相关产品推荐更多 >
万千商家帮你免费找货
0 人在求购买到急需产品
- 详细信息
- 文献和实验
- 技术资料
- 库存:
大量
- 英文名:
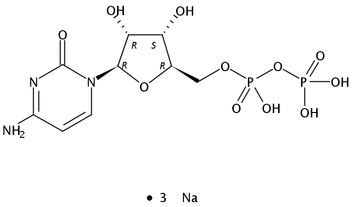
5′-CDP,3Na;Cytidine-5'-diphosphate trisodium salt
- 保质期:
2年
- 供应商:
上海联迈生物工程有限公司
- 保存条件:
RT
- 规格:
瓶
| [产品编号] | LM1194Z |
| [CAS号] | 3433-59-4 |
| [规格] | 试剂级,98% |
| [包装] | 250毫克/1克/5克 |
| [到货期] | 2-3天 |
其他名称:5-胞嘧啶核苷二磷酸三钠盐;胞苷-5′-二磷酸三钠盐;胞啶二磷胆碱三钠;胞磷胆碱三钠;胆碱胞嘧啶核苷二磷酸酯三钠盐;胆碱胞嘧啶核甙二磷酸酯三钠盐
CAS号:343-59-4
C9H12N3Na3O11P2=469.12
级别: 试剂级
纯度:≥98.0%(HPLC)
性状(以下信息仅供参考):白色或类白色结晶粉末
用途:本品仅供科研,不得用于其它用途
保存:-20℃
风险提示:丁香通仅作为第三方平台,为商家信息发布提供平台空间。用户咨询产品时请注意保护个人信息及财产安全,合理判断,谨慎选购商品,商家和用户对交易行为负责。对于医疗器械类产品,请先查证核实企业经营资质和医疗器械产品注册证情况。
文献和实验6.8 的 1 / 15 mol/L 磷酸盐缓冲液。二、 试验方法2.1 受试物固体受试物应溶解于适合的溶媒中,并稀释至适当浓度。液体受试物可直接使用或稀释至适当浓度使用。受试物应无菌现用现配,否则须确认储存不影响其稳定性。2.2 细胞可选用中国仓鼠肺细胞株 (V79、CHL) 或卵巢细胞株 (CHO)、小鼠淋巴瘤细胞株 (L5178Y)、人外周血淋巴细胞株 (如 TK6) 和原代培养细胞。推荐使用 CHL 或 L5178Y 细胞株。细胞在使用前应进行染色体数目稳定性和有无支原体污染的检查。汇智泰康体外微核
浓缩、脱盐、沉淀。沉淀后的引物用水悬浮,测定 OD 260 定量,根据定单要求分装。 2、引物纯化方式有哪些,如何选择? C18 柱脱盐:有人称其为简易反相柱,它对 DNA 有特异性的吸附,可以被有机溶解洗脱,但不会被水洗脱,所以能有效地去除盐分。它不能有效去除比目的片段短的小片段。实际上,它是一种脱盐的作用。这种方法一般不会对普通 PCR 反应产生影响。对于需要用于测序、克隆的引物不能使用这个级别。 OPC 纯化: OPC 纯化是根据 DNA 保护基(DMTr 基
相关专题一、 实验目的1、 了解测定蛋白质的常用方法2、 掌握蛋白质含量测定的经典Lowry – Folin法。二、 实验原理在碱性溶液中,蛋白质中的肽键与铜盐可产生双缩脲反应,产生络合物,此络合物会将磷钼酸-磷钨酸试剂还原,产生深蓝色复合物。在一定的条件下,蓝色深浅与蛋白质的量成正比。在波长540nm处测定样品的吸光度,与标准曲线对比,可确定其蛋白质含量。这种方法是检测可溶性蛋白质含量最灵敏的经典方法之一。三、 实验步骤1、 标准曲线的绘制(1) 取10ml具塞试管6支,编号,分别准确吸取
技术资料暂无技术资料 索取技术资料









