相关产品推荐更多 >
万千商家帮你免费找货
0 人在求购买到急需产品
- 详细信息
- 文献和实验
- 技术资料
- 库存:
60
- 英文名:
Tubuloside A
- CAS号:
112516-05-9
- 保质期:
详见说明书
- 供应商:
上海西格
- 保存条件:
低温冷藏
- 规格:
20mg/50mg/1g,可按客户需求包装!
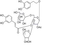
| 产品名称 | 管花苷A11
|
| 英文名称 | Tubuloside A |
| CAS | 11
|
英文名称 Tubuloside A
分 子 量: 828.76
CAS NO.: 11
纯 度: ≥98%
分子式: C37H48O21

性状: 白色结晶粉末
规格: 20mg/50mg/1g,可按客户需求包装!
用途: 用于科研研究、鉴定、药理实验等
熔点: 补充中
溶解性: 补充中
提取来源: 列当科管花肉苁蓉,Cistanchetubulosa(Scgrenk)R.Wight
药理药效: 补充中
鉴别方法: NMR;Ms
检测方法: 流动相:为甲醇(A)-0.1%甲酸(B),梯度洗脱(0min,30%A;30min,40%A;40min,45%A),流速1.0mL・min-1;检测波长330nm。(仅供参考)
贮存条件: 低温冷藏,避光,密封,干燥
注意事项: 补充中
关于标准品、对照品的问题:
(一)来源:
依照有关规定,中国用于药品成品检验的标准品(对照品)来源有:一是中国药品生物制品检定所提供的标准品(对照品);二是其他国家的标准品(对照品);三是省级以上药品检验所标定,并经同级食 品药品监管局批准的标准品(对照品)。
(二)有效期和使用说明书:
中国药品生物制品检定所提供的标准品(对照品)大部分均无使用说明书和使用期限,大都沿用新的批号出现、旧的批号自动停止的管理方式。
(三)使用过程:
工作标准品(对照品)虽经有关部门认可,但要求有标化日期、复标日期、贮存条件、使用等相关文件规定,并做好相应记录。
(四)验证问题:
按标准品(对照品)管理要求,使用前应对其进行验证,确认无误后方可使用。
(五)开封问题:
对已开封的标准品(对照品)管理方面的问题应做严格的规定,不应同未开封的标准品(对照品)放在一起继续使用,包装上应做好相关标识,说明是否已开封过、何时开封的,内含多少量等相关信息。
特性分为五大类:
1、化学成分类:标准物质,纯的化合物或是有代表性的基体样品,天然的或添加(被)分析物的(如,用作农药残留分析的添加了杀虫剂的动物脂肪),以一种或多种化学或物理化学特性值表征。
产品仅供科研使用2、生物和临床特性类:与目录A相似的标准物质,但以一种或多种生化或临床特性值表征,如酶活性。
3、物理特性类:以一种或多种物理特性值表征的标准物质,如熔点、粘性和密度。
4、工程特性类:以一种或多种工程特性值表征的标准物质,如硬度、拉伸强度和表面特性。
5、其他特性。这些类别又被细分为三级子类,例如,在化学成分类中,以微量锰、硅、铜、镍和铬含量表征的铝合金,列于化学成分一金属一有色金属一铝合金的子类中;在化学成分类别中,标准物质还可进一步被分为单一成分的标准物质和基体标准物质两大类;单一成分的标准物质是纯物质(元素或化合物),或纯度、浓度、熔点、熔化焓值、粘度、紫外可见光吸光率、闪点等参考值已精确确定的纯物质的溶液;这类标准物质的重要用途之一是分析仪器的检定或校准。
Catalpalactone 1585-68-8 中文名: 分子式:C15H14O4 度:% 关键词: 中药对照品; 中药标准品; 植物提取物; 天然产物; 天然产物库 小鼠尿激酶型纤溶酶原激活物受体(PLAUR/uPAR)ELISA试剂盒 96T/48T 试剂盒 组装/原装
Carvedilol 7
Cardenolide B-1 1318158-89-2 中文名: 分子式:C30H44O8 度:98.0% 关键词: 强心苷; 甾苷; 植物提取物; 天然产物; 天然产物库 小鼠尿蛋白(UP)ELISA试剂盒 96T/48T 试剂盒 组装/原装
Carbasalate calcium 5749-67-7 中文名:卡巴匹林钙 分子式:C19H18CaN2O9 度:98.0% 关键词: 小鼠尿激酶型纤溶酶原激活物受体 英文名称: urokinase-plasmingen activator receptor 规格: 48T/96T 英文缩写: uPA-R
Capecitabine-2',3'-cyclic carbonate 921769-65-5 中文名:卡培他滨 分子式:C16H20FN3O7 度:98.0% 小鼠超敏感度促甲状腺素 英文名称: Mouse ulasensitive Thyroid Stimulating Hormone 规格: 48T/96T 英文缩写: U.TSH
CF32333 Bone Marrow CD34+ 2 million cells/amp Poietics Cells EA
CF32333 Bone Marrow Mono Cells cryoamp, 25 mill Poietics Cells EA
CF32333 Bone Marrow CD34+ 1 million cells Poietics Cells EA
CF32333 Bone Marrow CD34+ 10 million cells Poietics Cells AMP
CF32333 Bone Marrow CD34+ 300 000 cells Poietics Cells EA
puno1r-moct4 pUNO1-mOCT4-11R 20 µg
puno1r-msox2 pUNO1-mSOX2-11R 20 µg
puno1-sahirf3 pUNO1-hsaIRF3 20 µg
puno1-sahirf7d pUNO1-hsaIRF7Δ 20 µg
puno2ha-hirak1 pUNO2-hIRAK1-HA 20 µg
管花苷A11
大鼠纤溶酶原激活物抑制因子elisa试剂盒 大鼠纤溶酶原激活物抑制因子试剂盒 规格型号:96T/48T 大鼠纤溶酶原激活物抑制因子试剂盒,规格型号:96T/48T,来源:elisa试剂盒(进口分装),产品别名:大鼠纤溶酶原激活物抑制因子试剂盒、大鼠纤溶酶原激活物抑制因子eisa试剂盒 保存条件:2-8℃ 保质期:6个月。 Sulfamonomethoxine 中文名:磺胺间甲氧嘧啶 分子式:C11H12N4O3S
大鼠纤溶酶原激活物抑制因子1elisa试剂盒 大鼠纤溶酶原激活物抑制因子1试剂盒 规格型号:96T/48T 大鼠纤溶酶原激活物抑制因子1试剂盒,规格型号:96T/48T,来源:elisa试剂盒(进口分装),产品别名:大鼠纤溶酶原激活物抑制因子1试剂盒、大鼠纤溶酶原激活物抑制因子1eisa试剂盒 保存条件:2-8℃ 保质期:6个月。 Sulfamonomethoxine 1220-83-3 中文名:磺胺间甲氧嘧啶 分子式:C11H12N4O3S 度:98.0%
大鼠纤溶酶原激活物抑制物elisa试剂盒 大鼠纤溶酶原激活物抑制物试剂盒 规格型号:96T/48T 大鼠纤溶酶原激活物抑制物试剂盒,规格型号:96T/48T,来源:elisa试剂盒(进口分装),产品别名:大鼠纤溶酶原激活物抑制物试剂盒、大鼠纤溶酶原激活物抑制物eisa试剂盒 保存条件:2-8℃ 保质期:6个月。 Sulfamonomethoxine 1220-83-3 中文名:磺胺间甲氧嘧啶 分子式:C11H12N4O3S
大鼠维生素C(VC)ELISAKit ELISA. 96T/48T Tolvaptan 150683-30-0 中文名:托伐普坦 分子式:C26H25ClN2O3 度:98.0% 关键词:
优势:
1. 国内对照品行业*,长达14年对照品的专业及标准制定
2. 高效稳定的纯化技术-高速逆流色谱技术的运用
3. 特有的高速逆流色谱对照品中心及中心,保证对照品的质量可控性及批量的稳定性
4. 严格的质量控制,通过全面的检测(1HNMR 13CNMR MS HPLC)
5. 部分对照品已获得国家质量监督检验检疫总局颁发的标准物质证书
6. 完善的库存及供应体系,所有产品均能现货供应
7. 高效的销售团队,99%的咨询可即时回复。
风险提示:丁香通仅作为第三方平台,为商家信息发布提供平台空间。用户咨询产品时请注意保护个人信息及财产安全,合理判断,谨慎选购商品,商家和用户对交易行为负责。对于医疗器械类产品,请先查证核实企业经营资质和医疗器械产品注册证情况。
文献和实验酸胍,更强的变性剂,更高的价格,我等不穷的人也消费不起。当然,你很富就用吧,有时候更有利于包涵体蛋白的线性化。 0.05-1%Triton X100:非离子型表面活性剂,像洗衣粉一样用了。同样的还有zwittergent,一种我一直想找机会试试的东东,当年为了溶解beta干扰素包涵体搞得我好苦。 0-2mM EDTA:螯合剂,去除金属离子,有利于蛋白的稳定和溶解。Ni柱禁用。 其它:期待各路英豪奉献。 (2)包涵体溶解 看了包涵体洗涤部分,怎么溶解包涵体应该心中有数了。无非就是pH,变性
体中氢键、疏水键、范德华力……的打开,有利于洗涤去除杂蛋白。同样高浓度会使包涵体溶解。类似的是盐酸胍,更强的变性剂,更高的价格,我等不穷的人也消费不起。当然,你很富就用吧,有时候更有利于包涵体蛋白的线性化。 0.05-1%Triton X100:非离子型表面活性剂,像洗衣粉一样用了。同样的还有zwittergent,一种我一直想找机会试试的东东,当年为了溶解beta干扰素包涵体搞得我好苦。 0-2mM EDTA:螯合剂,去除金属离子,有利于蛋白的稳定和溶解。Ni柱禁用。 其它:期待各路
码),作为是否患有某种疾病(如癌症)的指征[119-24] 。不过,此类工作争议很大,因为越来越多的证据表明,临床过程和分析化学及信号处理过程中未经控制的变异可能会使研究结果可信度大打折扣[12,25-29] 。在分析过程中所应用的低级的质谱设备缺乏精确性,分辨率不够高,再加上到目前为止仅阐明了少量的有争议的标记物的特征 [130-32],使怀疑论更加膨胀。如果几个不同的实验室分别证明了这些看似差异明显的多肽具有相似的氨基酸序列,则可表明这一新技术确实具有潜在价值。然而到目前为止,此工作尚在进行中
技术资料暂无技术资料 索取技术资料










