相关产品推荐更多 >
万千商家帮你免费找货
0 人在求购买到急需产品
- 详细信息
- 文献和实验
- 技术资料
- 库存:
50
- 英文名:
MK-571 (LTD4受体拮抗剂)
- 保质期:
一年
- 供应商:
上海信裕生物科技有限公司
- 保存条件:
-20℃保存,至少一年有效。5mg和25mg包装也可室温保存,至少6个月有效。如果溶于非DMSO溶剂,建议分装后-80℃保存,预计6个月内有效。
- 规格:
10mM;5mg;25mg
化学信息:
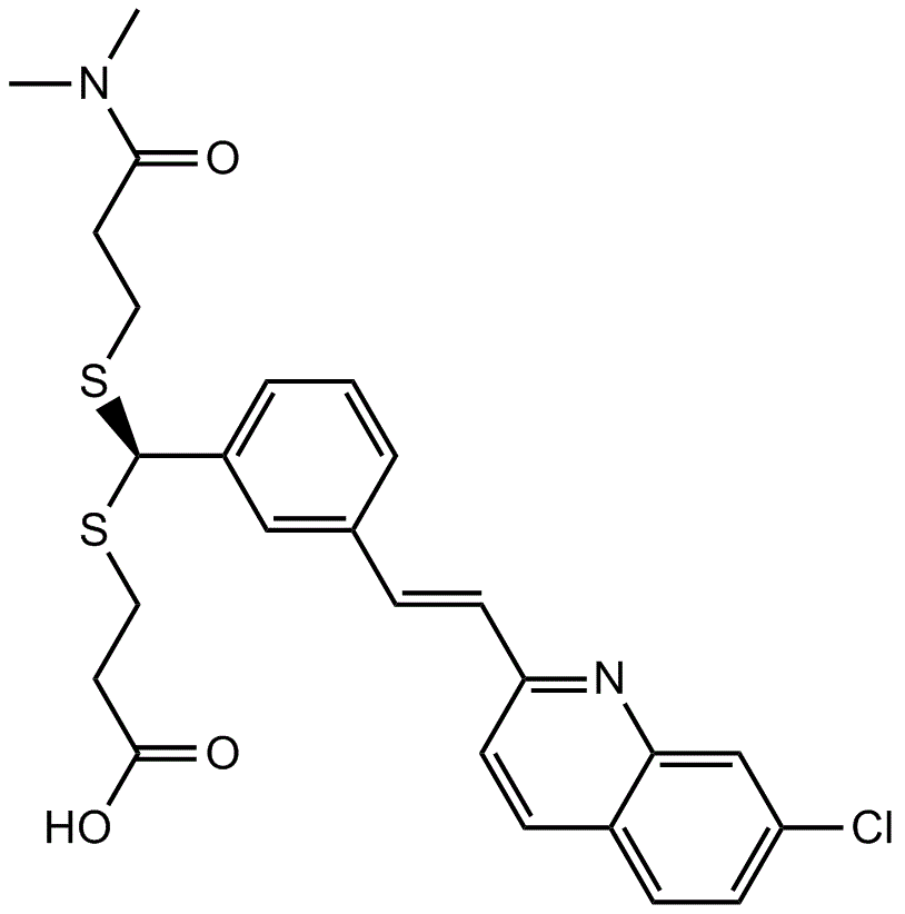
| 化学名 | 3-[[3-[(E)-2-(7-chloroquinolin-2-yl)ethenyl]phenyl]-[3-(dimethylamino)-3-oxopropyl]sulfanylmethyl]sulfanylpropanoic acid | ![]() |
| 简称 | MK-571 | |
| 别名 | L 660,711, L 660711, L-660711, MK 0571, MK 0679, MK 571, MK-0571, MK-0679, MK-679, MK571 cpd, Verlukast, Verlukast, (R-(E))-isomer | |
| 中文名 | N/A | |
| 化学式 | C26H27ClN2O3S2 | |
| 分子量 | 515.09 | |
| CAS号 | 115104-28-4 | |
| 纯度 | 98% | |
| 溶剂/溶解度 | Water<1mg/ml; DMSO6mg/ml; Ethanol<1mg/ml | |
| 溶液配制 | 5mg加入0.97ml DMSO,或者每5.15mg加入1ml DMSO,配制成10mM溶液。SD2398-10mM用DMSO配制。 |
生物信息:
| 产品描述 | MK 571 (L-660711)是一种新型有效的和选择性的leukotriene D4 (LTD4)受体拮抗剂,在豚鼠和人肺膜中的Ki值分别为0.22nM和2.1nM。MK 571也是多药耐药蛋白1(MRP1)的特异性抑制剂。 | ||||
| 信号通路 | GPCR & G Protein | ||||
| 靶点 | LTD4 | - | - | - | - |
| IC50 | - | - | - | - | - |
| 体外研究 | Leukotriene D4 (LTD4)是一种由嗜碱性粒细胞产生的白三烯。LTD4诱导平滑肌的收缩,增加血管通透性。半胱氨酰白三烯受体1(cysLT1受体,LTD4受体)是一种G蛋白偶联受体,被LTD4所激活。 MK 571(L-660711)是一种有效的、选择性的和可口服的LTD4受体拮抗剂。MK 571完全拮抗LTD4(pA2值分别为9.4和10.5)和LTE4(pA2值分别为9.1和10.4)诱导的豚鼠气管和回肠的收缩,也拮抗LTD4诱导的人气管的收缩,pA2值为8.5。 在麻醉豚鼠中,MK 571拮抗LTC4、LTD4和LTE4诱导的支气管收缩。在小鼠中,MK 571(1、10、100mg/kg)剂量依赖地抑制支气管肺泡灌洗时的炎性细胞浸润,100mg/kg时达到90%的最大抑制效果。MK 571也可以抑制支气管高反应性,在10mg/kg浓度时减少肺微血管渗漏。 | ||||
| 体内研究 | N/A | ||||
| 临床实验 | N/A | ||||
| 特征 | N/A | ||||
相关实验数据(此数据来自于公开文献,信裕生物并不保证其有效性):
| 酶活性检测实验 | |
| 方法 | N/A |
| 细胞实验 | |
| 细胞系 | N/A |
| 浓度 | N/A |
| 处理时间 | N/A |
| 方法 | N/A |
| 动物实验 | |
| 动物模型 | N/A |
| 配制 | N/A |
| 剂量 | N/A |
| 给药方式 | N/A |
1. Jones TR, Zamboni R, Belley M, et al. Can J Physiol Pharmacol, 1989, 67(1), 17-28.
2. Vellenga E, Tuyt L, Wierenga BJ, et al. Br J Pharmacol, 1999, 127(2), 441-448.
3. Blain JF, Sirois P. Prostaglandins Leukot Essent Fatty Acids, 2000, 62(6), 361-368.
包装清单:
| 产品编号 | 产品名称 | 包装 |
| XY-2398-10mM | MK-571 (LTD4受体拮抗剂) | 10mM×0.2ml |
| XY-2398-5mg | MK-571 (LTD4受体拮抗剂) | 5mg |
| XY-2398-25mg | MK-571 (LTD4受体拮抗剂) | 25mg |
| — | 说明书 | 1份 |
保存条件:
-20℃保存,至少一年有效。5mg和25mg包装也可室温保存,至少6个月有效。如果溶于非DMSO溶剂,建议分装后-80℃保存,预计6个月内有效。
本产品对人体有刺激性,操作时请小心,并注意适当防护以避免直接接触人体或吸入体内。
本产品仅限于专业人员的科学研究用,不得用于临床诊断或治疗,不得用于食品或药品,不得存放于普通住宅内。
为了您的安全和健康,请穿实验服并戴一次性手套操作。
使用说明:
1.收到产品后请立即按照说明书推荐的条件保存。使用前可以在2,000-10,000g离心数秒,以使液体或粉末充分沉降至管底后再开盖使用。
2.对于10mM溶液,可直接稀释使用。对于固体,请根据本产品的溶解性及实验目的选择相应溶剂配制成高浓度的储备液(母液)后使用。
3.具体的最佳工作浓度请参考本说明书中的体外、体内研究结果或其它相关文献,或者根据实验目的,以及所培养的特定细胞和组织,通过实验进行摸索和优化。
4.不同实验动物依据体表面积的等效剂量转换
风险提示:丁香通仅作为第三方平台,为商家信息发布提供平台空间。用户咨询产品时请注意保护个人信息及财产安全,合理判断,谨慎选购商品,商家和用户对交易行为负责。对于医疗器械类产品,请先查证核实企业经营资质和医疗器械产品注册证情况。
文献和实验佚名 纳洛酮(naloxone)化学结构与吗啡极相似,主要区别为叔氮上以烯丙基取代甲基,6位羟基变为酮基(见表18-1)。纳洛酮对4型阿片受体都有拮抗作用(见表18-2)。它本身并无明显药理效应及毒性,给人注射12mg后,不产生任何症状;注射24mg只产生轻微困倦。但对吗啡中毒者,小剂量(0.4~0.8mg)肌内或静脉注射能迅速翻转吗啡的作用,1~
网络 第四节 阿片受体拮抗剂――纳洛酮与纳曲酮 纳洛酮(naloxone)化学结构与吗啡极相似,主要区别为叔氮上以烯丙基取代甲基,6位羟基变为酮基(见表18-1)。纳洛酮对4型阿片受体都有拮抗作用(见表18-2)。它本身并无明显药理效应及毒性,给人注射12mg后,不产生任何症状;注射24mg只产生轻微困倦。但对吗啡中毒者,小剂量(0.4~0.8mg
上海西唐生物科技有限公司 021-55229872, 65333639 www.westang.com 大鼠 MK(Midkine)ELISA 试剂盒 ( 用于血清、血浆、细胞培养上清液和其它生物体液内 ) 原理 本实验采用双抗体夹心 ABC-ELISA 法。用抗大鼠 Midkine 单抗包被于酶标板上,标准品和样品中的 Midkine 与单抗结合,加入生物素化的抗大鼠 Midkine ,形成免疫复合
技术资料暂无技术资料 索取技术资料










