万千商家帮你免费找货
0 人在求购买到急需产品
- 详细信息
- 技术资料
- 库存:
32
- 英文名:
Licarin A
- CAS号:
23518-30-1
- 保质期:
详见说明书
- 供应商:
上海研生
- 保存条件:
低温冷藏
- 规格:
20mg/50mg/1g,可按客户需求包装!
我们关注产品的每一个细节,因为产品与产品最大的差异在于细节。我们拥有严格的工艺流程和完善的质量标准控制,保证产品的质量可控性及批量的稳定性;完善的库存及供应体系,所有产品均能现货供应。质量承诺:产品若有质量问题,无条件退货换货。
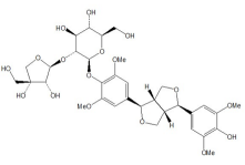
产品名称 23518-30-1里卡灵 A
英文名称 Licarin A
CAS NO. 23518-30-1
分 子 量 326.4
纯 度 ≥98%
性状:
规格: 20mg/50mg/1g,可按客户需求包装!
用途: 用于科研研究、鉴定、药理实验等
熔点:
溶解性:
提取来源:
药理药效:
鉴别方法: NMR;Ms
检测方法:
贮存条件: 低温冷藏,避光,密封,干燥
注意事项:
有效期限: 2年
供货能力: 现货,可根据可以客户需求批量定制
优势:
1.国内对照品行业,具有多年对照品的专业及标准制定经验。
2. 高效稳定的专利纯化技术-高速逆流色谱技术的运用。
3. 特有的高速逆流色谱对照品中心及中心,保证对照品的质量可控性及批量的稳定性。
4. 严格的质量控制,通过全面的检测(1HNMR 13CNMR MS HPLC)。
5. 部分对照品已获得国家质量监督检验检疫总局颁发的标准物质证书。
HPLC注意事项:
1.23518-30-1里卡灵 A流动相必须用HPLC级的试剂,使用前过滤除去其中的颗粒性杂质和其他物质(使用0.45um或更细的膜过滤)。
2.流动相过滤后要用超声波脱气,脱气后应该恢复到室温后使用。
3.不能用纯作为流动相,这样会使单向阀粘住而导致泵不进液。
4.使用缓冲溶液时,做完样品后应立即用去离子水冲洗管路及柱子一小时,然后用甲醇(或甲醇水溶液)冲洗40分钟以上,以充分洗去离子。对于柱塞杆外部,做完样品后也必须用去离子水冲洗20ml以上。
5.长时间不用仪器,应该将柱子取下用堵头封好保存,注意不能用纯水保存柱子,而应该用有机相(如甲醇等),因为纯水易长霉。
6.每次做完样品后应该用溶解样品的溶剂清洗进样器。
7.C18柱绝对不能进蛋白样品,血样、生物样品。
8.堵塞导致压力太大,按预柱→混合器中的过滤器→管路过滤器→单向阀检查并清洗,清洗方法;①以异丙醇作溶剂冲洗:②放在异丙醇中间用超声波清洗;
9.气泡会致使压力不稳,重现性差,所以在使用过程中要尽量避免产生气泡。
10.如果进液管内不进液体时,要使用注射器吸液:通常在输液前要进行流动相的清。
11.要注意柱子的PH值范围,不得注射强酸强碱的样品,特别是碱性样品。
12.更换流动相时应该先将吸滤头部分放入烧杯中边振动边靖洗,然后插入新的流动相中。更换无互溶性的流动相时要用异丙醇过渡一下。
Feline Infectious Peritonitis Virus (FIPV)猫传染性腹膜炎病毒LAMP试剂盒
Feline Leukemia Virus(FeLV)猫白血病病毒RT-LAMP试剂盒
Feline Parvovirus(FPV)猫细小病毒(猫泛白细胞减少症、猫瘟)LAMP试剂盒
phospho-Kidins220 (Ser918) 化220kDa蛋白激酶D相互作用蛋白抗体HeLa [ Chang Liver ](张氏肝细胞) 含量:
ELF1/E74 like factor 1 胆红素化代谢物 ELISA试剂盒聚二2000
胆固酯转移蛋白检测试剂盒聚二4000
胆固7α-羟化酶检测试剂盒聚二6000
胆固检测试剂盒聚二8000
单丝蛋白激酶1检测试剂盒聚二10000
单核细胞趋化蛋白4检测试剂盒聚二20000
单核细胞趋化蛋白3检测试剂盒二
单核细胞趋化蛋白2检测试剂盒β-巯基
单核细胞趋化蛋白1检测试剂盒聚缩
单纯疱疹病毒抗原-1检测试剂盒1,3-二
23518-30-1里卡灵 AFeline Infectious Peritonitis Virus (FIPV)猫传染性腹膜炎病毒LAMP试剂盒
Feline Leukemia Virus(FeLV)猫白血病病毒RT-LAMP试剂盒
Feline Parvovirus(FPV)猫细小病毒(猫泛白细胞减少症、猫瘟)LAMP试剂盒
phospho-Kidins220 (Ser918) 化220kDa蛋白激酶D相互作用蛋白抗体HeLa [ Chang Liver ](张氏肝细胞) 含量:
ELF1/E74 like factor 1
标准品和对照品概述:
药品检验用标准品和对照品,根据2005年版《中华人 民共和国药典》中的定义,系指用于鉴别、检查、含量测定 的标准物质。
2005年版《中华人民共和国药典》的凡例规定,标准 品、对照品(不包括色谱用的内标物质)均有药品监 督管理部门指定的单位制备、标定和供应。标准品系指用 于生物检定、抗生素或生化药品中含量或效价测定的标准 物质,按效价单位(或 g)计,以国际标准品进行标定;对照 品除另有规定外,均按干燥品(或无水物)进行计算后使 用。对照品、标准品的建立或变更其原有活性成分的含量, 应与原对照品、标准品或国际标准品进行对比,并经过协作 标定和一定的工作程序进行技术审定。
仅供科研实验,不做其他用途!
产品名称 23518-30-1里卡灵 A
英文名称 Licarin A
CAS NO. 23518-30-1
分 子 量 326.4
纯 度 ≥98%
性状:
规格: 20mg/50mg/1g,可按客户需求包装!
用途: 用于科研研究、鉴定、药理实验等
熔点:
溶解性:
提取来源:
药理药效:
鉴别方法: NMR;Ms
检测方法:
贮存条件: 低温冷藏,避光,密封,干燥
注意事项:
有效期限: 2年
供货能力: 现货,可根据可以客户需求批量定制
特点:是一种敏感性高,特异性强,重复性好的实验诊断方法,由于其试剂稳定、易保存,操作简便,结果判断较客观等因素,已广泛应用在免疫学检验的各领域中。
检测方式:相色谱法HPLC≥98%。
贮存条件:4℃冷藏、密封、避光。
包装:可根据客户需求提供相应批量包装。
用途:用于含量测定、鉴别、药理实验、活性筛选等。
关于标准品:
一)选择问题
标准品的选择原则包括物质稳定性以及参比物质和测定物质的同质性。
其次,在标准品选择时应该充分关注不同盐基、酸根的不同用途。
二)来源渠道多
其来源渠道一般包括:自制标准品;原料药精制提供;国外购进;直接在原料药基础上提高质量要求后进行对照。我司提供的标准品渠道正规,符合国家相关标准,请客户放心购买。
标准品的管理:
(一)接收
收到标准品后,应检查外包装是否完好密封,标签是否清晰完整,并及时填好相关贮存记录,记录信息要完整无缺,至少要包括产品名称、储存条件、存入日期、保质期、规格、批号、含量、数量、瓶号以及备注信息等。
(二)销毁
及时检查基准标准品是否过期,如有过期,需要收集起来及时做销货处理。
(三)使用
采用登记制度,如需要取用,则需要填写取用的产品名、对应的批号、数量、使用目的、取用人等相关详细的信息,以明确责任主体,保证能够查到标准品使用的来龙去脉。
(四)贮存
对于标准品的存放期间,要经常性的核查标准品是否失效,对于怕光怕热易挥发的标准品,是否密封实了,是否按照存放要求进行存放。
购买注意事项:
2、购买时应注意麦冬皂苷D'标准品分子式、分子量及结构式,麦冬皂苷D'标准品CAS编码,以免发生误购。
3、不同的标准品、对照品应根据其理化性质、贮存要求的不同选择适宜的贮存环境和条件,分别置
于规定的位置。
4、 标准品、对照品购回后,检查外包装完好、封口严密、标签完好、清楚。
5、贮存环境:贮存在冰箱中。特殊品种要求严格按照规定的贮存条件妥善保存。
Feline Infectious Peritonitis Virus (FIPV)猫传染性腹膜炎病毒LAMP试剂盒
Feline Leukemia Virus(FeLV)猫白血病病毒RT-LAMP试剂盒
Feline Parvovirus(FPV)猫细小病毒(猫泛白细胞减少症、猫瘟)LAMP试剂盒
phospho-Kidins220 (Ser918) 化220kDa蛋白激酶D相互作用蛋白抗体HeLa [ Chang Liver ](张氏肝细胞) 含量:
ELF1/E74 like factor 1 胆红素化代谢物 ELISA试剂盒聚二2000
胆固酯转移蛋白检测试剂盒聚二4000
胆固7α-羟化酶检测试剂盒聚二6000
胆固检测试剂盒聚二8000
单丝蛋白激酶1检测试剂盒聚二10000
单核细胞趋化蛋白4检测试剂盒聚二20000
单核细胞趋化蛋白3检测试剂盒二
单核细胞趋化蛋白2检测试剂盒β-巯基
单核细胞趋化蛋白1检测试剂盒聚缩
单纯疱疹病毒抗原-1检测试剂盒1,3-二
23518-30-1里卡灵 AFeline Infectious Peritonitis Virus (FIPV)猫传染性腹膜炎病毒LAMP试剂盒
Feline Leukemia Virus(FeLV)猫白血病病毒RT-LAMP试剂盒
Feline Parvovirus(FPV)猫细小病毒(猫泛白细胞减少症、猫瘟)LAMP试剂盒
phospho-Kidins220 (Ser918) 化220kDa蛋白激酶D相互作用蛋白抗体HeLa [ Chang Liver ](张氏肝细胞) 含量:
ELF1/E74 like factor 1
我司提供以下服务:
1.23518-30-1里卡灵 A中药提取物的定制和,中药提取物代加工相关服务。
2.中药高含量提取物的工业化高效分离及分离纯化
3.天然产物原料药和中间体的,定制(包括合成,半合成)
订购须知:
1.产品优势:高效稳定的专业纯化技术,完善的库存及供应体系,高效的销售团队。
2.包装规格:常规包装,如有特殊需求,我们根据客户要求包装。
3.运输方式:默认中通快递,大宗货物走德邦物流。
4.质量保证:严格的质量控制,通过全面的检测,是产品质量保证的基础。如有异议经我司确认可无条件退换货。
5.存储条件:本品应密封遮光,贮存在干燥、阴凉处。
| 产品名称 | 英文名称 | CAS |
| 23518-30-1里卡灵 A | Licarin A | 23518-30-1 |
英文名称 Licarin A
CAS NO. 23518-30-1
分 子 量 326.4
纯 度 ≥98%
性状:
规格: 20mg/50mg/1g,可按客户需求包装!
用途: 用于科研研究、鉴定、药理实验等
熔点:
溶解性:
提取来源:
药理药效:
鉴别方法: NMR;Ms
检测方法:
贮存条件: 低温冷藏,避光,密封,干燥
注意事项:
有效期限: 2年
供货能力: 现货,可根据可以客户需求批量定制
优势:
1.国内对照品行业,具有多年对照品的专业及标准制定经验。
2. 高效稳定的专利纯化技术-高速逆流色谱技术的运用。
3. 特有的高速逆流色谱对照品中心及中心,保证对照品的质量可控性及批量的稳定性。
4. 严格的质量控制,通过全面的检测(1HNMR 13CNMR MS HPLC)。
5. 部分对照品已获得国家质量监督检验检疫总局颁发的标准物质证书。
HPLC注意事项:
1.23518-30-1里卡灵 A流动相必须用HPLC级的试剂,使用前过滤除去其中的颗粒性杂质和其他物质(使用0.45um或更细的膜过滤)。
2.流动相过滤后要用超声波脱气,脱气后应该恢复到室温后使用。
3.不能用纯作为流动相,这样会使单向阀粘住而导致泵不进液。
4.使用缓冲溶液时,做完样品后应立即用去离子水冲洗管路及柱子一小时,然后用甲醇(或甲醇水溶液)冲洗40分钟以上,以充分洗去离子。对于柱塞杆外部,做完样品后也必须用去离子水冲洗20ml以上。
5.长时间不用仪器,应该将柱子取下用堵头封好保存,注意不能用纯水保存柱子,而应该用有机相(如甲醇等),因为纯水易长霉。
6.每次做完样品后应该用溶解样品的溶剂清洗进样器。
7.C18柱绝对不能进蛋白样品,血样、生物样品。
8.堵塞导致压力太大,按预柱→混合器中的过滤器→管路过滤器→单向阀检查并清洗,清洗方法;①以异丙醇作溶剂冲洗:②放在异丙醇中间用超声波清洗;
9.气泡会致使压力不稳,重现性差,所以在使用过程中要尽量避免产生气泡。
10.如果进液管内不进液体时,要使用注射器吸液:通常在输液前要进行流动相的清。
11.要注意柱子的PH值范围,不得注射强酸强碱的样品,特别是碱性样品。
12.更换流动相时应该先将吸滤头部分放入烧杯中边振动边靖洗,然后插入新的流动相中。更换无互溶性的流动相时要用异丙醇过渡一下。
Feline Infectious Peritonitis Virus (FIPV)猫传染性腹膜炎病毒LAMP试剂盒
Feline Leukemia Virus(FeLV)猫白血病病毒RT-LAMP试剂盒
Feline Parvovirus(FPV)猫细小病毒(猫泛白细胞减少症、猫瘟)LAMP试剂盒
phospho-Kidins220 (Ser918) 化220kDa蛋白激酶D相互作用蛋白抗体HeLa [ Chang Liver ](张氏肝细胞) 含量:
ELF1/E74 like factor 1 胆红素化代谢物 ELISA试剂盒聚二2000
胆固酯转移蛋白检测试剂盒聚二4000
胆固7α-羟化酶检测试剂盒聚二6000
胆固检测试剂盒聚二8000
单丝蛋白激酶1检测试剂盒聚二10000
单核细胞趋化蛋白4检测试剂盒聚二20000
单核细胞趋化蛋白3检测试剂盒二
单核细胞趋化蛋白2检测试剂盒β-巯基
单核细胞趋化蛋白1检测试剂盒聚缩
单纯疱疹病毒抗原-1检测试剂盒1,3-二
23518-30-1里卡灵 AFeline Infectious Peritonitis Virus (FIPV)猫传染性腹膜炎病毒LAMP试剂盒
Feline Leukemia Virus(FeLV)猫白血病病毒RT-LAMP试剂盒
Feline Parvovirus(FPV)猫细小病毒(猫泛白细胞减少症、猫瘟)LAMP试剂盒
phospho-Kidins220 (Ser918) 化220kDa蛋白激酶D相互作用蛋白抗体HeLa [ Chang Liver ](张氏肝细胞) 含量:
ELF1/E74 like factor 1
标准品和对照品概述:
药品检验用标准品和对照品,根据2005年版《中华人 民共和国药典》中的定义,系指用于鉴别、检查、含量测定 的标准物质。
2005年版《中华人民共和国药典》的凡例规定,标准 品、对照品(不包括色谱用的内标物质)均有药品监 督管理部门指定的单位制备、标定和供应。标准品系指用 于生物检定、抗生素或生化药品中含量或效价测定的标准 物质,按效价单位(或 g)计,以国际标准品进行标定;对照 品除另有规定外,均按干燥品(或无水物)进行计算后使 用。对照品、标准品的建立或变更其原有活性成分的含量, 应与原对照品、标准品或国际标准品进行对比,并经过协作 标定和一定的工作程序进行技术审定。
仅供科研实验,不做其他用途!
产品名称 23518-30-1里卡灵 A
英文名称 Licarin A
CAS NO. 23518-30-1
分 子 量 326.4
纯 度 ≥98%
性状:
规格: 20mg/50mg/1g,可按客户需求包装!
用途: 用于科研研究、鉴定、药理实验等
熔点:
溶解性:
提取来源:
药理药效:
鉴别方法: NMR;Ms
检测方法:
贮存条件: 低温冷藏,避光,密封,干燥
注意事项:
有效期限: 2年
供货能力: 现货,可根据可以客户需求批量定制
特点:是一种敏感性高,特异性强,重复性好的实验诊断方法,由于其试剂稳定、易保存,操作简便,结果判断较客观等因素,已广泛应用在免疫学检验的各领域中。
检测方式:相色谱法HPLC≥98%。
贮存条件:4℃冷藏、密封、避光。
包装:可根据客户需求提供相应批量包装。
用途:用于含量测定、鉴别、药理实验、活性筛选等。
关于标准品:
一)选择问题
标准品的选择原则包括物质稳定性以及参比物质和测定物质的同质性。
其次,在标准品选择时应该充分关注不同盐基、酸根的不同用途。
二)来源渠道多
其来源渠道一般包括:自制标准品;原料药精制提供;国外购进;直接在原料药基础上提高质量要求后进行对照。我司提供的标准品渠道正规,符合国家相关标准,请客户放心购买。
标准品的管理:
(一)接收
收到标准品后,应检查外包装是否完好密封,标签是否清晰完整,并及时填好相关贮存记录,记录信息要完整无缺,至少要包括产品名称、储存条件、存入日期、保质期、规格、批号、含量、数量、瓶号以及备注信息等。
(二)销毁
及时检查基准标准品是否过期,如有过期,需要收集起来及时做销货处理。
(三)使用
采用登记制度,如需要取用,则需要填写取用的产品名、对应的批号、数量、使用目的、取用人等相关详细的信息,以明确责任主体,保证能够查到标准品使用的来龙去脉。
(四)贮存
对于标准品的存放期间,要经常性的核查标准品是否失效,对于怕光怕热易挥发的标准品,是否密封实了,是否按照存放要求进行存放。
购买注意事项:
2、购买时应注意麦冬皂苷D'标准品分子式、分子量及结构式,麦冬皂苷D'标准品CAS编码,以免发生误购。
3、不同的标准品、对照品应根据其理化性质、贮存要求的不同选择适宜的贮存环境和条件,分别置
于规定的位置。
4、 标准品、对照品购回后,检查外包装完好、封口严密、标签完好、清楚。
5、贮存环境:贮存在冰箱中。特殊品种要求严格按照规定的贮存条件妥善保存。
Feline Infectious Peritonitis Virus (FIPV)猫传染性腹膜炎病毒LAMP试剂盒
Feline Leukemia Virus(FeLV)猫白血病病毒RT-LAMP试剂盒
Feline Parvovirus(FPV)猫细小病毒(猫泛白细胞减少症、猫瘟)LAMP试剂盒
phospho-Kidins220 (Ser918) 化220kDa蛋白激酶D相互作用蛋白抗体HeLa [ Chang Liver ](张氏肝细胞) 含量:
ELF1/E74 like factor 1 胆红素化代谢物 ELISA试剂盒聚二2000
胆固酯转移蛋白检测试剂盒聚二4000
胆固7α-羟化酶检测试剂盒聚二6000
胆固检测试剂盒聚二8000
单丝蛋白激酶1检测试剂盒聚二10000
单核细胞趋化蛋白4检测试剂盒聚二20000
单核细胞趋化蛋白3检测试剂盒二
单核细胞趋化蛋白2检测试剂盒β-巯基
单核细胞趋化蛋白1检测试剂盒聚缩
单纯疱疹病毒抗原-1检测试剂盒1,3-二
23518-30-1里卡灵 AFeline Infectious Peritonitis Virus (FIPV)猫传染性腹膜炎病毒LAMP试剂盒
Feline Leukemia Virus(FeLV)猫白血病病毒RT-LAMP试剂盒
Feline Parvovirus(FPV)猫细小病毒(猫泛白细胞减少症、猫瘟)LAMP试剂盒
phospho-Kidins220 (Ser918) 化220kDa蛋白激酶D相互作用蛋白抗体HeLa [ Chang Liver ](张氏肝细胞) 含量:
ELF1/E74 like factor 1
我司提供以下服务:
1.23518-30-1里卡灵 A中药提取物的定制和,中药提取物代加工相关服务。
2.中药高含量提取物的工业化高效分离及分离纯化
3.天然产物原料药和中间体的,定制(包括合成,半合成)
订购须知:
1.产品优势:高效稳定的专业纯化技术,完善的库存及供应体系,高效的销售团队。
2.包装规格:常规包装,如有特殊需求,我们根据客户要求包装。
3.运输方式:默认中通快递,大宗货物走德邦物流。
4.质量保证:严格的质量控制,通过全面的检测,是产品质量保证的基础。如有异议经我司确认可无条件退换货。
5.存储条件:本品应密封遮光,贮存在干燥、阴凉处。
风险提示:丁香通仅作为第三方平台,为商家信息发布提供平台空间。用户咨询产品时请注意保护个人信息及财产安全,合理判断,谨慎选购商品,商家和用户对交易行为负责。对于医疗器械类产品,请先查证核实企业经营资质和医疗器械产品注册证情况。
技术资料暂无技术资料 索取技术资料
23518-30-1里卡灵 A
询价










