相关产品推荐更多 >
万千商家帮你免费找货
0 人在求购买到急需产品
- 详细信息
- 文献和实验
- 技术资料
- 库存:
18
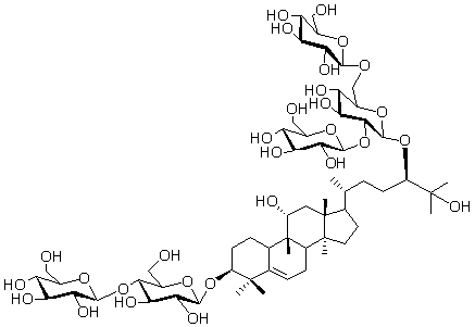
- 英文名:
Isomogroside V
- CAS号:
1126032-65-2
- 保质期:
2年
- 供应商:
上海联迈生物工程有限公司
- 保存条件:
2-8℃
- 规格:
20mg
- 英文名:
- Isomogroside V
- 别名:
- 异罗汉果皂苷 V;Isomogroside-V
- CAS号:
- 1126032-65-2
- 分子式:
- C60H102O29
- 分子量:
- 1287.43

- 外观: 粉末
- 敏感性: 易吸潮
- 储存条件: 2-8℃
- 注意:部分产品我司仅能提供部分信息,我司不保证所提供信息的权威性,仅供客户参考交流研究之用。
风险提示:丁香通仅作为第三方平台,为商家信息发布提供平台空间。用户咨询产品时请注意保护个人信息及财产安全,合理判断,谨慎选购商品,商家和用户对交易行为负责。对于医疗器械类产品,请先查证核实企业经营资质和医疗器械产品注册证情况。
文献和实验) Trimethyl orthoformate, 98% pure (Aldrich) p ‐Toluenesulfonic acid monohydrate, ≥98.5% pure (Aldrich)
.4a 4,7,10‐Trioxa‐1,13‐tridecanediamine (TTDD), ≥98% (Aldrich) for S.5a and S.6a Aliphatic primary amino
of Uracil and Cytosine Pyrimidine Bases Materials Sodium hydroxide (NaOH), ≥98%
技术资料暂无技术资料 索取技术资料










