相关产品推荐更多 >
万千商家帮你免费找货
0 人在求购买到急需产品
- 详细信息
- 文献和实验
- 技术资料
- 供应商:
上海羽朵
- 库存:
100
- 英文名:
SGI-7079
- 规格:
1g
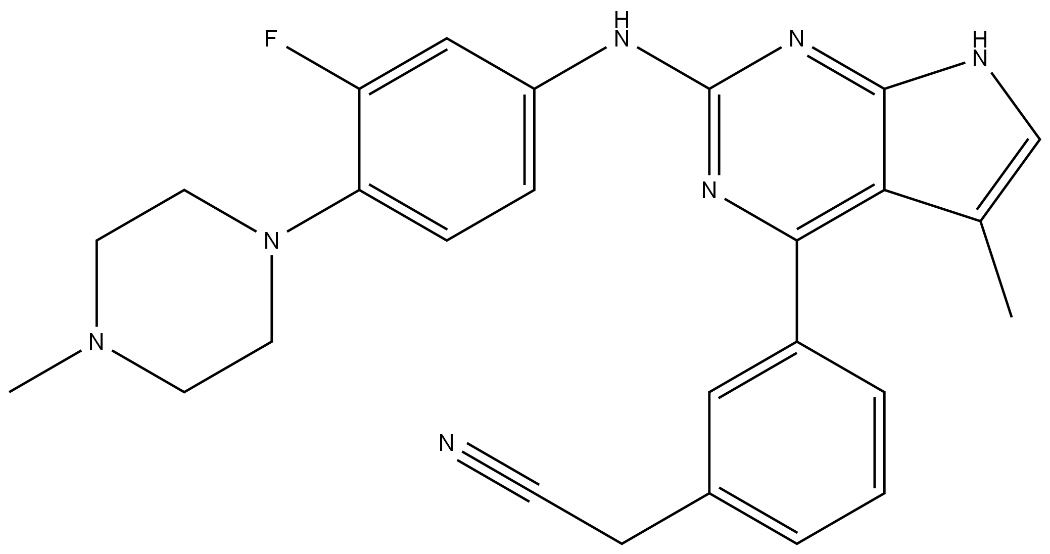
| 中文名称: | 3-[2-[[3-氟-4-(4-甲基-1-哌嗪基)苯基]氨基]-5-甲基-7H-吡-咯并[2,3-D]嘧啶-4-基]苯乙睛 |
| 中文同义词: | CS-2333;3-[2-[[3-氟-4-(4-甲基-1-哌嗪基)苯基]氨基]-5-甲基-7H-吡-咯并[2,3-D]嘧啶-4-基]苯乙睛 |
| 英文名称: | SGI 7079 |
| 英文同义词: | 2-(3-(2-((3-Fluoro-4-(4-methylpiperazin-1-yl)phenyl)amino)-5-methyl-7H-pyrrolo[2,3-d]pyrimidin-4-yl)phenyl)acetonitrile;3-[2-[[3-Fluoro-4-(4-methyl-1-piperazinyl)phenyl]amino]-5-methyl-7H-pyrrolo[2,3-d]pyrimidin-4-yl]benzeneacetonitrile;SGI 7079;SGI-7079 /SGI7079 |
| CAS号: | 1239875--86-5 |
| 分子式: | C26H26FN7 |
| 分子量: | 455.5299432 |
| EINECS号: | |
| 相关类别: | 抑制剂 |
| Mol文件: | 1239875--86-5.mol |
![]() |
|
| 1-[2-(4-甲氧基)-2-[3-(4-甲氧基-苯基)丙氧基]乙基]咪唑 | 130495-35-1 |
| 替吡法尼 | 192185-72-1 |
| 1,4-伸苯基双(1,4'-二哌定-1'-基甲酮) | 1418741-86-2 |
| UPROSERTIB | 1047634-65-0 |
| [N/A] | 5428-80-8 |
| 氢溴-酸沃替西汀 | 960203-27-4 |
| 5-(4-乙基-苯亚甲基)绕丹宁 (该产品不可在美国销售) | 403811-55-2 |
| AAL-993 | 269390-77-4 |
| AV-412 | 451492-95-8 |
| AZD1981 | 802904-66-1 |
| 2-(2-氟-4-碘苯氨基)-N-(2-羟基乙氧基)-1,5-二甲基-6-氧代-1,6-二氢吡啶-3-甲酰胺 | 869357-68-6 |
风险提示:丁香通仅作为第三方平台,为商家信息发布提供平台空间。用户咨询产品时请注意保护个人信息及财产安全,合理判断,谨慎选购商品,商家和用户对交易行为负责。对于医疗器械类产品,请先查证核实企业经营资质和医疗器械产品注册证情况。
文献和实验-alkyltransferase抑制剂,IC50为5 nM。SGI-1027:SGI-1027是一种DNMT抑制剂,作用于DNMT1, DNMT3A和DNMT3B,IC50分别为6, 8和7.5 μM。Azacitidine:Azacitidine 是胞苷的核苷类似物,通过捕获DNA甲基,特异性抑制DNA methylation(DNA甲基化)。
三句话读懂一篇 CNS:让人产生幻觉的毒蘑菇,竟能治疗抑郁症?韩春雨开发 RNA 高效追踪平台
论文 Loss of miR-31-5p drives hematopoietic stem cell malignant transformation and restoration eliminates leukemia stem cells in mice。 该研究发现与造血干祖细胞 (HSPC) 相比,人类白血病干细胞(LSC)中的 miR-31-5p 减少或检测不到,抑制 HSPCs 中的 miR-31-5p 可促进其靶基因 FIH 的表达,增加了延胡索酸代谢物的丰度。延胡索酸代谢物的丰度促进
亚结构域(即LDLRA3~LDLRA7)为配体结合所必需。减弱TFPI与LRP分子间作用力,可以减少TFPI在肝脏的代谢。 从美国国家生物技术信息中心的蛋白质结构数据库获取TFPI的K3结构域和LRP的C3亚结构域的空间结构解析数据,以此为基础,在SGI 02计算机工作站上,应用InsightⅡ软件包进行K3+C末端的同源模建,并将其与LRP的C3亚结构域进行分子对接,搜索K3+C末端分子中距离分子间相互作用面最近的极性氨基酸残基。结果发现TFPI的K241、K254、K260和K261
技术资料暂无技术资料 索取技术资料







![3-[2-[[3-氟-4-(4-甲基-1-哌嗪基)苯基]氨基]-5-甲基-7H-吡咯并[2,3-D]嘧啶-4-基]苯乙腈](https://img1.dxycdn.com/p/s14/2024/0423/232/0848220931598852871.gif)

