-07-0折扣的相关热销产品:
puno1-hccrl2 pUNO1-hCCRL2a 20 µg
puno1-hcd101 pUNO1-hCD101 20 µg
puno1-hcd116 pUNO1-hCSF2RAa 20 µg
puno1-hcd14 pUNO1-hCD14 20 µg
puno1-hcd147b pUNO1-hCD147b 20 µg
tlrl-hsv60n HSV-60 Naked 200 µg
tlrl-isdcn ISD Control Naked 200 µg
tlrl-isdn ISD Naked 200 µg
tlrl-patn Poly(dA:dT) naked 200 µg
tlrl-vav70cn VACV-70c Naked (control) 200 µg
Cefotaxime 中文名:头孢噻肟钠 分子式:C16H17N5NaO7S2 猪圆环病毒2型抗体ELISA检测试剂盒 96T/48T 试剂盒 组装/原装
Cefixime 中文名:头孢克肟 分子式:C16H15N5O7S2 猪乙型脑炎病毒抗体IgGELISA试剂盒 48T/96T 试剂盒 组装/原装
Cefcapene pivoxil 中文名:盐酸头孢卡品酯 分子式:C23H32ClN5O9S2 猪乙酰胆碱受体抗体(AChRab)ELISA试剂盒
知母皂苷BII、原知母皂苷A3136656-07-0折扣Imatinib mesylate 中文名:伊马替尼 分子式:C30H35N7O4S 度:98.0% 心肌钙蛋白 I(cTnI) 作用: ELISA 规格: 48T/96T 进口分装
Imatinib 中文名:伊马替尼 分子式:C29H31N7O 度:98.0% 细胞凋亡抑制因子BCL-2 英文名称: Cell appoptosis inhibitory BCL-2 规格: 48T/96T 英文缩写: BCL-2
Mitiglinide calcium 中文名:米格列奈钙 分子式:C19H25NO3 度:98.0% 脑源性神经营养因子 英文名称: Brain-derived Neuroophin factor 规格: 48T/96T 英文缩写: BDNF
9-Aminominocycline 中文名: 分子式:C23H29ClN4O7 度:98.0% 骨成型蛋白-2 英文名称: Bone morphogenetic protein-2 规格: 48T/96T 英文缩写: BMP-2
Minocycline 中文名: 分子式:C23H28ClN3O7 度:98.0% 骨成型蛋白-4 英文名称: Bone morphogenetic protein-4 规格: 48T/96T 英文缩写: BMP-4
订购说明:
欢迎光临本页面,客户可以浏览本页面的内容,但本页面展示的内容仅供参考,关于产品的详细信息还请以咨询为准产品仅用于科研。
客户可以直接电话沟通,双方进行商谈,达成共识后就可以签订订购协议了。
客户还可以通过我司的邮箱,留下您的求购意向,邮箱里请详细说明、数量、联系人以及联系方式,我们会主动与您进行沟通;
客户下单以后请耐心等待,我们会以最快的时间将产品送货上门,但有时候因为库存的变化,供货会稍有延迟,这纯属正常。
客户收到货以后,请先检查知母皂苷BII、原知母皂苷A3136656-07-0折扣外包装情况,看是否有破损和漏液的情况,如有此等情况,请拍照上传给我司,我司确认后可以为您退换货。
| 产品名称 | 英文名称 | CAS |
| 知母皂苷BII、原知母皂苷A3136656-07-0折扣 | Timosaponin BII | 136656-07-0 |
英文名称 Timosaponin BII
分 子 量: 920.5
CAS NO.: 136656-07-0
纯 度: ≥98%
分子式: C45H76O19

性状: 白色粉末
规格: 10mg/20mg/50mg,可按客户需求包装!
用途: 用于科研研究、鉴定、药理实验等
熔点: 267-272℃
溶解性: 溶于吡啶及55%乙醇,微溶于甲醇和乙酯,不溶于及氯仿等
提取来源: 单子叶植物百合科 Liliaceae 知母 Anemarrhena asphodeloides Bge. 的干燥根茎
药理药效: 知母皂苷BⅡ具有抑制血小板聚集的作用
鉴别方法: NMR; MS
检测方法: 采用C8色谱柱,柱温为30℃;以-水(体积比2l:79)为流动相,流速为1.0mL•min-1;蒸发光散射检测器检测,漂移管温度为80℃,载气压力206.85 kPa。
贮存条件: 低温冷藏,避光,密封,干燥
注意事项: 无
对照品实验方法与判定:
1.对照品溶液的稳定性
2.对照品溶液的配制:精密量取脑对照品适量,加无水乙醇制成每1ml含脑1mg的溶液,作为对照品溶液。
3.色谱条件:以交联键合聚乙二醇为固定相的毛细管柱;柱温120℃;进样口温度250℃;检测器温度250℃;分流进样,分流比10:1。理论塔板数按脑计算应不低于10000。
4.实验方法:配制的对照品溶液,一份置冷处保存,一份置室温中保存,在第1、3、7、10、15天重新配制一份对照品溶液,三种储备液同时稀释制成每1ml中约含50ug的溶液。照气相色谱法,并依据新对照品的峰面积计算原对照品溶液的含量。记录下来,保证原对照品溶液含量在考察期相对平均偏差不超过2.0%,验证对照品溶液在使用期内稳定可靠。
标准品或对照品的管理规范:
1.规范购入使用台账,严格表明购入时间、批号、来源、数量、使用期限等内容;申购的标准品或对照品的批号要与新颁布标准品或对照品批号相符;
2.严格按照规定条件进行储存,标准品或对照品的性状极不稳定,对储存条件和方式非常苛刻;
3.规范管理和使用:
(1)严格按照说明书要求,由于标准品或对照品的不稳定性,若不安产品说明书的要求操作,极易造成较大的误差,从而影响检测结果;
(2)称量精密准确,标准品和对照品的含量测定要求不同,对精密性的要求很高;
(3)对于长期贮存的制备品,应充分考虑各方面的影响因素,规范操作;
(4)同时配制两份对照溶液以控制检验误差,由于现在药品的标准含量测定方法较多采用对照比较法,在测定过程中,仅配制一份对照溶液容易造成因配制对照溶液过程出现偏差;
(5)自行标定的标准品或对照品,严格规范操作,保证标准的可靠传递,并保证其可溯源性和准确性。
下列是知母皂苷BII、原知母皂苷A3136656-07-0折扣的相关热销产品:
puno1-hccrl2 pUNO1-hCCRL2a 20 µg
puno1-hcd101 pUNO1-hCD101 20 µg
puno1-hcd116 pUNO1-hCSF2RAa 20 µg
puno1-hcd14 pUNO1-hCD14 20 µg
puno1-hcd147b pUNO1-hCD147b 20 µg
tlrl-hsv60n HSV-60 Naked 200 µg
tlrl-isdcn ISD Control Naked 200 µg
tlrl-isdn ISD Naked 200 µg
tlrl-patn Poly(dA:dT) naked 200 µg
tlrl-vav70cn VACV-70c Naked (control) 200 µg
Cefotaxime 中文名:头孢噻肟钠 分子式:C16H17N5NaO7S2 猪圆环病毒2型抗体ELISA检测试剂盒 96T/48T 试剂盒 组装/原装
Cefixime 中文名:头孢克肟 分子式:C16H15N5O7S2 猪乙型脑炎病毒抗体IgGELISA试剂盒 48T/96T 试剂盒 组装/原装
Cefcapene pivoxil 中文名:盐酸头孢卡品酯 分子式:C23H32ClN5O9S2 猪乙酰胆碱受体抗体(AChRab)ELISA试剂盒
知母皂苷BII、原知母皂苷A3136656-07-0折扣Imatinib mesylate 中文名:伊马替尼 分子式:C30H35N7O4S 度:98.0% 心肌钙蛋白 I(cTnI) 作用: ELISA 规格: 48T/96T 进口分装
Imatinib 中文名:伊马替尼 分子式:C29H31N7O 度:98.0% 细胞凋亡抑制因子BCL-2 英文名称: Cell appoptosis inhibitory BCL-2 规格: 48T/96T 英文缩写: BCL-2
Mitiglinide calcium 中文名:米格列奈钙 分子式:C19H25NO3 度:98.0% 脑源性神经营养因子 英文名称: Brain-derived Neuroophin factor 规格: 48T/96T 英文缩写: BDNF
9-Aminominocycline 中文名: 分子式:C23H29ClN4O7 度:98.0% 骨成型蛋白-2 英文名称: Bone morphogenetic protein-2 规格: 48T/96T 英文缩写: BMP-2
Minocycline 中文名: 分子式:C23H28ClN3O7 度:98.0% 骨成型蛋白-4 英文名称: Bone morphogenetic protein-4 规格: 48T/96T 英文缩写: BMP-4
订购说明:
欢迎光临本页面,客户可以浏览本页面的内容,但本页面展示的内容仅供参考,关于产品的详细信息还请以咨询为准产品仅用于科研。
客户可以直接电话沟通,双方进行商谈,达成共识后就可以签订订购协议了。
客户还可以通过我司的邮箱,留下您的求购意向,邮箱里请详细说明、数量、联系人以及联系方式,我们会主动与您进行沟通;
客户下单以后请耐心等待,我们会以最快的时间将产品送货上门,但有时候因为库存的变化,供货会稍有延迟,这纯属正常。
客户收到货以后,请先检查知母皂苷BII、原知母皂苷A3136656-07-0折扣外包装情况,看是否有破损和漏液的情况,如有此等情况,请拍照上传给我司,我司确认后可以为您退换货。
风险提示:丁香通仅作为第三方平台,为商家信息发布提供平台空间。用户咨询产品时请注意保护个人信息及财产安全,合理判断,谨慎选购商品,商家和用户对交易行为负责。对于医疗器械类产品,请先查证核实企业经营资质和医疗器械产品注册证情况。
技术资料暂无技术资料 索取技术资料
知母皂苷BII、原知母皂苷A3136656-07-0折扣
询价









