相关产品推荐更多 >
万千商家帮你免费找货
0 人在求购买到急需产品
- 详细信息
- 文献和实验
- 技术资料
- 库存:
大量
- 英文名:
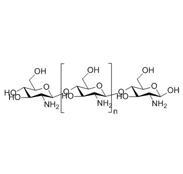
Chitosan;Poly(beta-(1,4)-2-amino-2-deoxy-D-glucose);Poly(beta-(1,4)-D-glucosamine)
- CAS号:
9012-76-4
- 保质期:
2年
- 供应商:
上海联迈生物工程有限公司
- 保存条件:
RT
- 规格:
瓶
| [产品编号] | LM1064T |
| [CAS号] | 9012-76-4 |
| [规格] | BR,低粘度 |
| [包装] | 25克/100克/500克 |
| [到货期] | 现货 |
英文名称:Chitosan;Poly(beta-(1,4)-2-amino-2-deoxy-D-glucose);Poly(beta-(1,4)-D-glucosamine)
其他名称:甲壳胺;甲壳质;几丁聚糖;壳多糖;2-氨基-β-1,4-葡聚糖;胺聚糖;聚D-葡糖胺;脱乙酰壳多糖;脱乙酰几丁质;聚氨基葡糖;可溶性甲壳素;壳糖葡糖胺;絮凝剂;β-(1→4)-2-脱氧-D-葡聚糖;β-1,4-聚-葡萄糖胺;1,4-2-氨基-脱氧-β-D-葡聚糖
CAS号:9012-76-4
分子式:(C6H11NO4)n
分子量:约15万
级别:BR,低粘度100
脱乙酰度DAC:≥90%
黏度:~100 mPa•s
PH:7.0~9.0
水分:≤10.0%
重金属:≤10ppm
砷:≤1ppm
性状(以下信息仅供参考):类白色或浅黄色粉末。不溶于水,能溶于稀酸,能被人体吸收。壳聚糖是甲壳质的一级衍生物。其化学结构为带阳离子的高分子碱性多糖聚合物,并具有独特的理化性能和生物活化功能
用途:本品仅供科研,不得用于其它用途。
保存:RT
风险提示:丁香通仅作为第三方平台,为商家信息发布提供平台空间。用户咨询产品时请注意保护个人信息及财产安全,合理判断,谨慎选购商品,商家和用户对交易行为负责。对于医疗器械类产品,请先查证核实企业经营资质和医疗器械产品注册证情况。
文献和实验3BPAkNHeZbAxoknWOPsDS0sDPy3eI6wn0x9tcLz64SWbSH3bJmGW0SOuqItUeSEJZOqnryFHRC9Y3/s83LSUtca28w5545HEtWDLcZh12uP36kSXWs6PLnn76acsWWu2mW+6yb3zrm3bs0ZNt7ty59g9/93UR87Sdfs659vyLL9tQ5bthwxpbsWql1WQi8m+33G4/vOon9o6zTlff6rX7H1gsrx0t9r2rf2JXX3+jffETH7efXX+tXfKej9t1133fvvf9q/x+XPjzm60
bSuKm1foWOq5wNpboNQLmlo2Fn6wS/ZjqQvb2Gy88CULhuQ5TVEaoQ2gtdU9TtPRtFgh/BbLYDrlNQtO4GHJJVoXvFg0UhwMJHFBz8InEEZPh1ZysOf82LTuunw2ReE8zcuwcvBs9FhSwx9ygL9MIXF3cE5dCHQW6tUCFBRmfdHz/iB3LBwEAHsR9N0y8571/wU9NGdk3x4RpaZL/f4OLeO2i7bi76ls+Z7gQPsYry5csjR44c9GX7BuIIRl9f
,2F12;CRIS-3 Leu LFA-1(gp180/95)的α链 与ICAM-1(CD54)和ICAM-2(CD102)结合 CD11b Mol,OKM1; (Mac-1,CR3,integrin αm G,M,NK gp165/95的α链 C3bi和FB受体,与ICAM-1结合,粘附,调理吞噬 CD11c LeuM5;(CR4,integrin αx) M,G,NK,Tsub gp150/95的α链 C3bi受体,调理吞噬
技术资料暂无技术资料 索取技术资料









